余额递减法
由 Network 分享
时间:
余额递减法(declining balance method)
什么是余额递减法
余额递减法是指是加速折旧法的一种。这种方法是将每期固定资产的期初帐面净值(原值减累计折日)乘以一个固定不变的百分率计算该期折旧额的一种方法。
余额递减法的计算公式
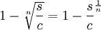
这一固定不变的百分率即为采用该方法的折旧率,其计算公式如下:
折旧率=
其中:n——为估计使用年限;
s——为预计残值;
c——为固定资产原值。
余额递减法的运用
实例分析:
某项固定资产原始成本为10000元,预计使用年限为5年,预计残值1500元,预计清理费用500元。则:
折旧率=
则每年应提折旧额计算如下:
| 年限(期末) | 折旧额(元) | 累计折旧额(元) | 净值(元) |
| 期初原始成本 | 10000 | ||
|---|---|---|---|
| 1 | 3690 | 3690 | 6310 |
| 2 | 2328.4 | 6018.4 | 3981.6 |
| 3 | 1469.2 | 7487.6 | 2512.4 |
| 4 | 927 | 8414.6 | 1585.3 |
| 5 | 585 | 9000 | 1000 |
使用余额递减法,在计算折旧额时预计残值并不从固定资产原值中扣除,如第一期的折旧额为10000×0.369=3690。这是因为资产帐面净值随着年份增多越来越少,其结果是在资产的整个使用年限内每期的折旧费越来越小。计算折旧率时已把预计残值考虑在内,采用此方法计提折旧,能保证在整个使用寿命的期末,固定资产的帐面净值正好等于预计残值。
