净年值
净年值
净年值(Net Annual Value)是指按给定的折现率,通过等值换算将方案计算期内各个不同时点的净现金流量分摊到计算期内各年的等额年值。英文简写是NAV。
净年值的计算公式
净年值是通过资金等值换算将项目净现值分摊到寿命期内各年(从第1年到第n年)的等额年值。
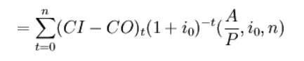
净年值的计算公式为:


其中:
NAV:净年值;
NPV:净现值,净现值是一项投资所产生的未来现金流的折现值与项目投资成本之间的差值。
式中:
为资本回收系数。NAV≥0时,则投资方案在经济上可以接受。NAV<0时,则投资方案在经济上应予拒绝。资本回收系数,指的是在预定的回收期内,按复利计息的条件下,每年回收额相当投资额的比率。求资本回收额是普通年金求现值的逆运算。
净年值和财务净现值的区别
净年值和财务净现值的区别如下:
1、定义不同。与净年值不同的是,财务净现值,指的是未来资金流入现值与未来资金流出现值的差额,属于企业经济评价的辅助指标;
2、判别准则不同。财务净现值指把项目计算期内各年的财务净现金流量,按照一个给定的标准折现率(基准收益率)折算到建设期初(项目计算期第一年年初)的现值之和;净年值是对独立项目方案而言,若NAV≥0,则项目在经济效果上可以接受,若NAV<0,则项目在经济效果上不可接受。
净年值的注意事项
由于资本回收系数>0,故净年值与净现值在结论上是一致的。给出的信息是项目在整个寿命期内获取的超出最低期望盈利的超额收益的现值,与净现值所不同的是,净年值给出的信息是寿命期内每年的等额超额收益。净年值指数(NAVI)指标可以同时克服NAV有利于投资额大和寿命期长的方案的两个偏差,但是它的经济效益表达很不直观,常常使项目投资者或是经营者感到困惑,因此指标缺乏说服力,一般不用于单个方案的评价。即使多个方案的比较评价时,也只是作为辅助指标来考虑。
术语解释
折现率是指将未来有限期预期收益折算成现值的比率。本金化率和资本化率或还原利率则通常是指将未来无限期预期收益折算成现值的比率。
现金净流量是现金流量表中的一个指标,是指一定时期内,现金及现金等价物的流入(收入)减去流出(支出)的余额(净收入或净支出),反映了企业本期内净增加或净减少的现金及现金等价物数额。
