肯定当量法
肯定当量法(Surely-Balanced Method)
什么是肯定当量法
所谓肯定当量法是指在固定资产投资项目的风险分析中,预先用一个系数把有风险的现金收支调整为无风险的现金收支,再用无风险的贴现率去计算不同方案的净现值,然后用净现值法的规则判断投资机会可取程度的一种方法。其模型为:

- NPV——投资项目净现值;
- at——肯定当量系数;
- At——第t年的税后现金流人量;
- i—— 预定的无风险贴现率;
- C—— 投资现值。
在某一特定的投资项目中,如净现值为正数,说明该项目的预期报酬率大于预定的贴现率,属于可选项目,如净现值为负数则为不可选项目;如某投资项目同时可确认若干个投资方案,则净现值大的为可选方案,其余为淘汰方案。
肯定当量法的基本思路是先用一个系数把有风险的现金收支调整为无风险的现金收支,然后用无风险的贴现率去计算净现值,以便用净现值法的规则判断投资机会的可取程度。肯定当量法的原理虽然是比较净现值的大小,但该方法的核心与关键却在于肯定当量系数的确定。所谓肯定当量系数,是指把不肯定的1元现金流量折算成相当于使投资者满意的肯定现金流量的系数。
一般来讲,在肯定的1元和不肯定的1元之间,人们往往会选择前者,因为不肯定的1元,只相当于不足1元的金额,两者的差额,是缘于风险或不确定性的客观存在,风险或不确定性越高,未来现金流入量贬值的可能性越大。为此,在按净现值法判断投资项目或投资方案是否可取时,在未来现金流人量上乘上一个系数,相当于把含有风险或不确定性因素的现金流人量换算成剔除了风险或不确定性因素后的可以肯定的现金流人量,从而提高了投资可行性判断的准确程度。可见,肯定当量系数的实质是在现金流人量上应该乘上的一个折扣率。
肯定当量系数的延伸分析
对于肯定当量系数,确定的方法一般有:
1、理论系数法
该法能够说明肯定当量系数的理论意义,表明未来可以肯定的现金流量相当于现在计算的不肯定现金流量期望值的比率。用公式表示为:at=肯定的现金流量÷不肯定的现金流量期望值因该公式的分子无法直接计算得出,在实际工作中难有应用价值,故称为理论系数。
2、经验系数法
即以反映现金流量期望值风险程度的标准差率(亦称变异系数)表示现金流量的不确定程度,则标准差率与肯定当量系数的经验数据为:
- 标准差率(Q) 当量系数(at)
- 0.00~0.07 l
- 0.08~0.15 0.9
- 0.16~0.23 0.8
- 0.23~0.32 0.7
- 0.33~0.42 0.6
- 0.43~0.54 0.5
- 0.55~0.70 0.4
标准差率反映了投资项目的风险程度,风险越小,则标准差率越小,对应的肯定当量系数就大,可以肯定的现金流量也就越大;反之,风险越大,标准差率就越大,对应的肯定当量系数也就小,可以肯定的现金流量也小。实际应用中,需已知某投资项目的风险程度,并计算出反映投资项目风险程度的标准差率,方可找到对应的肯定当量系数。
3、换算系数法
如无风险贴现率(i)和风险贴现率(K)之间的函数关系已知,即i=K,则可根据联立公式推算出肯定当量系数。方法如下:
因为,肯定当量法的现金流入现值为:

风险调整现贴现率法的现金流入现值为:

所以: =
解出:at = (1 + i)t / (1 + K)t即可满足计算净现值所需。
该法计算肯定当量系数的前提是应预先确知风险贴现率和无风险贴现率的对应关系,如没有这个前提,则此法便失去了存在的基础。
肯定当量法应用的最大难题是当量系数如何确定才能最大限度地符合实际。从前述确定当量系数的方法中,均存在主观性判断大于客观性判断的问题。本文认为,无论是经验系数还是换算系数,都是建立在对风险估计的基础上,计算上比较麻烦且又存在一定的不合理性。既然如此,何不采用比较简便易行和科学合理的方法,即只对未来的投资风险确定为高中低三个等级,同时确定与之相对应的当量系数。考虑到每一等级的风险中也还有程度的不同。故可确定相宜的系数范围,以便增强其可以选择的弹性。具体如下表所示:
风险等级 当量系数
- 高 0.4~0.69
- 中 0.7~0.89
- 低 0.9~0.95
此法可命名为风险等级对照法,其先进性在于:它既吸收了经验系数法的长处,又克服了经验系数法本身的不合理性和计算上的麻烦,因为无论风险大小,当量系数即折扣率总不能为l(100%),这意味着折扣率并无意义,问题在于只要有风险而不论大小,对未来现金流入量所打的折扣为l总是不合逻辑的;同时,又避免了换算系数法计算上的烦琐及无风险贴现率和风险贴现率之间存在函数关系的假定性。其合理性在于:各风险等级对应的当量系数均有一个选择的区间,可满足不同风险偏好的决策者所需。
肯定当量法的应用分析
例:某公司有三个投资机会,预定的无风险贴现率(i)为6% ,风险贴现率(k)分别为:A方案为10%,B方案为7.1%,C方案为7.5%,其余资料见表:

注:C:投资现值At;现金流人量Pi;概率Et;现金流人量的风险期望值Dt;标准差
1、按经验系数法计算如下:
根据要求,确定肯定当量系数的前提是先计算反映各方案风险程度的标准差率,即变异系数Q,以便寻求与之相对应的肯定当量系数。其标准差率的计算公式为:Q=D/E

根据标准差率所对应的数据,即可查得各方案的肯定当量系数。

据此即可计算出各方案的净现值:

结论是B>A>C,根据净现值法的判断规则应选择B方案。但该法对于反映风险程度的资料要进行详细的计算,否则便难以获得所需的经验资料。
2、按换算系数法计算如下:
如前所述,在有风险的贴现率和无风险的贴现率之间函数关系已知的前提下,可以换算出肯定当量系数。假设有风险的贴现率K(A) = 10%,K(B) = 7.1%,K(c) = 7.5%,相当于无风险的贴现率i=6%,则各方案的肯定当量系数分别为:

据此可以计算出三个投资方案的净现值。

此法计算结果也是B>A>C,但其存在的问题一是当量系数的换算是建立在有风险的贴现率和无风险的贴现率相对应的前提下,主观性较强又较烦琐;二是计算结果较为接近,未能鲜明地反映出不同方案的风险程度,不易作出准确判断,使其在实践中的应用价值受到削弱。
3、按风险等级对照法计算如下:
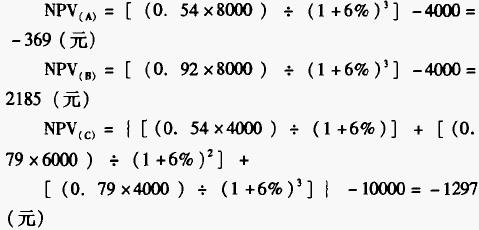
若根据判断,A方案有较大风险,B方案风险较低,C方案第一年风险较高,第二、三年偏低,则可根据风险等级对应的当量系数直接计算各方案的净现值。为计算方便,设各方案对应的当量系数分别取中值为:
A=0.54,B=0.92,C方案第一年为0.54,第二、三年为0.79,则:

从计算结果看,与前述结论完全相同,仍应选择B方案,但该法的优点在于:一是计算过程大为简化,省略了标准差及换算系数的计算,却得到了与前述方法完全相同的结论;二是对各方案的风险程度从计算结果中可以看得非常清晰,便于作出比较准确的判断。因此可以想象,该法在实际的投资风险分析中应有广泛的推广和应用价值。
