租金留成法
由 Network 分享
时间:
什么是租金留成法
租金留成法又称有宽延期的期末付租法或不规则租金计算法,是为了弥补等额支付法的不足而设立的,其基本内容是:根据租赁物件的类型和承租人的生产能力、支付能力等,综合其他各项有关因素,在支付租金前给予承租人一定的宽延期,在宽延期内不需付租,直到预计设备安装结束进入正常生产后的一段时间才开始支付。
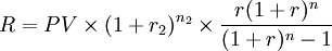
租金留成法的计算公式

- R表示每期租金;
- n表示实租期付租次数;
- n2表示宽延期内用复利计算的利息;
表示宽延期内的本利和;- r2表示延付期融资利率。
