等额年金法
等额年金法(Level Payment Method)
什么是等额年金法
等额年金法指运用年金法,使各期租金均等的租金计算方法。
等额年金发生在(或折算为)某一特定时间序列各计息期末的等额序列。即从计算期的第一年至最后一年年末的效益额都相等时,称为等额年金。
等额年金法的类型
等额年金法分为先付和后付。
1)先付租金的等额年金法
在租金先付的情况下,等额年金法的计算公式为:

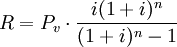
2)后付租金的等额年金法
按照年金法计算的基本原理,后付租金的等额年金法的基本计算公式为:

等额年金法的计算方法
等额年金法是我国目前租赁业务中最常用的计算方法,因此,把握这种方法,对企业开展租赁业务,正确地计算租金具有十分重要现实意义。
与等额年金法计算相关的概念和公式
在介绍具体计算方法以前,需要了解“单利”、“复利”和“现值”等几个有关概念。
所谓单利,就是以本金计算利息的方法。即由本金产生的利息不再加入本金重复计算。单利的计算公式为:
。如本金P=1000,年利率i=9%,则:
一年后的本利和
二年后的本利和
三年后的本利和
所谓复利,则是本金经过一期后,将本金所产生的利息再加到本金上计算利息,即“利滚利”,其计算公式为
其中,(1+i)为一次支付的现值系数,n为期数,我们仍以上例,用复利计算:
一年后的本利和
二年后的本利和
三年后的本利和
所谓现值是指在将来各个不同时期所支付的每一笔付款或一系列付款所折合的现金金额与现在支付的付款等值。现值是随远期付款的贴现利率变化而变化,如折现率为10%,一年以后的1000元,只相当现在的909.09元,这909.09元即为1000元将来货币的现值。现值的计算公式为:

其中:P_v为本金(现值),i为复利率,n为复利次数,Sn为本利和(将来值)
等额年金法计算公式的推导
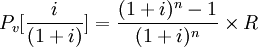
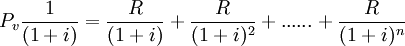
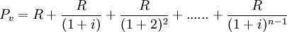
1.期末后付租金复利定额年金法公式。根据现值计算公式,设R为每次(相同间隔)应付租金,P_v为租赁物件总成本,i为付租间隔期费率,n为付租次数,则,
第一次支付租金的现值为 
第二次支付租金的现值为 
......
第n-1次支付租金的现值为 
第n次支付租金的现值为 
第一至第n次支付租金的现值和与租赁资产的概算成本相等,即:
...... ①
将上式进行简化,等式两边各乘以(1+i),则:
...... ②
以②-①,则




2.有宽限期的期末后付租金复利等额年金法计算公式。有宽限期的期末付租公式。其原理与期末付租基本相同,只是将宽限期的本利和作为实租的总成本。宽限期的本利和为:
其中no为宽限期计息次数,所以,有宽限期的期末付租公式为:

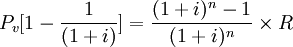
3,期初先付租金复利定额年金法计算公式。期初付租,第一次付租日即为成交日,那么,第一次付租额与其现值相等,所以:
第一次的现值为R
第二次的现值为 
......
最后一次的现值为 
第一次至最后一次支付租金的现值即为租赁资产的概算成本,故:
……①
等式两边各乘以
,则:
...... ②
以①-②,则





等额年金法计算应用实例
某企业向某租赁机构租用一套设备,购价95000元,运输费、保险费,安装调试费5000元,租赁期限三年,年租赁费率10%,每季度付租一次,按期末后付、宽限期6个月期末后付和期初先付三种复利年金方法计算租金:
已知:P_v=95000+5000=100000
n=36÷3=12
i=10%÷4=0.1÷4=0.025
1.用期末后付年金法计算:
每期租金
(元)
总租金
(元)
2.用期初先付年金法计算:
每期租金
(元)
总租金
(元)
3.用宽限期6个月后付年金法计算:
每期租金
(元)
总租金
(元)
上述计算方法都是讲一次支付徂赁物件总成本,分次收回等额租金,如分次支付租赁物件总成本,分次收回等额租金,可用同一个公式分别计算租金;如在一个宽限期内,分次支付租赁物件总成本,而起租期相同时,也可用同—公式一次计算租金。
除复利等额年金法外,还有期末后付租金单利等额年金法,其计算公式为:

单利付租在实际工作中较少采甲,这里不做详细介绍。
