米勒模型
米勒模型(Miller Model)或称:回归的MM理论——同时考虑了公司所得税和个人所得税的MM模型
米勒模型概述
考虑公司税的MM模型包括了公司赋税因素,但却没有考虑个人所得税的影响。l976年米勒在美国金融学会上提出了一个把公司所得税和个人所得税都包括在内的模型来估算负债杠杆对公司价值的影响。
该模型用个人所得税对修正的MM理论进行了校正,认为修正的MM理论高估了负债的好处,实际上个人所得税在某种程度上抵消了个人从投资中所得的利息收入,他们所交个人所得税的损失与公司追求负债,减少公司所得税的优惠大体相等。于是,米勒模型又回到最初的MM理论中去了。
米勒模型的内容
设:TC为公司税率,TS为个人股票所得税,TD为债券所得税。
这里需要注意的是:股票收益包括股利和资本利得两个部分,所以T;为加权平均的股利和资本利得税率;所有的债券收入均为利息,利息按个人利息的最高税率课税。
MM理论的所有假设不变,在考虑公司和个人所得税的情况下,无负债企业的公司价值为:

上述公式中,分子表明无负债企业的收入在扣除公司所得税和投资者的股本所得税后的公司净利。很明显,与不考虑个人所得税时的模型相比,公司净利变小了,个人赋税降低了投资者的实际可得收入,在其他条件不变的情况下,这些课税会降低无负债企业的价值。

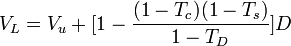
公式就是估算有负债企业价值的米勒模型。米勒模型有几个十分重要的含义:
(1)
代表负债杠杆效应,即负债所带来的公司价值的增加额,它相当于仅考虑公司税时MM模型中的TD;
(2)如果忽略所有的税率,则上式的结果与MM无公司税时的情形一样;
(3)如果忽略个人所得税,即TS = TD = 0,则上式与MM公司税模型相同;
(4)如果有个人所得税,但TS = TD,与MM公司税模型也相同。
米勒模型案例分析
案例一:米勒模型的案例分析
根据企业借款可以产生节税利益与个人拥有债权获取利息收入后要多缴个人所得税的矛盾,建立了米勒模型:Vg=Vu
其中:Vg——有负债公司的市价
Tc——公司所得税率
Td——债权收益税率
Vu——无负债公司的市价
Te——股权收益税率
D——负债的市价
从上述模型中可以看出:
当>0时,企业负债融资可增加企业价值。
具体地说.当债权收益税率为O或股权收益税率大于或等于债权收益税率时。该不等式显然成立,此时企业负债融资可增加企业的总价值;当股权收益税率低于债权收益税率且债权收益税率为非累进税率时,如果此时不等式仍然成立,那么企业负债融资可增加企业价值;当股权收益税率低于债权收益税率且债权收益税率为累进税率时。如果此时不等式仍然成立。那么要使投资者愿意购入债权。企业只有提高债权的利率.使投资者购人债权获得的课税后收益大于或等于购买股权并进行风险因素调整后获得的课税后收益。
当企业负债融资越多,投资者的利息收入越高。课税等级也越高。税负越来越重。最后Td的升高使>0不再成立,此时企业负债融资产生的节税收益已不能抵补负债的利息开支,此时企业就会放弃负债融资.否则企业的总价值就会下降。这样企业负债与股权的均衡状态就形成了.这个均衡状态是由企业所得税率、债权收益税率,股权收益税率以及投资者的课税等级所决定的。
即当边际节税利益等于边际个人所得税时,负债比处于均衡状态。
(一)债权报酬的个人所得税税率发生变化
假设股权报酬的个人所得税税率20%及企业所得税税率30%,保:t-t不变,债权报酬个人所得税税率依次为1O%、44%,50%,代入1-(1-Tc)×(1-Te)/(1-Td),有:
1-(1-30%)×(1-20%)/(1-10%)=1-70%×80%÷90%=0.38
1-(1-30%)×(1-20%)/(1-10%)=1-70%×80%÷56%=0.1-(1-30%)×(1-20%)/(1-50%)=1-70%×80%÷90%=-0.12根据米勒模型可知,当>0时,负债融资可增加企业价值:<0时,负债融资会减少企业价值。假设.当股权报酬个人所得税税率2O%,企业所得税税率30%,债权报酬个人所得税税率为1O%时,使>0成立,拥有负债的公司价值比没有负债的公司价值小:当股权报酬个人所得税税率20%,企业所得税税率30%,债权报酬个人所得税税率为44%时,使=0成立,则拥有负债的公司价值与没有负债的公司价值相等.此时,税收屏蔽作用消失。
(二)股权报酬的个人所得税税率发生变化
假设债权报酬的个人所得税税率20%及企业所得税税率30%保持不变,股权报酬的个人所得税税率依次为O、20%、50%,代入1-(1-Tc)×(1-Te)/(1-Td),有:
1-(1-30%)×(1-0%)/(1-20%)=1-70%×1÷80%=0.125
1-(1-30%)×(1-20%)/(1-20%)=1-70%×80%÷80%=0.3
1-(1-30%)×(1-50%)/(1-20%)=1-70%×50%÷80%=0.5625
根据米勒模型可知,在债权报酬个人所得税税率20%,企业所得税税率3O%,股权报酬个人所得税税率依次为O、20%、50%的情况下,可使>0成立,故拥有负债的公司价值比没有负债的公司价值大。这表明,只要有债权报酬个人所得税和企业所得税存在,无论是否存在股权报酬的个人所得税,负债经营对企业都有利,都会增加企业价值。
(三)企业所得税税率发生变化
假设债权报酬和股权报酬的个人所得税税率都保持20%不变.企业所得税税率依次为O、30%、50%,代入1-(1-Tc)×(1-Te)/(1-Td),有:
1-(1-0%)×(1-20%)/(1-20%)=1-80%÷80%=0
1-(1-30%)×(1-20%)/(1-20%)=1-70%×80%÷80%=0.125
1-(1-50%)×(1-20%)/(1-20%)=1-50%×80%÷80%=0.5
根据米勒模型可知,当债权报酬个人所得税税率20%,股权报酬个人所得税税率20%,企业所得税税率为O时,=0成立.拥有负债的公司价值和没有负债的公司价值相等;当债权报酬个人所得税税率20%,股权报酬的个人所得税税率20%,企业所得税税率为30%或50%时,>0都成立.拥有负债的公司价值比没有负债的公司价值大.在这种情况下,负债都增加了企业价值。
综上所述,在一定条件下,税收屏蔽效应不会被个人所得税完全抵消,削减后的税收屏蔽效应是可以发挥作用的。
