企业价值评估的体系分析
企业价值评估的体系分析简介
企业价值的评估在企业经营决策中极其重要。企业财务管理的目标是企业价值最大化,企业的各项经营决策是否可行,必须看这一决策是否有利于增加企业价值。在现实经济生活中,往往出现把企业作为一个整体进行转让、合并等情况,如企业兼并、购买、出售、重组联营、股份经营、合资合作经营、担保等等,都涉及到企业整体价值的评估问题。在这种情况下,要对整个企业的价值进行评估,以便确定合资或转卖的价格。然而,企业的价值,或者说购买价格,决不是简单地由各单项经公允评估后的资产价值和债务的代数和。因为人们买卖企业或兼并的目的是为了通过经营这个企业来获取收益,决定企业价格大小的因素相当多,其中最基本的是企业利用自有的资产去获取利润能力的大小。所以,企业价值评估并不是对企业各项资产的评估,而是一种对企业资产综合体的整体性、动态的价值评估。而企业资产则是指对企业某项资产或某几项资产的价值的评估,是一种局部的和静态的评估。
用公式可表示为:企业价值=企业所有单项资产的公允评估价值之和-企业确认负债额的现值+商誉价值。企业价值也可表现为:企业价值=目前净资产的市场价值+以后可能经营年限之内每年所有可能回报的现值之和。
但实际操作时,未来回报如何准确估计?可能经营年限如何准确估计?有必要一一分析解决。
影响企业价值变化的因素
要弄清楚哪些是影响企业价值变化的因素,并找出衡量这些因素的标准,进而才能找出评价企业价值的方法。
企业的价值关键在于能否给所有者带来报酬,包括股利和出售其股权换取现金,报酬越多,这个企业价值越高。然而,如果未来风险大,即使未来报酬高,也会使人望而却步。所以,企业盈利能力与即将面临的风险状况与水平高低,是企业价值评估需要考虑的两个主要因素。而这两个因素又受以下几个因素影响:
1.企业的资产,无论是有形还是无形,仅是企业的“硬件”,如何运用这些资产去创造企业最佳效益,很大程度上取决于“软件”。这个软件即是企业管理者的经营能力、创新能力、管理方针与经营运作机制,以及这个企业所拥有的人才资源。所以,要正确估计一个特定企业的价格,不仅要看“硬件”,还要看“软件”。
2.企业外部影响因素,如社会政治、经济环境、经营竞争状况和科技发展水平。可见,企业价值评估包含了两方面的内容:一是企业以往经营业绩的评估分析;二是企业未来经营前景的预测分析。
从经营业绩看,我们应得出如下的分析结果:
第一,这个企业目前盈利如何?盈利的主要原因取决于什么(是产品质量好,还是营销手段高,还是有特别机遇,还是由于创新能力)?
第二,这个企业的财务状况如何?形成的原因是什么?对今后企业经营及今后的投资项目选择有何影响?今后的投资与筹资方式有何限制?
第三,将企业与同类相似条件企业比较,分析企业在把握经营机会方面,对社会贡献方面、社会声誉方面的差异,从中可分析出管理人员能力与企业运作机制水平方面的问题,看出企业在这方面的水平。目前,通常使用的分析方法可利用财务分析的方法,对企业偿债能力、盈利能力和抗风险能力做出评价,并找出存在的问题。
从以上三个方面分析出企业目前“价值”,即是目前在市场中的价格。
从经营前景的预测看:
第一,企业有无继续经营的机会,即企业的产品处于哪个寿命阶段,市场是否已趋饱和?企业自身实力如何,资产状况老化还是状况良好,企业处于成长期还是衰退期?企业自身的弱点能否应对得了未来经营环境的变化?这其中,要对企业即将面临的外部、内部影响环境的变化做出分析,并根据它们对企业的影响程度,分析出企业在目前的“实力”状况下受到影响后的结果,进而评估出企业未来收益状况。
第二,企业有无新的投资机会并有无可能把握住它?这主要根据企业人才资源及创新能力,以及自身资产状况及财务状况。这就需要分析企业面临的各类风险,比如未来投资机会的经营风险、财务风险、信息风险、法律风险、体制风险等诸多风险,从而得知企业未来盈利的来源大小。
在评估实务中,由于牵涉因素多,要把所有因素全部货币化或量化相当困难。因为虽然有的因素,比如社会的、政治的、经济的、道德的、心理的、人才素质等非经济因素越来越深刻地影响企业经营的各个方面,但确实没有什么成功的先例可以把它们的影响准确量化。因此在评价企业价值时,应该再将那些非量化或不可计量的影响因素对企业价值的影。向用评分或分数化方法间接量化,将其变为各类修正指标,然后再进行对企业价值的综合,全面的判断。
企业价值评估指标与标准体系框架可如图所示:

上图中,用以评价企业价值的指标有两类:
第一类是基本指标。即是能够明确反映企业目前资产价值状况的指标,比如无形资产的收益现值、有形资产的现市价或重置成本,企业目前盈利水平的效益状况。
第二类是修正系数指标。它是根据企业经营中的非定量影响因素对基本指标及对企业价值的影响程度,采用一定的方法,将以上方面的影响因素的变化对企业价值的影响,通过修正系数表现出来,修正基本指标,进而得到比较准确客观的企业价值评估值。
评价的标准可根据全国或同行业、同类企业的水平分类,一般可分为几级,如优、良、平均、低、差等。或以分数代表,然后再根据各影响因素的重要程度,设置不同的权数,来修正得出对企业价值水平的综合整体看法。
对修正系数及其评价标准框架的一点解释:
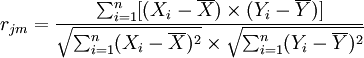
①在衡量企业无形资产价值时,以该资产在使用限期内所能创造的收益的现值为依据,这是国际上的常用作法。为了更确切地体现价值,我们设计了一个修正系数 A,这个修正系数A将把企业经营的水平对该无形资产的运用效果的影响反映出来。换句话说,经营水平高的企业将能更好地利用现有的无形资产。所以,修正系数 A可采用沃尔评分法或用我国1999年财政部对国企评分规则的办法计算出来的企业业绩综合分,为百分制。用它来修正企业目前估计或实际的无形资产的年收益。即:
目前年收益×修正系数A=平均未来年收益评估值
②无形资产的使用期限以合理的利用年限值为基础,再乘以修正系数 B,因为该项无形资产究竟可以用多久,很大程度上取决于本行业同类科技发展水平高低,如果科技发展速度快,则很有可能此项无形资产寿命缩短,或立即被取代。所以,修正系数B应向反方面取值。科技创新速度越快,修正系数B取值越小。
③修正系数C是用来修正有形资产价值的。因为同样的重置成本或变现净值在不同的企业中使用效果是不一样的,所以,
修正系数C=该企业资产使用效率/同行业同类资产使用效率
④企业商誉是指企业未来可能的经营机会创造的收益现值之总和。公式为:
未来收益现值之和=∑年收益期望值×(n年I为一定数值的年金现值系数)
其中:年收益期望值受未来可行方案收益的期望以及诸多因素的影响。表示为:
年收益期望值=未来收益期望值×修正系数D,而未来收益期望值=∑未来各种情况下收益值水平×各种情况发生之概率。
修正系数D:企业人才资源潜力水平×重要因素程度(50%)因素+技术创新开发成本占销售收入比重×重要因素程度(30%)+市场竞争后风险情况×重要因素程度(10%)+企业目前经营状况(评分值)×因素重要程度(10%)
其中,企业人才资源潜力水平可按用人条件、激励机制、人员结构几方面由专家打分评议。取百分制,其中用人条件、激励机制、人员结构可按不同行业选择合适的重要度选择权重。
技术创新开发成本占销售收入比重的高低很大程度上决定了企业未来的发展后劲。所以,应按其占收入比例给企业打分,在实务中,则要根据企业所在行业特点适当取值。
以上框架表明,企业价值不仅与企业目前所拥有的资产价值有关,而且与如何使用这些资产,以及企业采取的管理方针与方法密切相关,而这些又与企业的人才资源状况与管理决策者的才能及素质有关。所以,要对按单项资产评估出来的企业资产价值加以修正,以使其更能反映企业的真实价值水平。在评估中,修正系数的取值适当与否非常重要。其关键在于计算修正系数的方法是否科学、完善。
企业价值评估的特点
- 1、两种评估所确定的评估价值的含义是不相同的。
利用单项资产评估,是一种静态的反映方法。
将企业整体作为评估对象,是一种动态的反映方法。
- 2、两种评估所确定的评估价值的价值一般是不相等的。
美国价值评估理论专家科纳尔认为,企业的价值不仅反映资产的重置成本,而且必须包括十分重要的组织成本,即企业价值=资产重置成本+组织成本。
- 3、两种评估所反映的评估目的是不相同的。
如果企业的资产收益率与社会(更多的是与行业)平均资产收益率相同,则单项资产评估汇总确定的企业资产评估值应与整体资产评估值趋于一致;
如果企业资产收益率低于社会(或行业)平均资产收益率,单项资产评估汇总确定的企业资产评估值就会比整体企业评估值高;
反之,如果企业资产收益率高于社会(或行业)平均收益率,整体企业评估值则会高于单项企业评估汇总的价值,超过的部分则是企业商誉的价值。
企业价值评估的范围
- (一)企业价值评估的一般范围
一般范围即企业的资产范围。
这是从法的角度界定企业评估的资产范围。
从产权的角度,企业评估的范围应该是企业的全部资产。
- (二)企业价值评估的具体范围
在界定企业价值评估具体范围是应注意的问题:
首先,对于评估时点一时难以界定的产权或因产权纠纷暂时难以得出结论的资产,应划为“待定产权”,暂不列入企业评估的资产范围。
其次,在产权界定范围内,若企业中明显存在着生产能力闲置或浪费,以及某些局部资产的功能与整个企业的总体功能不一致,并企业可以分离,按照效用原则应提醒委托方进行企业资产重组,重新界定企业评估的具体范围,以避免造成委托人的权益损失。
再次,资产重组是形成和界定企业价值评估具体范围的重要途径。
资产重组对资产评估的影响主要有以下几种情况:
1、资产范围的变化。
2、资产负债结构的变化。
3、收益水平的变化
企业价值评估模型比较
企业价值评估是一项综合性的资产评估,是对企业整体经济价值进行判断、估计的过程,主要是服从或服务于企业的产权转让或产权交易。伴随着中国经济体制改革的深入和现代企业制度的推行,以企业兼并、收购、股权重组、资产重组、合并、分设、股票发行、联营等经济交易行为的出现和增多,企业价值评估的应用空间得到了极大的拓展,企业价值评估在市场经济中的作用也越来越突出。目前,企业价值评估方法主要有:资产价值评估法、现金流量贴现法、市场比较法和期权价值评估法等四种。
一、资产价值评估法
资产价值评估法是利用企业现存的财务报表记录,对企业资产进行分项评估,然后加总的一种静态评估方式,主要有账面价值法和重置成本法。
1、账面价值法
账面价值是指资产负债表中股东权益的价值或净值,主要由投资者投入的资本加企业的经营利润构成,计算公式为:目标企业价值=目标公司的账面净资产。但这仅对于企业的存量资产进行计量,无法反映企业的赢利能力、成长能力和行业特点。为弥补这种缺陷,在实践中往往采用调整系数,对账面价值进行调整,变为:目标企业价值=目标公司的账面净资产×(1+调整系数)。
2、重置成本法
重置成本足指并购企业自己,重新构建一个与目标企业完全相同的企业,需要花费的成本。当然,必须要考虑到现存企业的设备贬值情况。计算公式为:目标企业价值=企业资产目前市场全新的价格-有形折旧额-无形折旧额。
以上两种方法都以企业的历史成本为依据对企业价值的评估,最重要的特点是采用了将企业的各项资产进行分别股价,再相加综合的思路,实际操作简单一行。其最致命的缺点在于将一个企业有机体割裂开来:企业不是土地、生产设备等各种生产资料的简单累加,企业价值应该是企业整体素质的体现。将某项资产脱离整体单独进行评估,其成本价格将和它所给整体带来的边际收益相差甚远。企业资产的账面价值与企业创造未来收益的能力相关性极小。因此,其评估结果实际上并不是严格意义上的企业价值,充其量只能作为价值参照,提供评估价值的底线。
二、现金流量贴现法
现金流量贴现法又称拉巴鲍特模型法,是在考虑资金的时间价值和风险的情况下,将发生在不同时点的现金流量按既定的贴现率统一折算为现值再加总求得目标企业价值的方法。
三、市场比较法
市场比较法是基于类似资产应该具有类似价格的理论推断,其理论依是“替代原则”。市场法实质就是在市场上找出一个或几个与被评估企业相同或近似的参照企业,在分析、比较两者之间重要指标的基础上,修正、调整企业的市场价值,最后确定被评估企业的价值。运用市场法的评估重点是选择可比企业和确定可比指标。
首先在选择可比企业时,通常依靠两个标准:一是行业标准,一是财务标准。其次确定企业价值可比指标时,要遵循一个原则即可比指标要与企业的价值直接相关。通常选用三个财务指标:EBIDT(利息、折旧和税前利润),无负债净现金流量和销售收入。其中,现金流量和利润是最主要的指标,因为它们直接反映了企业盈利能力,与企业价值直接相关。
市场比较法通过参照市场对相似的或可比的资产进行定价来估计目标企业的价值。由于需要企业市场价值作为参照物,所以市场比较法较多地依赖效比现金流量贴现所需信息少。但假定,即“市场整体上对目标企法将失灵。在实异和交易案例的市场尚不完善,的使用受到一定现限制。
- 四、期权价值评估法
在某给定日期或固定价格购进或权价值来源于本础资产的价值超卖出期权才有收Scholes模型。
期权价值评估法下,利用期权定价模型可以确定并购中隐含的期权价值,然后将其加入到按传统方法计算的静态净现值中,即为目标企业的价值。期权价值评估法考虑了目标企业所具有的各种机会与经营灵活性的价值,弥补了传统价值评估法的缺陷,能够使并购方根据风险来选择机会、创造经营的灵活性,风险越大,企业拥有的机会与灵活性的价值就越高。但在研究中还存在一些需要解决的问题,例如在使用期权定价模型时并未对该模型的假设条件予以严格的检验。事实上,很多经济活动的机会收益是否符合几何或对数布朗运动规律,有待继续研究。在实务中很少单独采用该方法得到最终结果,往往是是在运用其他方法定价的基础上考虑并购期权的价值后,加以调整得出评估值。
总之,企业价值评估是以一定的科学方法和经验水平为依据的,但本质上是一种主观性很强的判断,在实践中,应该针对不同对象选用不同方法进行估价,必要的时候可以交叉采取多种方法同时估价。一般来说,评估企业价值需要两种技巧,第一是分析能力,既需要明白及应用数学模式去评估公司价值。第二也是更重要的,就是拥有良好的判断能力。很多时候数学模式均带有假设成分,很多资料如公司经营管理能力是不能量化的或没有足够数据去衡量,因此在运用数学模式所得到的企业价值只能作参考。由于目前估价目的十分狭窄,企业价值评估除了可以为产权交易提供一个合理的基础价格外,更重要的是重组前后的价值对比可以成为企业管理层是否进行战略重组的决策工具。
价值评估在西方国家获得了很大成功,正确推行以价值评估为手段的价值最大化管理,是使我国企业走出困境的必要条件。因此,无论是在理论上还是在实践上,探讨和研究企业价值评估方法以及合理运用都具有重要的意义。
企业价值评估的意义
企业价值评估是指把一个企业作为一个有机整体,依据其整体获利能力,并充分考虑影响企业获利能力诸因素,对其整体资产公允市场价值进行的综合性评估。作为整体资产的企业往往并不是所有单项资产的简单累加,而是在一定组织管理下按照生产经营中经济与技术逻辑关系形成的资产有机结合体。价值评估对企业并购的意义主要体现在三个方面:
(1)从并购程序看,一般分为目标选择与评估、准备计划、分开或协议并购实施三个阶段,其中目标选择与评估是并购活动的首要基本环节,而目标评估的核心内容是价值评估,这是决定并购活动是否可行的先决条件;
(2)从并购动机上看,并购企业一般是为获得管理、经营、财务上的协同效应,实现战略目标等,但在理论上只要价格合理,交易是可以成交的,因此双方对标的的价值评估是决定是否成交的基础,也是谈判的焦点;
(3)从投资者角度看,要并购企业交易价值有利于己方,但由于双方投资者信息掌握不充分,或者主观认识上存在偏差,因此,在并购过程中,需要对并购企业自身、目标企业及并购后的联合企业进行价值评估,三者既各自独立,又相互联系,缺一不可,共同构成了并购中的企业价值评估,对并购决策的成功起着至关重要的作用。
企业价值评估的体系分析案例分析
案例一:万科的企业价值评估的体系分析
一、万科企业股份有限公司背景介绍
万科企业股份有限公司是目前中国最大的专业住宅开发企业,成立于1984年。公司致力于通过规范、透明的企业文化和稳健、专注的发展模式,成为最受客户、最受投资者、最受员工欢迎,最受社会尊重的企业。凭借公司治理和道德准则上的表现,公司连续五年入选“中国最受尊敬企业”,连续第四年获得“中国最佳企业公民”称号。
产品上,万科已经形成稳定的产品线,具备行业领先水平。上海万科新里程项目作为工厂化生产的首个项目已经推向市场。住宅产业化的尝试非常有利于进一步降低项目成本,提高生产效率,契合万科做大众住宅产品的选择,一旦成功,将使万科获得较大的竞争优势。
万科1991年成为深圳证券交易所第二家上市公司,持续增长的业绩以及规范透明的公司治理结构,使公司赢得了投资者的广泛认可。过去十年,万科销售收入复合增长率为49.9%,净利润复合增长率为42.3%;最近三年,万科销售收入复合增长率达到93.7%,净利润复合增长率达到88.4%,基本每股收益复合增长率达到67.6%。公司在发展过程中两次入选福布斯“全球最佳小企业”;多次获得《投资者关系》、《亚洲货币》等国际权威媒体评出的最佳公司治理、最佳投资者关系等奖项。
至2007年末,万科全国市场占有率为2.1%,业务覆盖到以珠三角、长三角、环渤海三大城市经济圈为重点的二十九个城市。当年共销售住宅4.8万套,销售套数位居世界前茅,跻身全球最大的住宅企业行列。2008年,万科入选中国蓝筹地产企业。
1.万科企业股份有限公司预计实体现金流量
根据万科股份有限公司以前年度的合并资产负债表与合并利润表,得出公司的预计报表。由于本文做案例分析时该公司2008年年报尚未公布,所以本文选择2007年的数据作为基期数据。本文所用资料来源:万科官方网站、深圳证券交易所网站、证券之星网站、国研网和经济观察报。
(1)历史财务比率分析
通过分析万科股份有限公司2004年至2007年合并利润表与合并资产负债表,可以计算出以下财务比率。
万科公司历史财务比率计算表
| 2004 | 2005 | 2006 | 2007 | |
| 销售增长率(%) | 20 | 38 | 69 | 98 |
| 销售成本率(%) | 69 | 65 | 64 | 58 |
| 销售、管理费用/销售收入(%) | 9 | 9 | 8 | 8 |
| 折旧与摊销/销售收入(%) | 5 | 7 | 8 | 11 |
| 短期债务利率 | 5% | 5% | 6% | 6% |
| 长期债务利率 | 6% | 6% | 7% | 7% |
| 平均所得税税率 | 27% | 27% | 29% | 30% |
以2007年的数据为例,列示各项比率的计算过程。
销售增长率=(本期营业收入一上期营业收入)/上期营业收入=(35,526,611,301.94-17,918,331,517.79)/17,918,331,517.79=98%
销售成本率=营业成本/营业收入=20,607,338,964.44/35,526,611,301.94=58%
销售、管理费用/销售收入=(销售费用+管理费用)/销售收入=(1194,543,702.00+1,763,765,823.49)/35,526,611,301.94=0.08
由公式:EBIT(税前经营利润)=利润总额+财务费用=销售收入-销售成本-销售、管理费用-折旧与摊销,可以推出
折旧与摊销=(销售收入-销售成本-销售、管理费用)-(利润总额+财务费用)所以,折旧与摊销/销售收入=(35,526,61l,301.94—20,607,338,964.44-1194,543,702.00-1,763,765,823.49)-(7,641,605,685.33+359,500,074.40)/35,526,611,301.94=0.11
从2004年到2007年财务报表整体来看,公司各项财务指标呈现平稳增长的态势,营业收入、净利润等指标随着公司资产和规模的逐年递增而不断增长,营业成本的增长幅度小于营业收入,可以看出其规模优势逐渐显现。尤其2007年,公司业绩比以往年份增长更加迅猛,新项目的投资增幅更是惊人,达到197%。
从定性的角度来分析,万科1984年成立,1988年进军房地产,在品牌上意识很强。万科的价格一直处于市场的中高档次,非常注重小区硬件环境和人文环境的建设。“从客户角度出发”,不仅仅是房子卖出去后提高销售业绩,万科想的最多是在房子之后连续不断地再给客户提供一些服务。品牌本身还包括其它一些新的消费概念,比如住宅消费的创新、市场的研究等。万科的品牌战略就是在更多的城市加速推广万科的住宅小区,巩固万科已经树立的品牌。通过多年来牢固树立的品牌万科在同业中具有了一定的竞争优势。
该公司拥有的规模优势、良好品牌形象、充裕的资金等,都表明了万科目前是一个具有强大的实力和竞争力的公司,未来也必将在这个好的势头下继续成长壮大。
(2)实体现金流量的预测
竞争均衡理论认为,一个企业不可能永远以高于宏观经济增长的速度发展下去。因此,实务中的详细预测期通常为5-7年,很少超过10年。
万科2008年三季度的年报中指出,集团同区位、同类型房屋的成交价已有所下降,成交量也出现不同程度的萎缩。在一定程度上是出于国际、国内宏观经济因素的影响,但更重要的仍是行业自身的规律使然。在经历了2007年较为亢奋的快速上涨之后,市场必然需要一个理性回归的过程,并在调整完成后迎来新的发展阶段。
从历史经验来看,房地产行业在长期增长中经历短期的下调,这一情形并非中国独有。70年代初,日本房地产市场经过近20年的增长后,受国际国内经济环境的影响,也一度经历过较大调整,但短暂的下跌后,是十多年持续稳定的繁荣。从中可以清楚看到,尽管就短期而言,社会经济发展中的诸多因素均有可能影响市场一时的走势,但行业长期发展趋势仍取决于城市化的演进、经济的增长、人口结构以及居住模式变迁等基本要素,只要上述因素不发生根本变化,行业发展的基本趋势就不会动摇。这一点,在日本房地产市场近半个世纪的发展历程中已经得到充分验证。
对于还处在成长阶段的中国房地产行业来说,增长的历程显然远未步入尾声。因此,当前我们所面对的,并非因需求消失而行将走向衰落的市场,而是因前期过热而经历理性回归的市场。尽管国际、国内的宏观经济因素增加了本次调整的复杂性,调整的时间可能因此而变长,部分城市在短期内甚至可能出现过度调整,但住房市场的长期前景依然值得期待。随着住宅企业定价的合理化和真实自住需求的逐步启动,市场有望在更为理性健康的轨道上展开新一轮的发展和成长。
此外,万科公司作为房地产行业的领军企业,有着优秀的企业管理水平和颇具远见的战略选择和品牌价值,市场把控能力强,市场反应迅速,具有相当强的竞争力。
所以根据前面的分析,认为房地产行业仍有发展的空间。确定万科公司的预测期间为5年。2013年及以后年度为后续期。预计2008、2009年销售增长率为20%和19%左右,随着时间的累积,除了具有某种特殊因素的企业,一般企业不具有长期的可持续竞争优势,也由于受目前金融危机的影响,因此,比较保守地估计其销售增长率,预计2010、2011和2012年的销售增长率为15%、10%和5%。
另外,根据竞争均衡理论,后续期的销售增长率大体上等于宏观经济的名义增长率。如果不考虑通货膨胀因素,宏观经济增长率大多在2%-6%。绝大多数可以持续生存的企业,其销售增长率可以按宏观经济增长率估计n力。假设万科公司的永续增长率为3%。
(1)“销售成本”、“销售、管理费用”及“折旧与摊销”采用销售百分比法预计相关科目。相关比率已根据2004年至2007年的数据计算得出。随着销售收入的增长,销售成本、各项费用等也应当有相应的变化。
销售成本应随着销售收入的增加而有所增加,考虑到生产、建设的规模化以及技术熟练程度的提高,不应有较多增长。销售、管理费用预计在2007年的基础上略有提升。万科集团2007年年报中指出,截止2007年12月31日,本集团尚有已签合同(主要为建安与土地合同)未付的约定资本项目支出及投资款共计人民币140亿元,需在合同他方履行合同规定的责任与义务同时,若干年内支付。因此,预计未来几年万科公司折旧摊销有所增加。
(2)“经营利润”根据税前经营利润的计算公式:税前经营利润=销售收入-销售成本-销售、管理费用-折旧与摊销2007年,税前经营利润=35,526,611,301.94-20,607,338,964.44-2,958,309,525.49-3,959,857,052.28=8,001,105,759.73(元)税后经营利润=税前经营利润-经营利润所得税=8,001,105,759.73×(1-30%)=5,600,774,031.81(元)所得税税率按照新的会计准则的规定,改为25%,因此未来各年也按照25%的所得税税率估算。
因此,可以得出万科公司预计税后经营利润
万科公司预计税后经营利润表
(3)经营营运资本
一般来说,企业的经营营运资本基本是和企业的销售收入成正比的。而企业不断成熟,显现出来的规模效应,周转率的加快,以及企业相对上游供货商的实力增强而获得更多的应付账款等,都会致使企业的经营营运资本相对于销售额而减小。
因此,我们通过预测的万科集团的销售收入来估算公司经营营运资本的变化。
万科公司预计经营营运资本表
(4)资本支出
最后是对资本支出的估计。经营长期资产的估计同样采用销售百分比法。经营长期负债则根据以前年度数据进行预测,基本与以前年度持平。资本支出的计算公式为:资本支出=净经营长期资产增加+折旧摊销由此可以得出万科公司预计资本支出。
万科公司预计资本支出表
(5)实体现金流量根据以上数据,可以得出预测期以及后续期的实体现金流量。
实体现金流量=税后经营利润+折旧摊销一经营营运资本增加一资本支出万科公司预计实体现金流量如下表所示。
万科公司预计实体现金流量表
| 年份 | 2008 | 2009 | 2010 | 2011 | 2012 | 2013 |
| 税后经营利润 | 607505 | 722931 | 831371 | 842310 | 884425 | 910958 |
| 折旧与摊销 | 490267 | 583418 | 670931 | 770112 | 808617 | 832876 |
| 经营营运资本增加 | -58756 | 729006 | 684882 | 525076 | 288792 | 181939 |
| 资本支出 | 500056 | 664419 | 747029 | 828454 | 840705 | 853091 |
| 实体现金流量 | 656473 | -87076 | 70391 | 258892 | 563545 | 708804 |
万科公司2009年的实体现金流量为负,并不表示公司具有很差的回报水平,2008年三季度报告中指出,报告期内新增项目10个,这些新增项目的建设需要更多的资金,但是会增加未来的现金流量。
二、加权平均资本成本(WACC)估算
加权平均资本成本是计算现值使用的折现率。用来将所有投资者的未来现金流量转换为现值的折现率。企业的经营风险与财务风险越大,投资者要求的报酬率就会越高,折现率就会提高。加权平均资本成本(wACC)为企业不同融资成本的加权平均值。其计算公式如下:

加权平均资本成本(WACC)=税后债务成本X债务额占总资本比重+股权资本成本×股票额占总资本比重
(1)资本结构
根据万科企业股份有限公司2007年年报,其长期债务资本为17,400,961,234.85万元,权益资本为33,919,523,029.04万元。长期债务与权益的比为1/2。因此,未来资本结构采用相同比率。
(2)债务筹资成本估算
债务筹资成本是企业在为投资项目融资时所借债务的成本。债务筹资成本与市场的即期率以及企业的违约风险相关。另外,由于利息在税前支付,债务具有税收优势,与企业税率有关。
税后债务成本=税前债务成本X(1-所得税率)由于公司大多为一到三年贷款,所以选择3年期贷款利率5.4%作为债务筹资成本。税后债务成本=5.4%×(1-25%)=4.05%(3)股权资本成本估算。
资本资产定价模型能够比较准确地对风险进行具体定价,用该模型来计算股权筹资成本,其计算公式为:
股权资本成本=无风险利率+贝塔系数×(平均股票的要求收益率一无风险利率)1)无风险利率。
通常以国库券的收益率作为无风险收益率。因为持有国债到期不能兑付的风险很小,可以忽略不计;同时,长期国债波动性较小,我国由于市场化的利率尚未形成,而短期利率无法反映利率变动风险,长期国债与评估企业的现金流量期限更为一致。因此,选择长期国债利率作为无风险利率为宜。
采用5年期国债利率作为无风险利率,2008年发行的5年期国债利率的算术平均值计算得出为6.27%。
(2)风险价格
平均股票的要求收益率减去无风险利率表示的是投资者为补偿承担超过无风险收益的平均风险要求的额外收益,即风险价格。在一定时期内,市场风险价格会发生较大波动,较为合理的解决办法是采用一定期间的平均数,将采用算术平均数。
选取了深证综合指数2003年1月到2008年12月,共72个月的收盘指数,并用这些指数计算市场的月平均收益率。经计算,市场平均月收益率约为0.95%。计算过程如下表所示。
则市场年收益率=(1+0.95%)^12-1=12.01%那么,风险价格为:
风险价格=平均股票的要求收益率-无风险利率=12.01%-6.27%=5.74%3)贝塔系数(β值)。
13值衡量的是系统风险,它是一个相对数指标,代表企业特有的系统风险相对于市场(或行业)一般系统风险的比率。计算β值是计算普通股成本的关键。根据证券与股票指数收益率的相关系数、股票指数的标准差和股票收益率的标准差计算β值。万科公司股票月平均收益率为0.69%,市场月平均收益率为0.95%。计算过程如下表所示。
B值具体计算过程如下:
股票平均收益与市场平均收益的相关系数
。
市场收益率的标准差
。
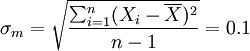
股票收益率的标准差σj = 0.1679。
。
由此可以计算出万科集团的股权资本成本为:
股权资本成本=6.27%+0.72×5.74%=0.40%
4)加权平均资本成本WACC。
最后,可以计算出万科集团的加权平均资本成本(WACC)为:
WACC=4.05%X(1/3)+10.40%×(2/3)=8.28%
万科公司股票月平均收益率计算表
| 日期 | 开盘价 | 收盘价 | Ri | 日期 | 开盘价 | 收盘价 | Ri |
| 2003-01 | 9.48 | 10.07 | 6.22% | 2006-01 | 4.40 | 4.93 | 12.05% |
| 2003-02 | 10.10 | 10.33 | 2.28% | 2006-02 | 4.96 | 5.46 | 10.08% |
| 2003-03 | 10.35 | 11.55 | 11.59% | 2006-03 | 5.46 | 6.55 | 19.96% |
| 2003-04 | 11.88 | 12.84 | 8.08% | 2006--04 | 6.55 | 6.23 | -4.89% |
| 2003-05 | 12.92 | 7.13 | -44.81% | 2006-05 | 6.28 | 5.97 | -4.94% |
| 2003-06 | 7.10 | 5.83 | -17.89% | 2006-06 | 5.97 | 5.65 | -5.36% |
| 2003-07 | 5.90 | 6.39 | 8.31% | 2006-07 | 5.80 | 5.54 | -4.48% |
| 2003-08 | 6.38 | 6.46 | 1.25% | 2006-08 | 5.58 | 6.90 | 23.66% |
| 2003-09 | 6.60 | 5.86 | -11.21% | 2006-09 | 6.93 | 7.57 | 9.24% |
| 2003-10 | 5.88 | 6.00 | 2.04% | 2006-10 | 7.68 | 8.19 | 6.64% |
| 2003-11 | 5.89 | 5.9l | 0.34% | 2006-11 | 8.20 | 11.98 | 46.10% |
| 2003-12 | 6.01 | 6.45 | 7.32% | 2006-12 | 12.06 | 15.44 | 28.03% |
| 2004-01 | 6.50 | 7.85 | 20.77% | 2007-01 | 15.70 | 15.31 | -2.48% |
| 2004-02 | 8.13 | 8.16 | 0.37% | 2007-02 | 15.OO | 14.74 | -1.73% |
| 2004-03 | 8.15 | 8.83 | 8.34% | 2007-03 | 14.77 | 16.59 | 12.32% |
| 2004-04 | 8.99 | 7.69 | -14.46% | 2007-04 | 16.53 | 18.08 | 9.38% |
| 2004-05 | 7.67 | 5.05 | -34.16% | 2007-05 | 18.68 | 19.41 | 3.91% |
| 2004-06 | 5.06 | 4.86 | -3.95% | 2007-06 | 19.55 | 19.12 | -2.20% |
| 2004-07. | 5.1l | 5.35 | 4.70% | 2007-07 | 19.00 | .28.30 | 48.95% |
| 2004-08 | 5.33 | 4.86 | -8.82% | 2007-08 | 28.30 | 33.80 | 19.43% |
| 2004-09 | 5.03 | 5.42 | 7.75% | 2007-09 | 33.84 | 30.20 | -10.76% |
| 2004-10 | 5.42 | 5.00 | -7.75% | 2007-10 | 30.98 | 38.93 | 25.66% |
| 2004-11 | 5.01 | 5.12 | 2.20% | 2007-1l | 39.00 | 31.55 | -19.10% |
| 2004-12 | 5.12 | 5.25 | 2.54% | 2007-12 | 31.48 | 28.84 | -8.39% |
| 2005-01 | 5.22 | 5.68 | 8.81% | 2008-01 | 29.02 | 26.05 | -10.23% |
| 2005-02 | 5.70 | 5。70 | 0.00% | 2008-02 | 26.18 | 23.25 | -11.19% |
| 2005-03 | 5.70 | 5.52 | -3.16% | 2008-03 | 23.11 | 25.60 | 10.77% |
| 2005-04 | 5.53 | 5.90 | 6.69% | 2008-04 | 25.58 | 24.37 | -4.73% |
| 2005-05 | 5.90 | 4.65 | -21.19% | 2008-05 | 24.60 | 19.75 | -19.72% |
| 2005-06 | 4.65 | 3.14 | -32.47% | 2008-06 | 19.5l | 9.01 | -53.82% |
| 2005-07 | 3.23 | 3.84 | 18.89% | 2008-07 | 8.22 | 8.50 | 3.41% |
| 2005-08 | 3.88 | 3.66 | -5.67% | 2008-08 | 8.46 | 7.08 | -16.31% |
| 2005-09 | 3.65 | 3.59 | -1.64% | 2008-09 | 6.99 | 6.53 | -6.58% |
| 2005-10 | 3.86 | 3.84 | -0.52% | 2008-10 | 6.03 | 5.88 | -2.49% |
| 2005-11 | 3.84 | 3.95 | 2.86% | 2008-11 | 5.82 | 6.82 | 17.18% |
| 2005-12 | 3.80 | 4.3l | 13.42% | 2008-12 | 6.82 | 6.50 | -4.69% |
市场月平均收益率计算表
| 日期 | 月初开盘 | 月末收盘 | Rm | 日期 | 月初开盘 | 月末收盘 | Rm |
| 2003-01 | 2743.21 | 3051.21 | O.1035 | 2006-01 | 2873.53 | 3242.35 | O.1008 |
| 2003-02 | 3048.80 | 3057.24 | 0.0112 | 2006-02 | 3249.81 | 3351.64 | 0.0246 |
| 2003-03 | 3058.27 | 3101.85 | O.0171 | 2006-03 | 3355.56 | 3516.40 | 0.0257 |
| 2003-04 | 3105.28 | 3260.75 | 0.0127 | 2006-04 | 3524.16 | 3848.11 | 0.0929 |
| 2003-05 | 3264.93 | 3503.69 | 0.0531 | 2006-05 | 3872.80 | 4292.10 | O.1734 |
| 2003-06 | 3502.68 | 3224.80 | 0.0776 | 2006-06 | 4272.35 | 4301.66 | 0.0388 |
| 2003-07 | 3223.06 | 3318.41 | -O.0147 | 2006-07 | 4302.20 | 3946.90 | .0.0645 |
| 2003-08 | 3319.22 | 3192.36 | 0.0237 | 2006-08 | 3941.49 | 4178.84 | 0.0399 |
| 2003-09 | 3194.26 | 3054.89 | -0.0439 | 2006-09 | 4183.53 | 4326.78 | 0.0405 |
| 2003-10 | 3056.17 | 3167.33 | -0.0260 | 2006-10 | 4366.27 | 4621.98 | 0.0094 |
| 2003-11 | 3161.52 | 3267.93 | 0.0185 | 2006-1l | 4630.35 | 5667.00 | O.1098 |
| 2003-12 | 3274.83 | 3479.79 | O.0185 | 2006-12 | 5692.46 | 6647.14 | 0.1071 |
| 2004-01 | 3473.35 | 3716.87 | 0.0707 | 2007-01 | 6730.12 | 7632.94 | 0.1806 |
| 2004-02 | 3803.68 | 3919.92 | 0.0736 | 2007-02 | 7513.44 | 8039.70 | 0.1379 |
| 2004-03 | 3925.77 | 4060.14 | 0.0358 | 2007-03 | 8075.34 | 8549.20 | O.1152 |
| 2004-04 | 4067.50 | 3613.17 | -O.1122 | 2007-04 | 8575.77 | 10865.88 | 0.2853 |
| 2004-05 | 3626.31 | 3577.65 | 0.0185 | 2007-05 | 11100.60 | 12944.23 | 0.0941 |
| 2004-06 | 3582。47 | 3275.85 | -O.1154 | 2007-06 | 12954.76 | 12546.45 | -0.0922 |
| 2004-07 | +3274.49 | 3283.37 | -0.0064 | 2007-07 | 12492.71 | 15199.56 | 0.2054 |
| 2004-08 | 3277.37 | 3175.79 | -0.0500 | 2007-08 | 15259.35 | 17872.1l | 0.1252 |
| 2004-09 | 3176.75 | 3453.91 | 0.0659 | 2007-09 | 17988.33 | 18864.55 | 0.0421 |
| 2004-10 | 3466.09 | 3216.35 | -0.0582 | 2007-10 | 19287.60 | 19531.16 | -0.0635 |
| 2004-11 | 3198.24 | 3226.01 | 0.0255 | 2007-11 | 19554.58 | 15637.66 | -0.1561 |
| 2004-12 | 3227.69 | 3067.57 | -0.0770 | 2007-12 | 15580.23 | 17700.62 | 0.1734 |
| 2005-01 | 3051.23 | 3045.48 | 0.0534 | 2008-0l | 17731.84 | 15857.71 | .0.0959 |
| 2005-02 | 3045.11 | 3376.32 | O.1076 | 2008-02 | 15837.87 | 15823.88 | 0.0495 |
| 2005-03 | 3373.67 | 3170.35 | -0.0952 | 2008-03 | 15722.32 | 13302.14 | -0.1971 |
| 2005-04 | 3168.78 | 3156.67 | -0.0437 | 2008-04 | 13274.73 | 13504.89 | 0.0034 |
| 2005-05 | 3159.35 | 2801.66 | 0.0770 | 2008-05 | 13673.58 | 12048.20 | -0.0652 |
| 2005-06 | 2801.11 | 2760.23 | -0.0051 | 2008-06 | 11999.94 | 9370.80 | -0.2326 |
| 2005-07 | 2749.92 | 2887.57 | -0.0198 | 2008-07 | 9397.31 | 9470.30 | 0.0418 |
| 2005-08 | 2886.74 | 2950.43 | 0.0974 | 2008-08 | 9420.72 | 8004.20 | -0.1987 |
| 2005-09 | 2957.54 | 2903.11 | 0.0092 | 2008-09 | 7954.00 | 7559.30 | -0.0627 |
| 2005-10 | 2902.21 | 2662.29 | -0.058l | 2008-10 | 7406.02 | 5839.30 | -0.2200 |
| 2005-11 | 2667.55 | 2676.85 | 0.0038 | 2008-11 | 5794.16 | 6658.50 | O.1523 |
| 2005-12 | 2675.23 | 2863.61 | 0.0452 | 2008-12 | 6634.59 | 6485.50 | 0.0297 |
现金流折现法估算万科集团企业价值。
加权平均资本成本为8.28%的1到5年的复利现值折现系数如下表所示:
复利现值折现系数表
| 年份 | 2008 | 2009 | 2010 | 2011 | 2012 |
| 折现系数 | 0.9235 | 0.8529 | 0.777 | 0.7275 | 0.6718 |
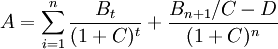
首先,估算万科集团从2013年开始的后续期现值。可以采用以下公式计算:
。
A——实体价值。
B——实体现金流量。
C——加权平均资本成本。
F——现金流量。
D——永续增长率。
后续期终值=2013年F/(C-D)
=708,804/(8.28%--3%)=13,424,318。18(万元)
后续期现值=13,424,318.18×0.6718=9,018,456.96(万元)
然后,根据以上计算出的预测期现金流量得出预测期的现值
E=/sumF/timesG=656,473/times0.9235+(-87,076)/times0.8529+70,391/times0.7877+258,892/times0.7275+563,545/times0.6718=1,154,365.97(万元)。
E——预测期现值。
G——折现系数。
以上的参数确定了之后,就可以对企业价值进行评估,企业价值=1,154,365.97+9,018,456.96=10,172,823(万元)现金流量折现法评估的万科企业股份有限公司的企业价值为10,172,823万元。接着运用市场法评估该公司的企业价值。
三、相对价值法估算万科企业股份有限公司企业价值
1.可比企业的选择
运用相对价值法对万科企业股份有限公司进行评估,首先需要解决可比公司的问题。主要从房地产企业中选择。2008年评选的蓝筹地产企业恰好可以作为选择的依据。
2008年蓝筹地产企业由经济观察报、正略均策机构、国务院发展研究中心、中国社科院等共同参与评选得出。其评选的指标体系如下:
(1)蓝筹地产的界定绩优、稳定、规模共同组成了蓝筹地产的概念。绩优主要体现在企业有较高李妍企业价值评估应用研究——基于万科企业股份有限公司35的盈利能力;稳定表明企业波动性小,持续增长能力强,业绩稳定;规模表示企业规模大,市场占有率高。
(2)系统评价参选企业综合实力,财务数据与经营管理基本面相结合蓝筹地产评选中系统地对房地产企业综合实力进行了全面评价,具体涉及到房地产企业的主营收入、总资产、净利润、增长率等多项经营、财务方面的相关指标。
但是蓝筹地产又不是简单地通过财务数据对房地产企业进行排名次,而是通过综合的评价体现出社会对企业价值的认可,因此在评价指标体系上更为全面,还增加了社会责任、企业风险等多项指标,更加系统的体现出企业综合实力。
(3)动态研究企业发展趋势,稳定与增长潜力相结合当前国内房地产行业处在快速的发展阶段,还要考虑到企业在未来市场发展中的潜力,因此在指标中既有资产负债率、持有物业比率等抗风险指标,同时也有收入增长率、土地储备面积等发展潜力指标。
蓝筹地产的评选既考虑了各房地产企业的财务指标,又综合了企业的发展潜力等非财务因素,与可比企业的选择标准比较接近,因此,选择2008年评选的蓝筹地产企业中的一些上市公司作为可比企业。
2.行业内相似企业市盈率
采用市盈率模型评估万科企业股份有限公司企业价值。
从2008年评选的中国蓝筹地产企业中选出9家作为可比公司。市盈率指标为2009年3月中旬数值,通过谷歌财经获得。
可比公司市盈率
| 公司名称 | 市盈率 | 均值 |
| 保利地产 | 22.41 | |
| 招商地产 | 22.03 | |
| 华润置地 | 21.47 | |
| 金地集团 | 15.64 | |
| 首创置业 | 4.30 | |
| 远洋地产 | 12.28 | |
| 碧桂园 | 6.80 | |
| 沿海家园 | 1.74 | |
| 中海地产 | 16.63 | 13.7 |
9家公司的市盈率算术平均值为13.7,作为评估的依据。
3.股价平均法估算
2008年9月30日年报公布的前三季度净利润比2007年同期增长26%,但是考虑到2008年特殊的市场环境,以及2007年亢奋的增长,保守估计2008年净利润接近2007年,为500,000万元。根据公式计算万科企业价值。
权益价值=2008年净利润×平均市盈率=500,000×13.7=6,850,000(万元)
企业价值=权益价值/(2/3)=6,850,000/(2/3)=10,275,000(万元)
资本结构中,权益价值所占比例为2/3。运用市盈率模型评估万科股份有限公司的企业价值为10,275,000万元。
四、敏感性分析调整评估结果
运用市盈率法评估万科集团企业价值较为粗略,仅作为参照。现金流量折现法评估的万科企业价值为10,172,823万元,与市盈率法评估的10,275,000万元相差不多,说明评估结果比较合理,在误差范围之内。最后,运用敏感分析,对现金流量折现法评估过程进行略微调整,以求得到更加精确的评估结果。
由于销售收入是现金流量法预测的关键因素,因此主要对该因素做出调整。结合相对价值法的评估结论,运用Excel电子表格多次调整核心因素,在相关范围内得到最优值。经调整后,该公司实体现金流量如下表所示。
调整后万科公司实体现金流量表
| 年份 | 2008 | 2009 | 2010 | 2011 | 2012 | 2013 |
| 税后经营利润 | 607505 | 722931 | 838600 | 849634 | 892116 | 918879 |
| 折旧与摊销 | 490267 | 583418 | 670931 | 770112 | 808617 | 832876 |
| 经营营运资本增加 | -58756 | 729006 | 730541 | 529642 | 291303 | 183521 |
| 资本支出 | 500056 | 664419 | 752102 | 828961 | 840984 | 853267 |
| 实体现金流量 | 656473 | -87076 | 26888 | 261143 | 568446 | 714967 |
调整后的企业价值为:714,%7/(8.28%-3%)×0.6718+1,125,028.76=10,221,901(万元)
因此,评估的万科企业股份有限公司的企业价值最终结果为10,221,901万元。相对于只用现金流折现法单一的方法评估企业价值来说,经调整后的评估思路计算出的评估值更具有说服力。从上述两种方法的评估过程来看,现金流折现评估方法更多的是从企业本身出发,在估计企业的增长率和贴现率的时候,包含了行业的发展情况。而相对价值法更多地是从行业出发,利用行业平均市盈率来表现企业价值,过多地忽略了企业与行业中其他企业的差异。这两种定量分析模型都具有一定的客观性和科学性,但也是建立在一些假设的基础之上,合理的误差是不可避免的。
进行企业价值评估,并不是为了获得一个计算的数值,更重要的是通过评估,帮助投资者和管理层做出决策,实行以价值为基础的管理。
从根本上决定企业价值的是经营活动创造的现金流量,而现金流量的多少又取决于投资决策的质量。因此,投资决策是根本意义上的、第一位的财务决策,企业管理者应寻找适合企业长远发展,利于促进企业价值提升的项目。筹资决策、营运资本政策等是次生的、依附于投资决策的财务决策,应根据企业的投资决策做出选择,形成一套适合企业自身的财务体系。
