逐步法
由 Network 分享
时间:
逐步法(step-by-step method)
什么是逐步法
将一项租赁交易各个期间所支付的最低租金支付额及租赁期满时租赁资产估计残值予以折现,求得租赁开始日租赁资产的现值,使此现值恰好等于租赁资产的公平价值,此时,所采用的折现率就是租赁利率。因此,租赁利率的计算,就是找到满足上述条件的折现率。
逐步法又称验误法,是通过逐次假设租赁利率来求得最低租金付款额和租赁资产估计残值的现值,而取其最准确者。逐步法往往需要反复验证若干次,才能得到正确或较正确的答案,从而效率较差。
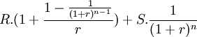
逐步法的具体方法
通过逐次试错、推断和修正,使以下公式成立,从而求得租赁利率,(以每期租金先付为例):

=
=
- A表示租赁开始日租赁资产的公平价值;
- R表示每期租金数;
- S表示租赁资产估计残值;
- n表示租期;
- r表示折现率。
