变额年金法
由 Network 分享
时间:
什么是变额年金法
变额年金法是每期支付的租金金额不相等的租金支付方式。
变额年金法的分类及计算
变额年金法分为等差变额年金法和等比变额年金法。
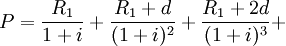
- ①等差变额年金法。
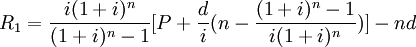
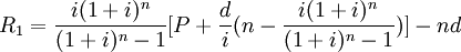
在这种方法下,每期租金都比前一期增加一个常数d。其公式是:

式中:R1真为第一期期末支付的租金;d为常数。
根据定义:R2 = R1 + d
R3 = R1 + 2d
……
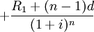
Rn = R1 + (n − 1)d
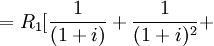
将上面R1,R2,R3……Rn的内容代入
……
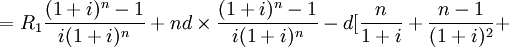
得:
……


所以:
如果d > 0,则后一期租金比前一期租金增加一个正数,称为等差递增变额年金法。
如果d < 0,则后一期租金比前一期租金增加一个负数,称为等差递减变额年金法。
如果d=0,则为等额年金法,因此,等额年金法是变额年金法的特例。
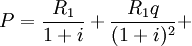
②等比变额年金法。
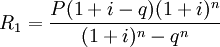
在这种方法下,每期租金与前一期租金的比值总是一个常数q。公式如下:

式中:R1为第一期期末支付的租金额;q为常数。
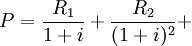
公式可推导如下:
…… 
把上式代入等式
……
得:
……


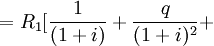
所以,
或者
如果q > 1,则为等比递增变额年金法。
如果q < 1,则为等比递减变额年金法。
如果q = 1,则为等额年金法。
由此我们可以看出,使用变额年金法,每次支付租金的金额不同,有时递增、有时递减;此法符合收益与成本相配比的原则;d与q的大小难以确定,而且d、q越大,租金增额越多。
