Z评分模型
Z评分模型的概念
Z评分模型是著名财务专家奥特曼设计的一种破产预测模型。他根据数理统计中的辨别分析技术,对银行过去的贷款案例进行统计分析,选择一部分最能够反映借款人的财务状况,对贷款质量影响最大、最具预测或分析价值的比率,设计出一个能最大程度地区分贷款风险度的数学模型(也称之为判断函数),对贷款申请人进行信用风险及资信评估。
奥特曼确立的分辨函数
Z=0.012(X1)+0.014(X2)+0.033(X3)+0.006(X4)+0.999(X5)或:
Z=1.2(X1)+1.4(X2)+3.3(X3)+0.6(X4)+0.999(X5)
其中, X1:流动资本/总资产(WC/TA)
X2:留存收益/总资产(RE/TA)
X3:息前、税前收益/总资产(EBIT/TA)
X4:股权市值/总负债帐面值(MVE/TL)
X5:销售收入/总资产(S/TA) 这两个公式是相等的,只不过权重的表达形式不同,前者用的是小数,后者用的是百分比,第五个比率是用倍数来表示的,其相关系数不变。
阿尔特曼经过统计分析和计算最后确定了借款人违约的临界值Z0=2.675,如果Z<2.675,借款人被划入违约组;反之,如果 Z≥2.675,则借款人被划为非违约组。当1.81<Z<2.99时,判断失误较大,称该重叠区域为"未知区"(Zone of Ignorance)或称"灰色区域"(gray area)。
Z评分模型的改进
Z评分模型主要以会计数据来对企业违约风险进行评估,殊不知会计上的总资产的价值受许多因素的影响,使得它提供的资产总价值在大多数情况下与企业真实的价值不相吻合。鉴于此原因,本文利用期权定价理论与Black-scholes公式计算出企业的市场价值,再把它应用到Z评分模型,那么怎样具体来计算企业资产的总价值呢?我们不妨先来讨论一下企业股权价值与企业总资产价值的关系。假定一个公司具有资产价值V和负债D,这些负债必须在合同约定时间T时偿还,否则该公司就会违约;并且如果公司破产,公司的资产将优先清偿给债权人,如果资不抵债,则股权没有价值。
如果该公司资产价值V在时间T时大于D,则该公司有能力不违约,相反,如果小于D,则公司将要违约,股东选择将所有股权转让给债权人。如图一给出了从企业的股权所有者角度考虑的贷款偿还问题。假设企业从银行借款额为OB,贷款到期时该企业的资产市值为OA2,其中OA2 > OB。在这种情况下,企业将归还这笔贷款并且企业的股东们还会得到企业资产的剩余价值OA2 − OB贷款到期时,企业资产的市值越大,企业留给股东的剩余价值也就越大。
相反,如果企业资产价值低于OB(例如OA1),那么企业股东就失去了归还该笔贷款的能力,因为这时股东在经济上己经破产,只能将企业交给债权人来处置。从图中我们可以看到,不管企业资产市值下降到借款数以下多大程度,股东朝下的那条风险线下降到某一点C后就被截取顶端成为一条直线了,这是因为有限责任公司股东以出资额对公司负责,保护了企业股东的损失不能超过OC(股东在企业的原始投入)。

对比图欧式看涨期权买权的损益可以看出,该公司的股权收益状况和看涨期权买权的损益状况一致,该看涨期权执行价格为D。时间T后,如果该公司的资产价值大于D,则该买权得到执行,所得收益为V-D:否则不执行该买权,其价值为0,所以可以认为公司的股权是以公司资产为标的的看涨期权买权,执行价格为公司债务的价值。

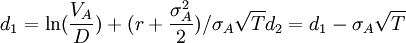
故根据Black-scholes公式和上面的分析,有:
VE = VA * N(d1) − e − rT * D * N(d2) (1)
其中,

公式中r为按连续复利计算的年无风险利率,V_A表示资产价值,/sigma^2_A表示资产价值的波动率,V_E表示股权价值,T表示信用期限,D表示违约点(它一般等于短期负债与长期负债一半的和)。
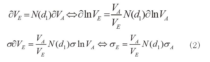
下面我们再来讨论一下股权价值波动性和资产价值波动性的关系:
因为,V_E=V_A*N(d_1)-e^{-rT}*D*N(d_2),所以,

根据(1)和(2)可以得到市场的总资产价值VA,从而改进的Z评分模型为Z = 1.2x1 + 1.4x2 + 3.3x3 + 0.6x4 + 0.999x5,其中,x1=营运资本/市场总资产;x2=留存收益/市场总资产;x3=税前利润/市场总资产;x4=权益市场价值/总债务;x5=销售收入/市场总资产。
Z评分模型案例分析
案例一:Z评分模型对上市公司信用风险状况的分析
1.研究方法说明
将其按2004年度的经营业绩划分并选取:绩优股企业,沪深两市每股收益排名居前的各20家上市公司共40家企业;当年被取消ST的共12家企业;绩差股企业,当年被ST的共6家企业。对这三类共58家企业的信用风险运用“Z评分模型”评价比较并检验Altman的原始z评分模型对我国股票市场的适用性。
2.研究假设
根据Altman的研究经验,假定“Z评分模型”同样适用于我国股票市场,则我国沪、深交易所上市公司的z评分值将呈以下的分布规律:假设一:对于信用风险小的股票。通常理解为绩优股,其z值应大于2.99。假设二:根据我国《公司法》第157条规定:“上市公司如果最近三年连续亏损,将由国务院证券管理部门决定暂停其股票上市”,实际操作中,将其实施特别处理或特别转让(即ST或PT)。显然,该类股票企业的信用风险很大,因此,当年被ST或Pr的上市公司,其z值应低于1.8l,并且在连续亏损三年内其Z值应呈逐年递减趋势。假设三:对于当年被取消特别处理(即取消ST,又称“摘帽”)的上市公司而畜,由于其此前连续两年亏损,现虽已改观,但仍存在较大的经营风险与信用风险,因此其Z值在当年应处于1.81~2.99之间,即处于灰色地带,而被“摘帽”的当年,其z值应呈上升趋势。
3.样本数据说明
(1)有针对性地选取上交所、深交所共58家上市公司的A股作为样本。其中选取两个交易所2004年度每股收益排名居前的各20家上市公司作为绩优股企业;2004年度因连续亏损两年和净资产低于面值一元而被实施特别处理的上市公司:沪市3家,深市3家;以及2004年度因业绩改观而被取消特别处理上市公司:沪市3家,深市9家。
(2)样本的时间跨度为2003年、2004年两年,具体选取2004年度业绩较好、被实施特别处理和被取消特别处理的共57家上市公司21303、2004年的数据。
(3)样本数据来源于该57家上市公司2003、2004年公开披露的财务报表。
说明:深交所的2004年度每股收益排名居前的20家上市公司中不包含于2004年6月份陆续上市的中小企业板的上市公司。
4.指标设定
鉴于我国股票市场非流通股元市场价格以及其他因素,对“Z评分模型”中的各项指标的设定作以下调整:X1=营运资金/总资产=(流动资产-流动负债),总资产;X2=留存收益/总资产=(未分配利润+盈余公积),总资产;X3=息税前利润/总资产=(税前利润+财务费用)/总资产;X4=权益市值/总债务账面值=(每股市价*流通股数+每股净资产*非流通股数),总负债;X5=销售收入/总资产=主营业务收入/总资产。
(1)因X_3息税前利润中所需的利息费用无法直接从年报中获取,故以财务费用代替,对结果应无实质性影响。
(2)每股市价以股票12月31日当天收盘价计算。
(3)2004年新上市公司2003年的权益市值以每股净资产*股份总数计算。
5.对实证结果的分析与解释
根据58家上市公司的财务资料,计算并归纳结果如下:沪市2004年度绩优的公司2003年度z均值为3.34,2004年度Z均值为3.55;2004年被ST的公司2003年度Z均值为2.48,2004年度Z均值为-0.88;2004年被取消sr的公司2003年度Z均值为0.92,2004年度Z均值为1.98。深市2004年度绩优的公司2003年度z均值为3.3l,2004年度Z均值为3.49;2004年被ST的公司2003年度z均值为0.83,2004年度z均值为-0.57;2004年被取消ST的公司2003年度Z均值为2.59,2004年度Z均值为2.52。由以上数据可以看出:
(1)沪深两市2004年度每股收益较好的上市公司其2003、2004两个年度的Z均值均大于2.99,符合假设一。
(2)沪市中2004年被ST的上市公司在2003年度的Z均值为2.48,属于存在一定的信用危机破产几率较高的一档,到2004年度其均值迅速下降到-0.88,其信用风险极大,几近破严,这都符合关于z值临界值的界定,支持了假设二。深币中2004年被ST的上市公司在2003年度的Z均值为0.83,已经属于财务危机严重、破产几率很高的一档,而到2004年度其信用状况进一步恶化,Z均值也已降为负数,为-0.57,这类企业已濒临破产。这也符合前述关于Z值临界值的界定,支持了假设二。
(3)沪市中2004年被取消ST的上市公司在2003年度的Z均值为0.92,属于财务危机严重破产几率很高的一档,而在2004年由于经营的好转被取消了ST,z均值提高到1.98,但也只是略高于破产上限临界值1.8l,说明财务问题虽稍有好转,但仍存在着较大的破产风险,基本符合假设三。深市中2004年被取消ST的上市公司在2003年度的z均值为2.59,虽然仍属于存在一定的信用危机破产几率较高的一档,但可以看出这类企业的经营状况已得到改善,Z均值已经与破产上限临界值1.81拉开了距离,然而其在2004年度的z均值虽仍处于灰色地带,但与上年相比却略有下降,这与假设三中提到的被“摘帽”的当年,其z值应呈上升趋势略有不符。其原因在于该类上市公司样本容量不足,个别样本的数据可能对总体样本数据的计算结果产生很大影响,在深市2004年被取消ST的上市公司中,000150由于在这两年中的K指标值过高,尤其是2003年,因此造成其Z值过高,从而影响总体样本的计算结果,导致该类企业在被取消ST当年的Z均值低于上年。与假设三不符。若剔除该样本计算该类企业的z均值,在2003年和2004年分别为1.42、1.7l,这就在时间趋势上与假设三相一致了。
综上所述,虽然在假设三的验证上出现了与预计结果略有不符的现象,但从总体上来看,“Z评分模型”在对我国股票市场上不同档次经营业绩水平上市公司的信用风险度量面还是很具说服力和适用性的,上市公司的业绩水平基本上与其信用风险水平成反比例关系,即上市公司的业绩表现越好,其z值就越高,表明其信用风险水平就越低。“z评分模型”无疑在这方面为我们提供了一个有效的工具,便于我们考察企业的信用风险变动状况,从而为作出科学决策提供有力保障。
