希金斯可持续增长模型
什么是可持续增长模型
美国财务学家罗伯特·希金斯(Robert Higgins)就公司增长问题和财务问题进行了深入的研究,于1977年提出了可持续增长模型。可持续增长模型对一定条件下公司的增长速度受经营水平、财务资源、政策的制约关系进行了描述。该模型是制定销售增长率目标的有效方法,已被许多公司广泛应用(如惠普公司、波士顿咨询公司)。
希金斯定义:可持续增长率是指在不需要耗尽财务资源的情况下,公司销售所能增长的最大比率。
按可持续增长率制定销售目标,可使企业合理地权衡增加收入与控制负债规模之间的关系。 可持续增长 ( Sustainable Growth Rote,SGR )是企业在不增加权益融资并保持当前经营效率(表现为资产周转率和销售净利率) 和财务政策(表现为资产负债率和收益留存率)的条件下公司销售收入的最大增长率, 它实际上是一种平衡增长。
可持续增长模型基于以下假设:
1.公司想以市场允许的速度来发展;
2.管理者不可能或不愿意筹集新的权益成本,即企业发行在外的股数不变;
3.公司要继续维持一个目标资本结构和目标股利政策;
4. 公司资产周转率水平保持不变。
依据Higgins的方法,企业的销售增长率必须以新增的资产作为支撑,如果公司的期初销售额为S,本年的销售增长率为g,为了保持期初总资产A和对应的销售额S的目标比率A/S不变,公司的期末总资产也应扩大g倍。支持公司销售增长的资金来源有两部分,一部分是净利润减去红利发放后的公司留存收益;另一部分是随着公司的所有者权益的增长,为保持公司的资本结构不变,负债所实现的同步增长。根据“资产=负债+所有者权益衡”等式得到公式:
公司期末资产增长数量=A×g
公司期末所有者权益增长数量=P×(S+g×S)×(1-d)=P×S×(1+g)×(1-d)
公司期末对应可增长的负债数量=P×S×(1+g)×(1-d)×(D/E)
根据会计恒等式,可以得到:
A×g=P×S×(1+g)×(1-d)+P×S×(1+g)×(1-d)×(D/E)
g/(1+g)=P×S/A×(1-d)×(1+D/E)
令g*=g/(1+g)=P×S/A×(1-d)×(1+D/E)=(1-d)×P×S/A×(1+D/E)
g是利用内部资源和不变公司资本结构,可实现的销售增长率,称之为可持续增长率。为便于讨论,定义g*为公司的可持续增长率。公司期初权益比R=1+(D/E),期初总资产周转率Q=S/A,期末留存收益率L=1-d,当期销售净利率为P。
可以得出:g*=留存收益率(当年)×销售净利率(当年)×总资产周转率(上年)×权益乘数(上年)=L×P×Q×R=留存收益率×净资产收益率
从上述方程式可以看出,一个公司要依靠自身来实现销售增长,其可持续销售增长率与公司的留存收益率L、销售净利率P、总资产周转率Q和权益乘数R四个比率的乘积有密切的关系。这四个比率涉及到公司财务管理的所有主要内容,公式中的P和Q概括了企业的盈利能力和资产运营能力,而R和L描述了企业主要财务政策(R反映了公司的财务杠杆政策,而L体现了管理层对待股利发放的态度)。
希金斯可持续增长模型的优点
希金斯模型的主要优点,在于明确了影响及制约企业增长的丰要财务因素,其模型简单,思路明晰,易于操作。但是,由于其模型是在一系列假设基础上建立起来的反映的只是静态状态下的企业可持续增长率,因此该模型的不足也是比较明显的。因为在实际工作中,希金斯模型的有些假设很难存在,而且企业的增长决策或计划也不应该是一种纯粹的机械性活动。比如:企业的资产不一定会随销售额成正比例的增长;净利润与销售额之比也很难是一个常数;企业的负债与权益额之比也应根据实际的情况进行调整;股利政策也存在着多种,企业的股利支付率并不一定就是固定的:这些实际情况与模型假设必然产生冲突。当然,对于企业不可能随时增发新股的假设与实际还是较符合的,至少在一段时期内是成立的。据国外的有关统计资料显示,上市公司平均20年出售一次新股。而我国上市公司增发新股亦有严格的审批程序,并至少要间隔一定年限。但这并不代表企业永远不能增发新股。这些都说明了希金斯模型中的假设前提是不尽合理的。
稳定状态下的持续增长模型
稳定状态是指:资产和负债随销售额比例增长;销售净利率为常数;资本结构和股利政策已定;不增加外部权益资金;增长所需权益资金来自内部;财务比率保持目前水平。
在稳定条件下,决定持续增长率(g)的变量有:
根据:资产增加额=留存收益增加额+负债增加额
T △S=+×L
令g=△S/S0,上式经整理后,得到:

(模型中忽略了新增负债利息)
给定变量值,即可利用上式计算出可持续增长率。
例如,某公司本期股东权益100万元,负债80万元,销售收入300万元。资产与销售额比率为60%;销售净利率为4%;股利支付率为30%;负债与权益比率为80%,则:

这就是公司在不增加外部权益(但要增加负债7.34万元),保持各项目标财务比率条件下,所能实现的最高销售增长率。当然,这一比率能否最终实现,还取决于外部市场环境以及公司自身所做的各种努力。
非稳定状态下的持续增长模型
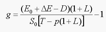
非稳定状态是指模型中的变量可能会发生变化的情况。此时,模型中有些变量要用绝对值表示。设本期股东权益为E0,新增权益筹资额为△E,股利支付额为D,其他符号含义不变,则有:

例中,如果计划期公司资产与销售比率由60%降为55%,销售净利率由4%升为5%,负债与权益比由80%升为100%,支付股利4万元,则g=42.22%。
在增长率模型所需要的六个变量中,只要确定其中五个,就可以利用模型求出第六个变量来。因此可利用模型进行“倘若…将会怎样?”的分析。
假如上例中的公司明年要实现增长率50%,即销售收入由300万元,提高到450万元,充分利用现有设备,使资产与销售比率达到50%,负债与权益比定为80%,支付股利10万元,不对外筹集权益资金,则可求出销售净利率必须达到7.78%,这需要公司在提高产品售价和降低成本方面下工夫。
利用增长率模型也可以求出达到一定增长率所需要的外部融资额(含负债和权益),公式为:

可持续增长模型的优势
可持续增长模型与杜邦分析体系存在着紧密的联系:g* =留存收益率×净资产收益率。然而可持续增长模型所涵盖的内容和对财务管理的意义要比杜邦分析体系丰富得多,在一定程度上弥补了杜邦分析体系在财务管理中存在的不足:
1.引入留存收益比率充分体现出管理者对待股利发放的态度,明确了管理者在使用公司内部和外部资源的意图,进而扩大了杜邦分析体系所能解释的公司财务政策的范围。
2.可持续增长率对公司的发展能力提供了重要的参考指标。当可持续增长与公司实际增长相差较大时,它提醒管理者对其差异进行全面的分析,找出高速增长或是缓慢增长背后所隐含的财务问题,从而及时制定出正确的财务战略和策略。
可持续增长在企业管理层中的应用
(1)根据可持续增长模型可以计算出企业的可持续增长率。企业管理者为了实现其经营增长目标,需要制定相关的预算计划,可持续增长率为管理者编制预算计划从量的方面提供了依据。同时,通过使用可持续增长模型,还能够检查各种增长计划相瓦之间的一致性。一般企业总是习惯为预期做出许多诱人的计划,然而,这些计划彼此之间可能不一致。通过这种方式,就可以在营销、财务和制造方面做出更有根据、更明智的决策。
(2)将可持续增长率与实际增长率进行比较能够揭示出许多财务问题,为管理者正确理财提供帮助。在一般情况下,当实际增长率超过可持续增长率时,企业资金的增长往往跟不上实际的需要量,会导致资金支付困难,于是,管理者的注意力应该集中到如何取得现金,为扩展提供所需资金上来;当实际增长率小于可持续增长率时,企业会有大量的现金盈余,对企业的价值不利,此时,管理者的注意力又应该集中到如何有效地支配多余的现金流量。这些会涉及到管理者的融资决策、经营决策、投资决策等多个决策的取舍。
(3)对样本选取较长时间跨度的数据资料。
可持续增长在财务管理中的应用
运用杜邦分析体系进行财务规划时,管理者是在权衡风险———收益的基础上,通过分析影响销售净利率、资产周转率和权益乘数诸多因素,不断改善公司财务,从而达到提高公司净资产收益率的最终目标。相比之下,利用可持续增长模型进行财务分析与规划的时候,它的指导思想不在于“不断提高”,而在于“均衡” ———可持续增长与实际增长相一致。基于这一指导思想,管理者所要考虑和分析的问题比杜邦分析体系更全面、更复杂。
1.实际增长大于可持续增长
实际增长大于可持续增长的情况通常会出现在企业生命周期的成长期阶段。在这一阶段,企业增长较快,先期投资的一些项目并未产生回报,因此充足的资金是支持企业进一步成长决定性因素。
若企业目前筹资能力雄厚,能够较为容易地从资本市场上获取资源,那么即便实际增长大于可持续增长,管理者也不必十分担心,因为企业虽处于高速增长阶段,但不会陷入资源短缺的困境。可持续增长实质上是从“资源稀缺性”的假设出发,而上述情况不符合这一假设,因而可以容忍实际增长与可持续增长之间存在差异。但是按照生命周期理论,公司不可能总处于高速增长阶段,因而实际增长与可持续增长从长期来看应趋于一致,这并不违背“均衡”的原则。在这一阶段,公司应将注意力集中于提高净资产收益率和合理安排股利支付率上:
①提高销售净利率。一方面,加强企业的成本管理以提高产品的边际毛益贡献率,加强企业的费用控制,减少不必要的浪费;另一方面,可根据产品的价格弹性适当提高单位产品价格其获取更多利润。
②加强资产管理,提高资产周转率。既然公司有较为充足的资金,那么更要注意资金的使用效率,应加快存货周转率,应收账款周转率和固定资产周转率,不能让雄厚的资金成为阻挡提高公司资产周转率的绊脚石。
③提高权益乘数。权益乘数是影响净资产收益率的重要指标,管理者应权衡股权和债券筹资的风险与收益,在可接受风险范围内,提高债务融资的比例。④制定合理的股利支付率。筹资能力较强的公司可以适当提高股利支付率以获取股东及潜在投资者对公司前景的乐观预期,便于今后公司的进一步融资。
若企业筹资能力有限,审视其增长能力是否已经超过了自身所能承受的能力。相应所应采取的财务策略是:提高留存比率,资产周转率和销售净利率。由于向资本市场上筹资比较困难,公司采取以下策略:
①降低营运资本需求。公司在应收账款管理上可采取较为严格的信用政策、信用条件以缩短应收账款的回收期;在商业信用包括应付票据、应付账款的选择上应尽量延长公司的付款期,提高企业的资金周转效率。
②有益的剥离。有利的剥离从两方面降低可持续增长:一方面通过出售收入仅敷支出的生产经营直接产生现金;另一方面,通过摒弃某些增长资源减少实际的销售增长。如果此时实际增长率还是远远超过可持续增长率,那么公司只有忍痛割爱,放弃部分市场、客户,人为地降低实际增长率,以保持实际增长与可持续增长保持一致,避免陷入财务危机的困境。
2.实际增长小于可持续增长
当实际增长小于可持续增长时,企业需要进行仔细的分析。若这种不充分的增长是暂时的,管理者只需简单地继续积累资源以等待未来的增长即可。若这种增长不充分是长期的,那么企业通常会面临以下难题:资金过剩,财务资源闲置,资产周转率降低;用于弥补固定成本的收入比例加大,销售利润率不断降低等情况。这时公司所应采取的措施:
①积极开拓新的市场,寻找新的增长点。进入成熟期的企业往往面临着增长动力不足的局面,如果找不到支撑增长的途径,那么企业必将走入生命周期的衰退期。企业除面向内部寻找和消除制约公司增长的内部因素外,还可以对外寻求那些高速增长却又缺乏资金的企业进行资产重组,这种做法被称之为卖入增长。
②提高股利支付率,以降低可持续增长率。这种做法较为被动,它向投资者传递了经营者无能力管理企业的信息。因而许多管理者对大量发放股利的方法有抵触心理。
可持续增长模型在财务管理的实际应用中,应以均衡的思想为指导,通过分析造成可持续增长率与实际增长率之间差异的因素,制定出符合企业增长需求的财务政策,最终达到可持续增长与实际增长相一致的财务目标。
