等比变额年金法
由 Network 分享
时间:
什么是等比变额年金法
等比变额年金法是指运用年金法,并从第2期开始,使每期租金与前1期的比值是同一个常数q的租金计算方法。
等比变额年金法的计算公式
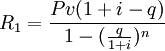
等比变额年金法的计算公式为
(
)
或
(
)
上式中的q表示每期租金与前1期的比值。
当q>l时,是等比递增变额年金法;
当q<1时,是等比递减变额年金法;
当q=1时,则是等额年金法。
事实上,等额年金法也可以看做是等比变额年金法的特例。
租金总额的计算公式推导如下:


