经济生产批量
经济生产批量(Economic Production Lot, EPL)
经济生产批量的概述
经济生产批量(Economic Production Lot, EPL)又称经济生产量或经济制造量(Economic Production Quantity, EPQ)。由于生产系统调整准备时间的存在,在补充成品库存的生产中有一个一次生产多少最经济的问题,这就是经济生产批量。在经济订货批量模型中,相关成本最终确定为两项,即变动订货成本和变动储存成本,在确定经济生产批量时,以生产准备成本替代订货成本,而储存成本内容不变。
经济生产批量是生产中大量使用的模型,在包装企业中,经济批量生产应用比较广泛。即便像包装机械的组装中,也有部分工作是进行批量生产的。这主要是因为,在确定的条件下,生产某个零部件的实际产量超过该零部件的使用量,只要生产持续不断的进行,库存就会不断增加。在生产周期中,库存的形成速度是生产率和使用率的差值。
经济生产批量模型的假设条件
EPL模型的假设条件:
经济生产批量模型的图示

图中:P为生产率;d为需求率(d<P);T为生产时间;Imax为最大库存量;Q为生产批量;RL为订货点;LT为生产提前期,D—年总需求量,TC—年总成本,S—每次生产的生产准备费,H—单位货物每年的存储成本;
经济生产批量的计算

而Q=pt,tp = Q / p,
故Imax = tp(P − d) = (Q / p)(P − d) = Q(1 − d / P)
根据EOQ的总费用公式,可得

对上式求导,可得:

则
,
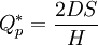
为经济生产批量。
经济生产批量实例分析
例1:根据预测,市场每年对x公司的产品需求量为10000个。一年按250个工作日计算,平均日需求量为40个。该公司的日生产量为80个,每次生产准备费用为100元,每年单位产品的库存费用是4元。试确定其经济生产批量。
解:由公式可得,经济生产批量
=1000个
在上述的经济生产批量
中,有两个特例:
(1)当p>d或d=0时,
等,这就是基本EOQ模型,可见
更具有一般性。
(2)当P=d时,
=∞,这对应的是大量生产方式。EOQ模型对分析问题十分有用。一般来说,每次生产准备费H越大,则经济生产批量就应该越大;单位维持库存费日越大,则经济生产批量就应该越小。例如,在机械加工行业,毛坯的生产批量通常大于零件的加工批量。这是因为毛坯生产的准备工作比零件加工的准备工作复杂,而零件本身的价值又比毛坯高,从而零件的单位维持库存费就较高。
例2:戴安公司是生产氧气瓶的专业厂。该厂年工作日为220天,市场对氧气瓶的需求率为50瓶/天。氧气瓶的生产率为200瓶/天,年库存成本为1元/瓶,设备调整费用为35元/次。求:①经济生产批量(EPQ);②每年生产次数;③最大库存水平;④一个周期内的生产时间和纯消耗时间的长度。
解:已知,S=35元/次,p=200瓶/天,r=50瓶/天,H=1元/(瓶·年),年需求量D=50×220=11000瓶
①经济生产批量(EPQ)

②每年生产次数
n=D/EPQ=(11000/1013)=10.86≈11
③最大库存水平Qmax
Qmax=EPQ(p-r)/p=1013X(200-50)/200=759.75≈760瓶
④生产时间tp和纯消耗时间(t-tp)
tp=EPQ/P=1013/200=5.065天
t-tp=(EPQ/r)-(EPQ/P)=1013/50-1013/200=20.56-5.065=15.02天
