参数设计
参数设计(Parameter Design)
参数设计概述
参数设计是三次设计法里的二次设计,是在系统设计之后进行。参数设计的基本思想是通过选择系统中所有参数(包括原材料、零件、元件等)的最佳水平组合,从而尽量减少外部、内部和产品间三种干扰的影响,使所设计的产品质量特性波动小,稳定性好。另外,在参数设计阶段,一般选用能满足使用环境条件的最低质量等级的元件和性价比高的加工精度来进行设计,使产品的质量和成本两方面均得到改善。
参数设计的基本内容
由田口玄一对质量的定义可以得知:质量特性偏离目标就会造成损失。而噪声因素对质量特性的影响可以分为4种类型,如下图所示,因此为了减少质量特性偏离目标值所造成的损失,必须确保达到目标值并实现波动最小。但从平均质量损失
来看,消除(μ − m)2相对比较容易,而降低σ2即减少波动,则相对比较困难。从成本高低的角度出发,减少波动的方法主要有三种:

(1)利用更加严厉的容差限,筛选出质量低劣的产品
(2)找出引起故障的原因,并采取相应措施消除这些原因
(3)采用稳健参数设计技术,设计出对噪声因素不敏感的产品
由此可以看出,为了减少损失,传统做法是在制造过程中监控过程的波动,调整过程减少制造缺陷,使得响应参数位于容差限内。但这些改进方法不但增加了制造过程的成本,而且没有从根本上改进产品的质量。所以田口提出:既然检验和统计过程控制阶段都无法完全弥补失败的设计带来的损失,那么在设计阶段就应该重视质量。为了在设计阶段获得期望的产品质量,他提出了参数设计的思想,目的是以低成本生产出高质量、高稳健的产品。
参数设计的基本原理
通常,一个产品的质量特性是通过一个复杂的非线性函数与其产品参数和噪声因素建立关联的。所以有可能找到参数的许多不同组合,使得产品质量特性值在名义噪声条件下(当噪声因素正好处于其名义值时)达到所需的日标值。但是,由于非线性关系。这些不同的参数组合会引起质量特性值产生完全不同的波动,即使噪声因素的波动保持不变。因此参数设计的主要目标是利用非线性关系找到参数的最佳组合,使得质量特性值围绕目标值的波动最小。
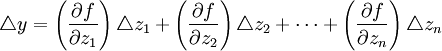
首先通过一个简单的数学公式来理解非线性关系。定义控制因素为
,噪声因素为
,y和x、z之间的关系可表示为:
y = f(x,z) (1)
那么噪声因素与名义值之间的偏差
引起的质量特性值与日标值的偏差
近似可表示为:
(2)
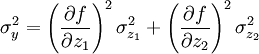
如果噪声因素的偏差是无关联的,那么可以得到y的方差
为:
+/cdots+/left(/frac{/partial f}{/partial z_n}/right)^2/sigma^2_{z_n} (3)
因此方差
是噪声因素的方差
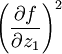
和敏感系数
的乘积之和,其中敏感系数是关于控制因素的函数。所以所谓的稳健产品(或稳健工序)是指使得公式(3)中的敏感系数达到最小值的产品(或工序)。下面通过一个具体实例来说明了参数设计的非线性原理,如下图所示.

从图中可以看出,曲线R点处为最佳设置,在该点响应的离散度处于最小状态。由于质量特性Y与系统因素(或控制因素)x具有非线性关系y = f(x),因此可以通过调整控制因素x的取值来寻找对随机因素(噪声因素)不敏感的参数水平,以获得最佳设置点R。但值得注意的是,当输出响应y与控制因素x具有线性关系时,稳健参数设计方法失效。如何获得关于每个噪声因素的最佳设置正是稳健参数设计技术最具挑战力和优势的地力。
参数设计的基本流程
在产品设计阶段,工程师们花费大量时间来研究在不同的产品使用环境下,各种设计参数是如何影响产品性能的。而参数设计作为一种“放大器”,它使得工程师们可以利用较少的试验费用和时间来获得决策所需的信息。参数设计技术主要完成两个任务,同时也是实现稳健性能目的所采用的两种主要工具:
1)设计和开发阶段测量质量。利用某特定的质量指示器,来估计出某特殊设计参数发生变化时对产品性能的影响程度。
2)利用有效的试验寻找与设计参数有关的可靠信息,以避免制造和顾客使用环境下设计发生变化。同时还要确保把所花费的时间和资源降低到最低限度。
具体实施过程是借鉴正交试验设计,首先确定影响输出质量特性的因素及其水平,然后对因素进行分类,利用内外正交表安排试验,采用SIN比进行数据分析,确定因素的最佳水平。具体的实施流程图见下图。田口玄一的参数设计为设计工程师们提供了一种在绩效和成本的基础上,来决定最佳设计参数的系统而有效的方法。

参数设计的方法
参数设计是一个多因素选优问题。由于要考虑三种干扰对产品质量特性值波动的影响,探求抗干扰性能好的设计方案,因此参数设计比正交试验设计要复杂得多。田口博士采用内侧正交表和外侧正交表直积来安排试验方案,用信噪比作为产品质量特性的稳定性指标来进行统计分析。
为什么即使采用质量等级不高、波动较大的元件,通过参数设计,系统的功能仍十分稳定呢?这是因为参数设计利用了非线性效应。
通常产品质量特性值y与某些元部件参数的水平之间存在着非线性关系,假如某一产品输出特性值为y,目标值为m,选用的某元件参数为x,其波动范围为Dx (一般呈正态分布),若参数x取水平x1,由于波动Dx,引起y的波动为Dy1(如图),通过参数设计,将x1移到x2,此时同样的波动范围Δx,引起y 的波动范围缩小成Dy2,由于非线性效应十分明显,Dy2Δy2,即提高了元件质量等级后,对应于x1的产品质量特性y的波动范围仍然比采用较低质量等级元件、对应于水平x2的y波动范围D y2要宽,由此可以看出参数设计的优越性。

参数设计的目标
参数设计的目标——获得可加模型
参数设计的目标是获得控制因素的最佳组合,使得产品或过程对噪声因素不敏感或是稳健的,同时,参数设计还希望能够获得控制因索的可加模型。可加模型也称作叠加模型、变量分离模型是指几个因索(或变量)的总效应等于单个因素的效应之和。单个因素的效应可能为线性的、_二次的或更高阶次的。但是,在可加模型中不允许存在包含两个或更多个因素的交叉项。如果获得了可加模型,那么只需要知道控制因素的主效应,就能预测出产品在控制因素的任何组合下的性能,而且可以节约大量的试验时间和金钱。但是如果控制因素的效应不具有可加性,那么就必须在控制因素的所有组合设置在进行试验以前获得最佳组合。而且如果控制因素的数目非常之多的话,试验就会变得非常昂贵。
获得可加模型还有另外一个重要原因。由于进行试验的环境也可以当作一个控制因素,那么三种类型的环境:实验室、制造环境和顾客使用环境,均可当作控制因素处理。如果在实验室环境下观察到控制因素之间存在很强的交互作用,那么这些控制因素还可能与实验室的环境发生交互.因此,在实验室环境下获得的控制因素的最佳组合很可能在制造环境或顾客使用环境下被证明不是最佳选择。
由此可见,控制因素之间存在交互作用是参数设计中的一个重要问题,因此,通过明智地选择质量特性、控制因素、噪声因素和测试环境,虽然不能保证能够获得可加模型,但是可以减少交互作用的程度和重要度。
参数设计的案例分析
例如,有一晶体管稳压电源,输入为交流220V,要求输出目标值为直流110V,波动范围必须控制在±2V。决定稳压电路输出特性的主要因素是晶体管的电流放大倍数 hFE(其输出特性呈非线性关系)以及调节电阻R的大小(电阻的输出呈线性关系)。
通常专业设计人员看到电路输出与目标值发生偏离时,大多是调整晶体管 hFE的工作点,使输出达到目标值,但又产生了输出电压波动偏大的问题。例如原稳压电源的晶体管hPE工作点在A1(A1=20),对应的输出电压为95V。这时,设计人员通常是把hFE从A1调整到A2(A2=40),使输出电压达到110V。但是,晶体管的hFE总会有一定范围的波动。假定hFE的波动范围为±20,当选定A2=40为设计中心值时,hFE就将在20-60(A1-A3)之间波动,对应的输出目标的波动范围将是95-120V。过去为解决这一问题,都是进一步严格挑选元件,以减小hFE的波动范围。这样势必增加制造成本。如何运用参数设计的原理来优化设计呢?由此可知,当A4=80这个工作点时,对应的输出特性曲线变化的平坦区。现在仍采用hFE波动为±20的晶体管,但工作点选A4=80上,此时输出电压波动范围为120耀122V之间,波动幅度大大减小。但这时的输出电压为121V,比目标值110V高出一个M=11V的偏差。这个偏差可用线性元件电阻 R来校正,通过改变电阻R的大小来调整输出电压;使其达到110V。通过这项设计,我们找到了晶体管hFE与电阻的最佳参数组合为A4B4。
在设计开发的过程中,常常是在关系未知的情况下进行参数设计的,而不是象上例中的关系明确可鉴。这就必须通过试验的办法,并借助于正交试验、方差分析、信噪比等数理统计的方法,以较少的次数找出符合设计目标值且稳定性很高的参数组合。
