年金法
由 Network 分享
时间:
年金法(Annuity Method)
什么是年金法
年金法,是以现值理论为基础的租金计算方法,即将一项租赁资产在未来各租赁期内的租金按一定的利率换算成现值,使其现值总和等于租赁资产的概算成本的租金计算方法。年金法计算有期初支付和期末支付租金之分。
年金法的分类
年金法可分为等额年金法和变额年金法,等额年金法包括后付租金的等额年金法和先付租金的等额年金法;变额年金法又包括等差变额年金法和等比变额年金法。
等额年金法
等额年金法指运用年金法,使各期租金均等的租金计算方法。分为先付和后付。
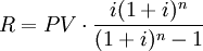
先付等额年金法
在租金先付的情况下,等额年金法的计算公式为:

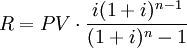
后付等额年金法
按照年金法计算的基本原理,后付租金的等额年金法的基本计算公式为:

变额年金法
等差变额年金法
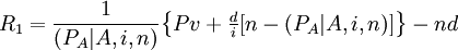
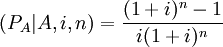
等差变额年金法是指运用年金法,并从第二期开始,使每期租金比前一期增加(或减少)一个常数d的租金计算方法。
首先,假定:
- Pv表示租赁设备的概算成本
- n表示租期数
- i表示每期利率
- R1,R2,...,Rn分别表示每1、2、...、n期的租金额。
表示年金现值系数- d表示每期租金比前一期增加(或减少)的常数
则每一期租金的计算公式为:

以后各期租金可以信次加(或减)去相应的若干倍d来求得。总租金的公式为:

等比变额年金法
等比变额年金法是指运用年金法,并从第二期开始,使每期租金与前一期的比值是同一个常数q的租金计算方法。
首先,假定:
- Pv表示租赁设备的概算成本;
- n表示租期数;
- i表示每期利率;
- R1,R2,...,Rn分别表示每1、2、...、n期的租金额;
- q表示每期租金与前一期的比值。
则第一期租金的计算公式为:

以后各期租金可以依乘以(或除以)相应的若干倍q来求得。租金总额公式为:

