综合评价法
综合评价法(Comprehensive Evaluation Method)
什么是综合评价法?
运用多个指标对多个参评单位进行评价的方法,称为多变量综合评价方法,或简称综合评价方法。其基本思想是将多个指标转化为一个能够反映综合情况的指标来进行评价。如不同国家经济实力,不同地区社会发展水平,小康生活水平达标进程,企业经济效益评价等,都可以应用这种方法。
综合评价方法的种类
现代综合评价方法包括主成分分析法、数据包络分析法、模糊评价法等。
(1)主成分分析法。主成分分析是多元统计分析的一个分支。是将其分量相关的原随机向量,借助于一个正交变换,转化成其分量不相关的新随机向量,并以方差作为信息量的测度,对新随机向量进行降维处理。再通过构造适当的价值函数,进一步做系统转化。
(2)数据包络分析法。它是创建人以其名字命名的DEA模型——C2R模型。DEA法不仅可对同一类型各决策单元的相对有效性做出评价与排序,而且还可进一步分析各决策单元非DE有效的原因及其改进方向,从而为决策者提供重要的管理决策信息。
(3)模糊评价法。模糊评价法奠基于模糊数学。它不仅可对评价对象按综合分值的大小进行评价和排序,而且还可根据模糊评价集上的值按最大隶属度原则去评定对象的等级。
综合评价法的特点
综合评价法的特点表现为:
(1)评价过程不是逐个指标顺次完成的,而是通过一些特殊方法将多个指标的评价同时完成的;
(2)在综合评价过程中,一般要根据指标的重要性进行加权处理;
(3)评价结果不再是具有具体含义的统计指标,而是以指数或分值表示参评单位"综合状况"的排序。
综合评价法的要素
构成综合评价的要素主要有:
1.评价者。评价者可以是某个人或某团体。评价目的的给定、评价指标的建立、评价模型的选择、权重系数的确定都与评价者有关。因此,评价者在评价过程的作用是不可轻视的。
2.被评价对象。随着综合评价技术理论的开展与实践活动,评价的领域也从最初的各行各业经济统计综合评价拓展到后来的技术水平、生活质量、小康水平、社会发展、环境质量、竞争能力、综合国力、绩效考评等方面。这些都能构成被评价对象。
3.评价指标。评价指标体系是从多个视角和层次反映特定评价客体数量规模与数量水平的。它是一个“具体一抽象一具体”的辩证逻辑思维过程,是人们对现象总体数量特征的认识逐步深化、求精、完善、系统化的过程。
4.权重系数。相对于某种评价目的来说,评价指标相对重要性是不同的。权重系数确定的合理与否,关系到综合评价结果的可信程度。
5.综合评价模型。所谓多指标综合评价,就是指通过一定的数学模型将多个评价指标值“合成”为一个整体性的综合评价值。
综合评价法的步骤
1、确定综合评价指标体系,这是综合评价的基础和依据。
2、收集数据,并对不同计量单位的指标数据进行同度量处理。
3、确定指标体系中各指标的权数,以保证评价的科学性。
4、对经过处理后的指标在进行汇总计算出综合评价指数或综合评价分值。
5、根据评价指数或分值对参评单位进行排序,并由此得出结论。
综合评价分析指标值的计算方法
主要有打分综合法、打分排队法、综合指数法、功效系数法等。
综合评价法的案例分析
案例一:综合评价法在电网工程后评价中的应用
项目后评价的理论基础是现代系统控制与反馈控制的管理理论,后评价是完全建立在实际数据的基础上,如何选择合适的评价体系和指标,正确处理和应用这些数据是成功实施后评价的核心。
- 1.后评价的总体实施方法
电网工程项目后评价主要需要解决三个问题:一是项目的原定目标和目的是否可能达到,目标是否需要调整;三是项目的原定效益是否可能实现以及实现的程度:三是项目运营可持续性,下一步会有什么风险,有多大风险。
由于上述三个问题涉及到较多的定量和定性的分析,在实际操作中,可以使用综合评价陆对电网项目实施后评价,可分解为项目建设过程评价、项目经济效益评价、电网项目社会经济的影响评价、可持续性评价、决定性因素评价五个一级评价目标,根据其不同的特点选用不同的评价方陆,同时还需要根据工程特点有侧重地分解二级或三级评价目标,从而进行定性或定量分析。
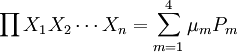
设项目实施过程评价为P1,项目效益评价为P2,项目影响评价为P3,项目可持续性评价为P4,其各自所占的权重为μ4 − μ4,则项目的后评价总评分P的计算方法为:

其中,μ4 − μ4是各项所占的权重,该数值可通过搜集权威专家的集体意见,对一级评价目标中四项评价内容相对于整体评价结果的重要程度进行量化,采用层次分析怯(AHP)计算而出。
X1 − X4为各项目决定性因素评价的结果,由于决定性因素评价采用。0/1评价,所以此项指标具有一票否决权,对最终结果影响较大,评判需特别慎重。
- 2.项目建设过程评价
根据不同的电网工程特点,项目实施过程评价目标可分解为前期工作评价、项目实施评价、投资执行情况评价、生产运行效益评价等二级目标,进而可以分解为若干三级目标,再设立相应的标准对兰级指标进行评价。
在具体实施中,往往采用定性和定量相结合的方式对该评价内容进行评分,具体可以采用前后对比、成功度告、百分制评分居等方式,由专家进行评分并汇总。量化指标中,以运行效益这个二级目标为例,根据其特点,可以运用前后对比陆对其进行定量评价:
生产技术指标完成情况评价表
| 年度 | 负荷水平(kW) | 输送电量(kWh) | 线损率(%) | 线路稳定极限(kW) | 事故停运次数(次) |
|---|---|---|---|---|---|
| 设计值 | |||||
| 第1年(实际值) | |||||
| 第2年(实际值) | |||||
| …… | |||||
| 第n年(预测值) | |||||
| 偏差 |
值得注意的是,电网输变电工程项目按规定在项目投产1-2年内开展项目的后评价工作,此时,投资收益还未完全体现,离项目设计的生命周期和投资回收期都还有较长的时间距离,因此,项目运营情况后评价往往还需要对未来项目的运营情况进行预测。
- 3.项目经济效益评价
一般来说,电网工程项目效益评价包括财务评价和国民经济评价两个部分。项目效益评价指标主要采用定量分析,指标体系包括投资利润率、财务净现值(FNPVR)、投资回收期(P1)、内部收益率(FIRR)等。
- 4.电网项目社会经济的影晌评价
是指项目对其周围地区在技术、经济、社会及其自然环境所产生的作用以及外部影响。项目的影响评价应站在国家的宏观立场,重点分析整个社会发展之间的关系。影响评价既是后评价的重点又是其主要特点。项目影响评价包括经济影响评价、产业关联影响评价和环境影响评价三个方面。
该项评价中既有定量指标,又有难以量化的定性指标。定量指标可采用前后对比与有无对比的方泣。难以量化的指标,可以使用模糊评价方陆,集中专家和评价者的经验及智慧进行综合分析评分。
- 5.项目可持续性评价
项目的持续性即项目的延续性和可重复性,指项目的固定资产、人力资源和组织机构在外部投资结束后持续发展的可能性;项目是否具有可重复性,即是否在未来以同样的方式重复建设同类项目。具体指电网工程项目以同样的方式扩建或新建的可行性。
持续能力评价常规的分析方怯是"逻辑框架陆"即从新确定的长远目标、效益、产出、工作和投入等几个层次评价项目的相关条件和风险。
持续性分析模型的简要逻辑框架
| 项目内容 | 验证指标 | 评价出的条件及风险 | |||
|---|---|---|---|---|---|
| 机会指标 | 实际指标 | 差别 | 内部原因 | 外部能力 | |
| 宏观目标 | 可持续性发展目标/ 电网规划发展目标 | 国家政策趋势,电力体 制的变化,技术先进性、 环保、资金到位等 | |||
| 效益 | 经济效益、财务情况等 | 市场变化因素,运行情况等 | |||
| 措施 | 管理措施,技术措施等 | ||||
| 项目投入 | 资金及人力资源 | 市场对资源的竞争 | |||
- 6.决定性因素指标体系
决定性因素是指无论其他因素或条件的优劣和满意度如何,它的特性将直接影响评价的结果。对电网项目,决定性因素就是项目的建设是否符合国家的产业政策、环保指标是否达标以及是否存在安全及质量隐患等直接决定项目的成败的最关键指标。决定性因素指标必须是刚性或量化指标,不能是定性或弹性指标。
对决定性因素评价一般采用。0/1法评价,组成后评价专家组对其进行打分,当超过2/3专家同意时通过评价结果。
