均衡能力指数
由 Network 分享
时间:
均衡能力指数(Equality Capability Index)
什么是均衡能力指数
均衡能力指数是对工程能否稳定的创造出合乎标准质量的产品给予判断和评价。
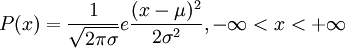
从生产过程来看,企业各生产环节在等量时间内应生产出等量的产品,这就是生产过程的均衡性。但实际上,由于种种原因(如设备故障、待料、质量原因等等)每天生产的产量不可能是完全一样的,它是由工程系统各要素(人、机、料、法、环)的变动而造成的,是不可避免的,这就是产量的必然性。但是它们的离散分布是有规律的,对于计量值而言,这个规律就是正态分布,其密度函数为:

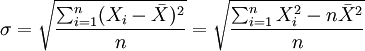
由上试可知,当月产量xi在μ±σ,μ±2σ,μ±3σ时的概率(如表1所示),它代表μ±Kσ之内曲线下包围的面积与曲线总面积之比,其分布曲线如上式所示。从管理的要求来看,某生产线的日产量的离差应是愈小愈好,如果这条生产线是处在稳定的生产状态下,则标准偏差σ,应无限接近于一个常数。标准偏差σ可按下式计算。
表1 Kσ及Kσ外的概率
| K | P | 1-P | Kσ外的概率 |
| 1 2 3 | 0.6827 0.9545 0.9973 | 0.3173 0.0455 0.0027 | 31.73% 4.55% 0.27 |
式中:
xi——实际日产量;
——日产量平均数;
n——天数。
由上式可知,标准差能真实反映日产量间的离散程度。
均衡能力指数的计算
对于大量或大批生产的企业、均衡能力指数可按下式计算。
CPi = (x − Se) / 3σn
公式中:Se——日计划产量;
σn——n个日产量的标准差。
对于单件或者小批生产的企业,可用生产周期的波动,或者单件产品所需要的期数或者工时数,来衡量产品的均衡情况,均衡能力指标可按下式计算。

公式中:
——单件产品实际所用的工期数或者工时数的平均值;
Su——单位产品计划工期日或者工时。
根据均衡能力指数计算可参照下列数值判断和分析产品的生产均衡值:
