红外线辐射亮度和理想朗伯体辐射计算
辐射强度定义为辐射源在单位立体角内的辐射功率,反映了辐射能传递的空间分布。辐射通量密度是单位辐射面积发出的所有辐射功率,反映了辐射发射的面密度,而辐射通量则是整个辐射源向空间发射的功率,即发射的辐射能的时间速率。
辐射亮度定义是:辐射源在沿视线方向单位投影面积向单位立体角所辐射的功率。可以用公式表达辐射强度、辐射通量密度和辐射通量与辐亮度的关系。
将辐射亮度对辐射源的面积积分,可得辐射强度:
(1.2.1)
将辐射亮度对辐射所张的空间立体角积分,可得辐射通量密度:
(1.2.2)
取辐射亮度对辐射所张空间立体角和辐射面积的双重积分,可得辐射通量:
(1.2.3)
上述公式中:
N为辐射源的辐亮度;
dA为辐射源面元的面积;
θ 为发射方向与dA法线的夹角;
cosθ dA辐射源面元在发射方向的投影; 红外线测温仪
辐照度与辐射通量密度有相同的量纲(W/cm2),但辐射通量密度是发射的功率密度,而辐照度是单位被照面积接收到的辐射通量,是指接收端的功率密度。当用仪器接收辐射时,入瞳的辐照度按下式计算:
(1.2.4)
此公式与(1.2.2)式形式上完全一致,但式中的辐亮度为接收端的辐亮度,对立体角的积分范围应是仪器的接收立体角。下面将要讲到:如不计能量传递过程的损失,辐射源的辐亮度和仪器接收端的辐亮度是相等的。如考虑能量损失,计算也较为简单。因此,工程应用中,源的辐亮度计算十分重要。
一般情况,物体辐射或反射均有方向性,能量仅在一个有限的空间立体角内传递。换言之,它的辐射亮度与发射方向有关。理想的全漫射体发射的能量应能向半球空间均匀辐射,而且辐射亮度是常数,这种理想的漫辐射体被称为朗伯漫射体。朗伯体面元的辐射强度只与测量方向与面元法线夹角的余弦成正比,即遵循朗伯余弦定律
(1.2.5)
当我们以不同的视角用肉眼去观察一个具有漫射特性的发光体(如太阳)时,每个视觉细胞“看到”的发光面元cosθ dA是实际面元dA在视线方向的投影。当我们从法线方向看中心部分,或者从切线方向看边缘部分时,虽然实际面源的大小是变化的,它在视线方向的投影面积不变,它向瞳孔所张的立体角也不变。由于朗伯体的辐亮度与视线的方向无关,瞳孔接收到的能量不因观察方向而异。因此,我们看到的都是一个均匀的亮团。红外线测温仪

图1.4 朗伯定律图解
理想的朗伯体向半球发射的辐射通量密度与其辐射亮度之间存在较简洁的关系。
![]() |
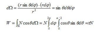
在球坐标系中
图1.5朗伯体辐射计算图示
(1.2.6)
值得注意的是:辐射通量密度是辐亮度的π倍,而不是2π倍(半球立体角)。
朗伯漫辐射体仅是一个理想模型,它要求在半球空间的辐射都是均匀的。事实上,许多辐射源只是在一定的空间范围内满足朗伯漫射特性。大多数电绝缘材料,测量方向与法线的夹角不超过60°,导电材料夹角不超过50°,辐射亮度都可近似认为相等。许多光源(如激光二级管)的产品手册中均给出发射瓣的半宽度这样一个指标,发射瓣内辐射亮度基本恒定。
对发射瓣半宽度为ψ的近似漫射体,可以导出辐射功率与辐亮度的关系:
(1.2.7)

