MM模型
MM模型(Modigliani Miller Models,米勒一莫迪利安尼模型,公司资本结构与市场价值不相干理论)
MM模型的含义
MM理论是莫迪格利安尼(Modigliani)和默顿·米勒(Miller)所建立的公司资本结构与市场价值不相干模型的简称。
美国经济学家莫迪格利安尼和米勒于1958年发表的《资本成本、公司财务和投资管理》一书中,提出了最初的MM理论,这时的MM理论不考虑所得税的影响, 得出的结论为企业的总价值不受资本结构的影响。此后,又对该理论做出了修正,加入了所得税的因素,由此而得出的结论为:企业的资本结构影响企业的总价值, 负债经营将为公司带来税收节约效应。该理论为研究资本结构问题提供了一个有用的起点和分析框架。
MM定理的基本假设
MM定理的基本假设有:
第一,资本市场是完善的,即所有的市场主体均可方便地获取所需要的各种相关信息。
第二,信息是充分的、完全的,不存在交易费用和成本。
第三.任何一种证券均可无限分割。投资者是理性经济人,以收益最大化为投资目标。
第四,公司未来平均预期营业收益以主观随机变量表示。投资者具有一致性预期,对每一公司未来息前税前收益的概率分布及期望值有相同的估计。而且,未来各期预期营业收益的概率分布的期望值与现期的相同。
第五,所有债务都是无风险的。个人和机构都可按照无风险利率无限量地借入资金。而且,不存在公司所得税。
MM理论的修正
MM理论的发展经历了不断修正的过程,由完善资本条件下的MM理论逐渐形成了含公司税的MM理论、含个人税的MM理论以及权衡理论。
(一)完善资本条件下MM理论
莫迪格利安尼(Modigliani)和米勒(Miller)对完善的资本市场做出了如下假设:一是不存在税收,二是市场是没有矛盾冲突的,不存在交易成本,三是直接破产成本间接破产成本是不存在的,四是个人和公司的借贷利率相同。在完善资本市场的假设条件下,莫迪格利安尼(Modigliani)和米勒(Miller)认为公司的价值不受财务杠杆作用的影响,杠杆公司的价值VL等于无杠杆公司的价值VU,这就是著名的MM命题I(无税)的基本思想,即任何公司的市场价值与其资本结构无关,企业的市场价值只由预期收益的现值水平决定。
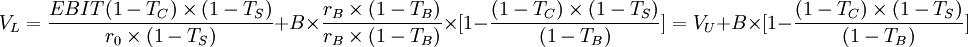
(二)含公司税的MM理论
在完全资本市场下不存在税收,所以公司的价值与债务无关,但是在考虑公司税的情况下,债务融资就有一个重要的优势,因为公司支付的债务利息可以抵减应纳税额,而现金股利和留存收益则不能。这样,当存在公司税时,公司的价值就与其债务正相关。MM命题Ⅰ(含公司税)有如下结论:
VL = VU + PV
PV表示利息节税收益的现金流量现值。一般的假设是利息节税收益的风险与利息支出的风险相同,于是就可以用债权人的期望收益率(即债务成本)来进行折现。经过计算PV等于负债B与公司所得税T的乘积,即TB。
由于节税收益随债务额的增大而增加,那么公司便可以通过用债务替代权益来增加公司的总现金流量并提高公司价值。
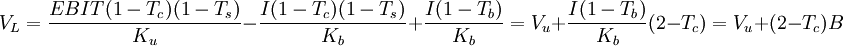
(三)含个人税的MM理论
如果考虑到个人税,公司的目标就不再是仅仅最小化公司的纳税额,而是试图最小化由公司收入引起的所有税款。个人税包括债权人和股东个人所缴纳的税款。
若股东的个人税率为TS,债权人的个人税率为T_B,那么在考虑公司税和个人税的情况下,杠杆公司的股东所获得的现金流量为:
,杠杆公司的债权人所获得的现金流量为:
。因此,所有投资者得到的税后总现金流量是:

通过变形可以得到:

该式中的第一项是公司税和个人税后的无杠杆公司的现金流量,计算其现值时应用股东的个人税后的无杠杆公司的权益资本成本,而且该现值为无杠杆公司的现值。第二项是扣除所有税收因素之后的节税收益,应使用债权人个人税后的债务资本成本来折现。这样,无杠杆公司的价值加上利息节税收益的现值即为杠杆公司的价值,即:

以上就是考虑了公司税和个人税的MM命题。
(四)权衡理论
含公司税的MM理论认为,债务公司提供了税收优惠。然而,对债务进行还本付息也是公司的责任,如果公司经营不善而导致未能履行对债权人的承诺或者出现偿债困难,就会陷入财务困境,财务困境会使公司的经营变得更加困难,甚至导致公司破产。假如投资者知道公司的负债经营会使其陷入财务困境这一情况,那么他们就会变得很担心,而这一担心马上又会引起公司股票价格的波动,在考虑财务困境的情况下,公司价值由三部分组成,即:
公司价值=完全权益融资的公司价值+利息节税收益的现值-财务困境成本的现值
财务困境成本包括直接的财务困境成本和间接的财务困境成本。直接财务困境成本是指公司在发生财务困境时的现金流出量,包括法律成本和管理成本。间接财务困境成本是随着公司负债的增加和违约风险的提高而上升的,从而导致公司发生财务困境的可能性增大。
考虑到利息的节税收益与财务困境成本,那么公司在进行融资决策时候就会在这两者之间进行一次权衡。当公司的资本结构由完全权益转向少量债务时,公司陷入财务困境的概率很小,因而财务困境成本的现值也很小。然而,随着债务的增多,财务困境成本的现值也开始增大,在某一点,因债务增多引起的财务困境成本现值的增加正好等于节税收益现值的增加,而这一点就是使公司价值最大化的负债比率。在这一点之后,财务困境成本的增长快于节税收益,从而使公司价值因财务杠杆的进一步提高而开始减少。总的看来,资本结构的权衡理论说明了适度负债比率的合理性。如果企业负债过多,则必须通过发行股票,限制现金股利或者变卖资产来筹集资金以调整资本结构。
MM理论的发展
MM理论的发展大致经历了3个阶段:
1、MM的无税模型。
最初的MM模型不考虑税收。该模型有两个基本命题:
命题一:负债经营企业的价值等同于无负债企业的价值。公式为:VL=Vu,VL表示负债企业的价值,Vu表示无负债经营企业的价值。当公司增加债务时,剩余权益的风险变大,权益资本的成本也随之增大,与低成本的债务带来的利益相抵消,因此,公司的价值不受资本结构影响。
命题二:负债企业的权益资本成本等于处于同一风险等级的无负债企业的权益资本成本再加上与其财务风险相联系的溢价,而风险溢价的多寡则视负债融资程度而定。
即KS=Ku+RP=Ku+(Ku-Kb)(B/S),
KS为负债企业的股本成本Ku为无负债企业的股本成本;RP为风险报酬,B是债务的价值,S是权益的价值。
2、MM的公司税模型。
1963年莫迪格安尼和米勒发表了《公司所得税和资本成本:一种修正》一文,放宽了其初始模型的假设条件,首次将公司税引入MM定理,并在此基础上重新得出两个命题:
命题一:无负债公司的价值等于公司税后企业的现金流量除以公司权益资本成本,负债经营公司的价值等于同类风险的无负债公司的价值加上减税收益(税率乘以债务的价值)。公式为:VL=Vu+TB,是公司税率。命题一意味着,考虑了公司所得税后,债经营时的公司价值要高于未负债经营时的公司价值,且负债越多,业的价值越高;当企业负债达到100%时,企业的价值达到最大。
命题二:负债经营公司的权益资本成本等于同类风险的无负债公司的权益资本成本加上风险报酬,风险报酬则取决于公司的资本结构和所得税率。公式为:
KS=Ku+(Ku-Kb)(1-T)(B/S)。
命题二表示在考虑了公司所得税后,尽管权益资本成本还会随着负债程度的提高而上升,不过其上升幅度低于不考虑公司所得税时上升的幅度。此特性加上负债节税的利益,产生了命题一的结果:企业使用的负债越多,它的加权平均资本成本就越低,企业的价值就越高。
3、米勒模型。
1976年,米勒在美国金融学会所做的一次报告中提出了一个把公司所得税和个人所得税都包括在内的模型来估计负债杠杆对企业价值的影响,即所谓的“米勒模型”。公式为:
V L=V u+×B,
其中Ts是股票收入的个人所得税率,TD是利息收入的个人所得税率。米勒模型的结果表明,MM公司税模型高估了企业负债的好处,因为个人所得税在某种程度上抵消了企业利息支付的节税利益,降低了负债企业的价值。不过,同公司税模型相似,米勒模型的结论是100%负债时企业市场价值达到最大。
MM理论的局限性
1.基本假设过于苛刻。
MM理论的基本假设过于苛刻,且与现实差距过大,许多假设条件在现实生活中并不存在或无法实现。如MM理论假设个人和企业可以同一利率借款,并可相互替代。但实际上,个人借款远比企业借款成本高,且负无限责任,个人举债风险远大于企业。MM理论假定交易成本为零,但实际运行中,各类交易费用不可避免,资本市场的套利活动也因此受到限制。
2. MM理论的分析缺乏动态性。
MM理论主要是从静态角度分析,未考虑到外界经济环境与企业自身生产经营条件变化对资本结构的影响。事实上,影响资本结构的诸多因素都是变量。譬如,当整个社会经济由繁荣步入衰退时,企业即应适当减少负债,以减轻企业承受的风险。
3.无实证检验的支撑。
国内外学者对影响资本结构的因素及最优资本结构的构成做了大量的实证研究,但结果发现相关变量的解释效果并不明显,也就是说,实证检验的结果并不能给MM理论以有力的支持,这是MM理论一个较严重的缺陷。
MM理论在我国的适用性研究
由MM理论的分析可知,税收节约价值与公司所得税税率相关。公司所得税率越高,企业由于债权融资所支付利息的税盾作用就越大。因此,公司所得税率越高的国家,企业应更倾向于债权融资,而股权融资倾向相对较低;公司所得税率低的国家,企业债权融资倾向相对较低,股权融资倾向相对较高。
从我国的情况来看,我国的企业所得税率偏高,企业理应倾向于债权融资。但是,事实上并非如此,我国债权融资的比重远远小于股权融资比重。要解释这种现象,必须从我国的实际情况加以分析。
首先,我国缺乏MM理论作用的机制。根据MM理论的基本假设,个人和机构投资者可以在资本市场上随意进行套利活动。在西方国家有相当发达的资本市场,有广泛的筹资渠道和较多的筹资方式可供选择,套利机制通常能发挥作用。然而我国市场机制尚未健全,资本市场还不发达,融资形式有限,且约束条件也较多,这就使套利活动难以进行,MM理论缺乏作用的机制。
其次,MM理论的税盾效益在我国作用很小。我国的税收以流转税为主,税收中80%主要来自增值税、消费税等,所得税仅占20%左右。比起西方国家占税收80%左右的所得税,靠所得税来取得节税效益,在我国收效甚微。
最后,MM理论的提出是以完善的金融市场为前提。西方有着较完善的金融市场,企业可以自由选择市场上的各种资金来源,市场上各投资主体可自由选择投资对象。而我国资本市场尚不健全,债券筹资受到严格管制。与发达国家内部融资优先、债务融资次之,权益融资最后的排序方式不同,我国众多的上市公司则是尽量避免债务融资。因为在我国,即使是上市公司也无法自由选择融资方式,融资成本和风险都相对较高,而绝大部分上市公司的效益比较差,缺乏内部融资能力。而且,较之股票市场,我国的债券市场更加不成熟,企业几乎没有通过发行债券融资的机会。所以说,西方的理论在我国的具体实践过程中并不完全适用,我国上市公司还应当结合经营环境的变化和企业的实际情况选择融资方式。
虽然目前我国的现实情况与MM理论相悖,但随着我国资本市场的发展,企业的融资行为将会逐渐符合MM理论的分析。因此,在MM理论的基础上,借鉴西方经济学家对MM理论发展的思路和方法,对我们研究中国企业的资本结构尤其是国有企业资本结构、国有股等问题具有很大的指导意义。
MM模型案例分析
案例一:基于MM模型的税收效应分析
企业是资本的载体,资本结构则是指负债(特别是长期负债)占资本总额的比重,即负债比率的问题。税收对资本结构决策影响的奥妙在于税收的非中性。由于债务利息被看做是与生产经营活动相关的费用,税法规定可在公司所得税前支付,因此将给企业带来免税收益,即企业负债融资可以产生税收效应,进而增加企业的现金流量,降低税后资本成本,从而提高企业的市场价值。而这里我们所研究的资本结构与税收的关系,是指企业通过调节资本结构中的负债比例而对企业价值所产生的影响。
一、MM模型中的资本结构与税收的关系综述
美国经济学家莫迪格利安尼(Franco Modigliani)和米勒(Mertor Miller)于1958年发表的《资本成本、公司财务与投资理论》一文中,提出了最初的MM理论,开创了现代资本结构理论研究的先河。
MM理论的基本假设有:
(1)企业的经营风险是可以衡量的,有相同经营风险的企业处于同类风险级;
(2)现在和将来的投资者对企业未来的息税前利润(EBIT)估计完全相同,即投资者对企业未来收益和这些收益风险的预期是相等的;
(3)股票和债券在完善市场上进行交易,这意味着没有交易成本,投资者(个人或组织)可同企业一样以同等利率借款;
(4)不论举债多少,企业和个人的负债均无风险;
(5)所有现金流量都是年金,即企业增长率为零,预期的息税前利润(EBIT)不变。
此外还设定:V=S+B
其中,V——企业价值;S——普通股价值;B——债券价值。
1.无公司税时的MM模型
1958年,莫迪格利安尼和米勒提出的MM理论没有考虑税收因素。企业的价值独立于其负债比率。不论企业是否有负债,其加权平均资本成本是不变的。当企业成本固定时,随着企业负债的增加,其股本成本也增加。
由此,得出了MM理论:低成本的举债利益正好会被股本成本的上升所抵消,所以更多的负债将不增加企业的价值。即:在无税的情况下,企业的资本结构不会影响企业的价值和资本成本。
2.有公司税时的MM模型
1963年,他们在原有模型中加入公司所得税的因子,修正了其原始模型。当引入公司所得税后,负债企业的价值会超过无负债企业的价值,负债越多,企业价值越大。企业的股本成本会随负债比例的增加而增加,但所得税会使股本成本上升的幅度低于无税时的上升幅度。
3.米勒模型
虽然修正的MM理论中考虑了公司所得税的影响因素,但没有考虑个人所得税的影响。
1976年,米勒在美国金融学会所作的一次报告中提出了一个把公司所得税和个人所得税都包括在内的模型来估计负债对企业价值的影响,即所谓的“米勒模型”。
米勒模型将税收和资本结构以及企业价值有机结合起来,使得:
第一,国家税收政策的调整会影响企业的经济行为选择,使企业投融资行为发生改变。企业投融资行为的改变,会给企业带来一定的税收筹划空间。
第二,由于社会的均衡负债比率!是由公司所得税、债权收益所得税和股权收益所得税以及投资者的课税等级决定的,随公司所得税的上升而上升,随个人所得税的减少而减少,当边际节税利益等于边际个人所得税时,负债达到均衡,所以社会均衡负债比率取决于国家的税收政策,国家税收政策的调整有助于社会均衡负债比率的形成。
第三,在单个企业中不存在绝对的最佳资本结构,这是由于企业无法调节债权收益税率和股权收益税率,高负债的企业可以吸引低课税等级的投资者,而低负债的企业同样可以吸引高课税等级的投资者,在有效的资本市场上,任何旨在通过追求最佳资本结构来达到价值最大化的决策最终会被追求个人利益最大化的投资者的对策所抵消。
二、中国现实环境中MM模型的应用
1.不存在资本利得税的MM模型
在我国当前的税收制度下,个人因拥有债权而取得的利息和因拥有股权而取得的股息的个人所得税税率相同,都是20%。同时,鉴于我国证券市场发育还不成熟,股份制还处于试点阶段,对股票转让所得的计算、征税办法和纳税期限的确认等都需要做深入的调查研究并结合国际通行的做法,作出符合我国实际的规定。因此,国务院决定,对股票转让所得暂不征收个人所得税。所以,此时的MM模型可以修正为:
当Tb = Ts时,

其中,VL—— 有负债企业的价值;Vu—— 无负债企业的价值;Ku—— 适合于该企业风险等级的资本化率;Tc—— 公司所得税税率;Ts—— 个人股票所得税税率;Kb—— 负债资金成本。
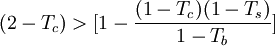
因此,对于投资者来说,购买债券和购买股票承担的税负相同;而对于公司来说,由于债券利息具有抵税作用,所以,理论上讲,公司会偏向债券融资。在美国当时的税收环境下,实行的是累进税率,而我国目前,利息、股息所得的个人所得税使用的是比例税率,因此,在相对稳定的税收环境里,对于投资者来说,由于股利和利息的税负相同,公司个体可以控制投资者的税率,因此,单个公司的最佳资本结构应该存在。
,说明在中国目前的税收制度下,税收对企业投融资行为的改变效果大于对利息与股利实行不同个人所得税税率下的效果。
我国股权(股息)的个人所得税税率为20%,债权(利息)的个人所得税税率为20%,企业所得税税率为33%,将其代入
,有:
1-(1-33%)×(1-20%)/(1-20%)=1-67%×80%÷80%=0.33
对于某些享受税收优惠政策的地区,适用的企业所得税税率减半,即为16.5%,则有:
1-(1-16.5%)×(1-20%)/(1-20%)=1-83.5%×80%÷80%=0.165
成立,所以,负债经营可以增加企业价值。因此,公司可以通过调整资本结构,利用税收的屏蔽作用,提高企业的价值。
同时,因为模型中仅仅考虑公司所得税与个人所得税税率问题,所以,2005年6月13日,财税102号《财政部国家税务总局关于股息红利个人所得税有关政策的通知》中规定,对个人投资者从上市公司取得的股息红利所得,暂时按50%计入个人应纳税所得额,依照现行税法规定计征个人所得税。执行本规定后,修正后的模型所揭示的问题依然成立。
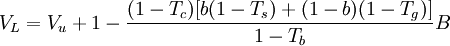
2.资本利得税对MM模型的影响
实际上,股东除了现金股利以外,还有一种收益形式,即资本利得。简单而言就是投资者通过证券买卖所获取的价差收益,资本利得税即对这部分收益所征的税。
为了构建理论模型,我们事先假设:
(1)企业的税后利润以
的比例支付股利,(1-b)的比例以资本利得的形式支付给股东;
(2)资本利得税率为Tg;
(3)企业没有新增投资,即净投资等于零。
则当同时考虑公司所得税、股利所得税、利息所得税和资本利得税时,企业的价值为

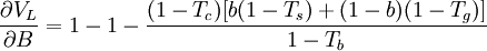
为了更进一步研究资本结构产生的税收效应,我们对上式求偏导,可得

通过求偏导我们可以发现,如果同时考虑公司所得税、利息所得税、股利所得税和资本利得税,那么公司债务融资最终能否带来税收效应,仍然要取决于这四种税率之间的比较,即:
(1)若(1 − Tc) < (1 − Tb),则如果公司保持目前的股利政策及相应税率,增加债务融资的比例会为公司带来税收效应;
(2)(1 − Tc) > (1 − Tb),则如果公司保持目前的股利政策及相应税率,增加债务融资的比例会减少公司价值,以致损害股东利益;
(3)(1 − Tc) = (1 − Tb),则如果公司保持目前的股利政策及相应税率,资本结构与公司价值无关,即公司没有获得税收效应,应改变目前的股利政策或进行适当的纳税筹划;
(4)若b=1,则与原MM模型相同。
三、税收对资本结构的影响
1.税收对资本筹集的影响
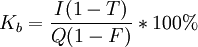
(1)税收对债务筹资的影响。债务筹资发生的利息支出可以计入成本,抵减应纳税所得额,因而,企业利用债务资金可降低其综合资本成本:

其中,Kb——债务资金成本;I——债务利息;Q——债务筹资额;F——债务筹资费率;T——公司所得税税率。
则债务资本的节税利益为:T*I*Q(1-F)
税率与债务资本成本成反比,即税率越高,企业税后债务资本成本就越低,利用债务资本获得的节税利益就越大。对于一个有良好发展前景的企业来讲,只要企业总资产收益率高于债务利息率,选择使用更多的债务资本可以使企业获得高额财务杠杆收益和节税利益。
(2)税收对股权筹资的影响。
我国实行的是非整体化的所得税制,即公司所得税与个人所得税作为两个完全独立的税种分别进行征税,公司要对其所得支付公司所得税,分配到个人手中的所得还要缴纳个人所得税。目前我国对股息部分按20%的比例税率征税,如果同时考虑公司税和个人所得税的影响,股息的实际税负可达39.6%,而利息不需承担公司所得税,其实际税负仅有20%。由于股息部分是对企业利润的双重征税,股东被征税部分的损失希望通过提高股权收益率得到补偿。股权成本过高,导致在现行税制下,企业管理层试图通过提高负债比率加大债务筹资力度,以增加股东对既定收入的实际分配份额。但是,由于企业债权人获得的利息收入也要缴纳一定的税收,因而,当负债企业取得的免税优惠小于债权人因纳税而产生的损失时,债权人提供资金的愿望将下降,使得企业负债比率难以继续上升。
2.税收对负债比率的影响
负债比率表示企业的负债程度,反映了企业的资本构成,是负债总额与资产总额的比率。
显然,负债总额和资产总额是股权成本和债务成本的函数,进一步,则股权成本和债务成本是负债比率的函数。当负债比率较低时,二者保持在较为稳定的水平上,变化不会很大;当负债比率偏高时,股权所有者会担心公司因负债上升而有破产的可能,导致股票市价下跌,股权收益率上升;随着负债比率的进一步上升,债权风险增大,企业想再发行债券时,必须要以较高的利率来吸引投资者,使得债务成本上升,当负债比率超过资本成本,企业下一步的筹资活动中会想方设法降低负债以避免破产。
3.政府税制的优化要借鉴博弈论的思想
税制优化要考虑税收对企业行为的影响以及企业所做出的“ 回应”。一方面,对企业而言,无论政府如何设计税制,税收都是一种损失。企业希望缴纳的税收越少越好;政府则希望税收收入越多越好。由于信息不对称,二者之间形成一种不完全信息下的博弈。因此,在税制设计时,应该考虑怎样设计会使得纳税人诚实纳税,否则,税收成本会增加。另一方面,除了企业和政府博弈之外,企业的委托人和代理人也形成一种博弈,但双方在面对税收时,更多的是合谋。因此税收设计要考虑使企业的委托人和代理人进入一种“囚徒困境”的状态。
案例二:基于MM理论分析我国国有商业银行的股份制改造
- 一、用MM理论分析我国国有商业银行的股份制改造的原因
银行业是经营货币资金的特殊企业,在它的资金来源中,除了少数比例的资金来源于所有者权益资本,绝大多数的资金来源于负债,因而是典型的高负债经营的企业。尽管如此,银行经营者和其他企业的经营者一样,在进行资本结构决策时,仍然以实现银行市场价值最大化从而实现股东权益最大化为目标来选择最优的资本结构。并且它在追求价值最大化的过程中仍然要将税收和其他相关成本等因素考虑在内,在现有的税收制度下,银行的所得税是在支付了债务的利息费用之后才交纳的,所以当考虑了税收因素时会使银行因债务的存在而少支付所得税,这被称为所得税的屏蔽作用。如果以B表示债务,以T表示税率,以r表示债务的利率,则每期因利息费用B×r的支出而节省的所得税为B×r×T,将各期节省的所得税折现为现值就得到因债务的存在而节省的所得税现值为TB,即税收屏蔽的现值。
根据含公司税的MM理论可知当存在税收时,银行的市场价值VL是无杠杆时银行股份的市场价值VU与银行债务部分税收减免金额TB之和,即VL = VU + TB。由该公式可知,在存在税收屏蔽作用时,银行的市场价值VL会随着债务额B的增加而增加,因此银行的市场价值可以通过提高负债率(B/V)而增加。
但是,在市场经济环境下,银行的经营者不可能无限度地依靠增加对外负债来增加银行的市场价值。因为负债率的提高会增加银行的风险成本(主要包括风险成本),而风险成本的存在又会减少的市场价值。因此,将税收的屏蔽作用和风险成本结合在一起考虑银行的市场价值,又会得到一条新的曲线AC。此时,银行的市场价值表示为:VL = VU + TB − FPV(其中FPV表示预期风险成本的现值)。

如图所示,随着负债率的不断提高,即资本结构中债务所占的比重不断增加而所有者权益资本的比重不断降低,曲线AC呈现出先上升后下降的趋势。这是因为在负债率提高的初期,预期破产成本的可能性不太,此时税收的屏蔽收益远大于风险成本,使TB-FPV表现为正值,从而使银行的价值随着债务的增加而增大。当负债率增加到一定点时,即点
,此时的资本结构达到最优化,而银行价值C也达到最大值。此后,若再增加负债额,就会使风险成本的增加速度超过税收屏蔽的收益的增加速度,使TB-FPV表现为负值,从而使银行的价值随着债务的增加而降低。由此看来,对于银行的经营者来说,要使银行的市场价值达到最大,关键是找到最优的负债率,或者说是找到最优的资本结构。
在很长的一段时间里,我国的国有商业银行都面临着资本充足率过低,财务杠杆过高的资本结构。这种不合理的现象主要是由于产权结构不合理性造成的。在过去,政府作为国有商业银行唯一的出资人。而这种出资人的唯一性导致了法人治理结构的不健全。从产权管理角度上看,国家是国有商业银行完全的外部出资人,应该具有利润最大化的目标,并以此对银行的经营管理者的行为进行有效的激励和控制。但是,政府的目标函数具有多重性,更多的时候考虑社会效益多于考虑经济效益。正是这种特殊的出资人和特殊的产权结构,决定了国有商业银行的资本结构对银行的资本结构对银行经营管理者事实上没有任何经济利益上的约束和激励。而国有银行国家独资的性质使银行的稳定性与其资本充足率间几乎没有直接的联系。银行凭借国家信誉来维护储户对银行的信心。储户认为银行是国家的,国家不会让国有银行破产,所以不论银行资本是否充足,也不论国有商业银行有多少不良资产,储户依旧将资金存入银行,丝毫不用担心资金是否安全。事实上政府却在这个过程中承担了无限责任。由此可见,在我国那段特殊的经济环境中,我国的四家国有商业银行的风险成本极低,致使风险成本FPV可以忽略不计,我国国有商业银行的市场价值可以简单地表示为VL = VU + TB。这表明,由于我国的国有商业银行的风险成本极低,因此可以通过尽可能多的增加对外负债来增加盈利,进一步增加银行的市场价值。
可是单纯依靠国家信誉对我国国有银行的支持不利于提高我国国有商业银行的市场竞争力;过低的资本充足率也有损中国银行的形象,不利于国际竞争。于是在这样的背景下,国有商业银行股份制改造的呼声越来越高。
- 二、国有商业银行股份制改造的进程和现状
1993年《国务院关于金融体制改革的决定》明确提出了国有银行改革“三步走”的战略目标:第一步,按照国有独资公司形式更新经营管理制度;第二步,将有条件的国有独资商业银行改组为国家控股的股份制商业银行;第三步,将符合条件的国家控股份的股份制商业银行公开上市。1995年7月1日《商业银行法》的颁布和实施,从法律上明确了专业银行是国有商业银行的。同年11月,党中央、国务院召开了第一次全国金融工作会议,随后推出了一系列国有商业银行改革措施。特别是1997年亚洲金融危机爆发,强烈触动了国有商业银行改革的敏感神经并使其加速提上日程。之后,我国一方面通过设立股份制商业银行的方式进行“增量”式的体制外改革,另一方面对国有商业银行进行以市场化为取向的“存量”式体制内改革:一是补充资本金的剥离不良资产;二是加强内部管理和风险控制制度;三是积极推进机构内部改革。以上改革历时多年,在一定程度上推进了我国国有商业银行的市场化进程。但与其他全国性的股份制商业银行相比,其股权结构的单一性却是显而易见的。通过对四家国有商业银行近几年来的股权结构状况的分析,我们可以看到国家仍然是最大的股东。
中国工商银行在2005年以前的股权结构单一,为国家100%控股,从2005年股份制改革开始,股权结构发生了变化,代表国家的财政部和中央汇金投资公司所拥有的股份各占总股本(A+H股)的35.32%,而其余股东,包括社会基金、高盛、安联及美国运通等机构投资者及其他A股、H股股东执有剩下不到30%的股份。截至2008年9月,这种资本结构也未作多大变更。由此看来,国家对于工行还是有着绝对的控制能力。
中国建设银行在2002和2003年均为国家100%控股。它从2004年起进行了股份制改造,第一大股东是代表国家的中央汇金投资公司,持有85.23%的股份,第二大股东是代表中国建设银行投资公司,其余几个股东分别为国电网公司、上海宝钢集团公司、中国长江电力股份有限公司。不难看出,这些股东均带有国有的性质。看来中国建设银行在2004年只是进行了名义上的改造,并没有摆脱国家控股的性质。到了2005年,中国建设银行在香港上市,并且由国外的金融机构通过资本市场购入中国建设银行的股份。其结果是,第一大股东仍然为代表国家的中央汇金投资公司,占70.69%的股份,第二大股东为新加坡的淡马锡投资有限公司,占有11.35%的股份,第三大股东为美国的美洲银行,占8.52%的股份。这样,国外金融机构的投资使中国建设银行“一股独大”的局面有了比较明显的改变。尤其是截至到2008年9月30日,中国建设银行第一大股东即中央汇金投资公司占56.55%的股份,香港中央结算(代理人)有限公司和美国银行公司是第二、第三大股东,分别拥有12.58%和10.75%的股份。
中国银行在2004年以前是国家100%控股。2004年才开始成为股份制公司。为了进一步加快了股份制改造的进程,该行于2005年8月引进以格兰皇家银行为首的财团,使其成为中国银行的第二大股东,占有10%的股份。但是第一大股东即代表国家的中央汇金投资公司仍然拥有90%的股份,控股能力仍然很强。截至2008年9月30日,中国银行第一大股东中央汇金投资公司拥有67.49%的股份;香港中央结算(代理人)有限公司作为第二大股东拥有12.28%的股份,而其余股东包括瑞士银行和亚洲开发银行所持股份并不多。
中国农业银行在进行股份制改造的路程上刚刚起步。它以前一直是国家股一股独大,即国家持股比例为100%。2008年11月6日,中央汇金投资公司以1300亿元人民币等值美元注资农行。注资完成后,汇金公司持有农行50%的股份,同时财政部在农行的1300亿元人民币所有者权益保留了下来,双方并列成为农行的第一大股东。至此,中国农业银行继工商银行、中国银行和建设银行后顺利搭上了国有商业银行股份制改造的末班车。这不仅标志着银行股份制改革取得了决定性成果,也表明了中国国有独资商业银行股份制改革进入了“改革”的最后阶段。
- 三、国有商业银行股改上市后的成果以及存在的问题
经过改革,国有商业银行稳步发展,资产总规模由2003年底的15.2万亿元增加到2007年底的28.5万亿元,工行、中行、建行已先后完成股份制改造并在境内外上市,在公司治理和经营理念上都发生了深刻变化,银行综合实力、资产质量、盈利能力、管理水平和核心竞争力有了很大提高。截至2007年底,在全球上市银行市值前十大排名中,工行、建行、中行分别以3389.4亿美元、2025.6亿美元和1977.4亿美元的市值稳居前三位。国有商业银行体制发生巨变,财务状况持续好转,经营绩效指标与国际先进银行的差距缩小,国际形象和内在价值大大提升。四大国有商业银行均确保了国家的绝对控股,在给境内外广大投资者带来良机的同时,也充分实现了国有股权的保值增值。
但是我们从以上的分析得知尽管国家在这几年中,通过国有商业银行的股权结构改造,国有商业银行股权结构中国家控股比例逐步减少,但是国家仍然拥有绝对的控制能力。而其他股份制商业银行的股权结构与之相比要分散得多。
国有商业银行进行股份制改造不是某项具体业务制度、管理办法和管理方式的简单变化,而是体制和机制的根本性变革,是一种脱胎换骨地改造,这种过程实际上是一种制度和体系的创新过程。虽说注资和不良贷款的剥离可以在短时间内提高国有商业银行资本实力、降低不良贷款比率,为国有商业银行盈利水平的提高提供必要的条件,但盈利水平提高的根本途径,主要还是在于国有商业银行自身盈利能力的持续增强,是一个长期渐进的过程。国有商业银行股改后作为国有控股商业银行运营以来,仍存在一些急待解决的问题,比如公司治理结构尚欠规范和科学,经营理念和管理体制变革不太,传统的信贷业务发展方式一时难以转变,资产质量的基础还比较脆弱,不良隐患仍然比较多。
- 四、我国国有商业银行今后的改革方向
经过多年的国有商业银行股份制改革,我国国有商业银行无论是资产规模、资产质量、赢利能力还是抵御风险能力等方面都处于历史的最好时期。但是成就来之不易,改革任重道远。在跨入建设国际一流的商业银行的新时期,必须牢固树立现代商业银行的经营管理理念,其中最重要的是强化资本约束理念。商业银行的资本约束指的是通过一个最低的资本金与风险资产的比率,来约束商业银行资产的迅速增长。商业银行的资产增长必须有资本金的同比例增长,否则资本充足率就会下降。如果资产质量较高,自身盈利能力较强,其资产规模就可以相应地增加,这就是良性循环;反之,资产增长就要被约束。没有能力补充资本金将会导致恶性循环。
当前,股改后国有控股商业银行的一个重大的任务就是防止不良资产的增加。因为不良资产会严重侵蚀商业银行的资本金。资本约束的目的便是约束不良资产的不断增长。要强化资本约束理念,全方位改造体制机制,包括再造业务流程和组织架构,建立适应发展战略要求的综合业务管理体系,建立全面风险管理体系,重建新会计准则下的会计核算体系,健全产品研发和营销机制,提高经营管理信息水平等。要完成这个宏伟的战略目标,我们就必须更新思想观念和经营理念。
(一)建立科学的公司治理机构
巴塞尔新资本协议明确指出,有效的银行监管必须建立在商业银行良好的公司治理的基础之上。我国银监会也提出了国有商业银行公司治理结构的十条意见,提出了制定清晰化的发展战略,实现商业银行价值最大化以及建立科学的决策体系,内部控制机制和风险管理机制等要求建立科学的公司治理结构,就是要通过董事会、监事会等对管理层的经营行为进行监管,督促银行各级经营者珍惜有限的银行资本,高效使用资本,从而给投资者以最大的回报。另外,国有商业银行股改后,尤其是上市后,投资者对商业银行的经营信息披露要求会更高。所以公司治理的一个重要任务就是监督会计数字的真实性,以对经营管理者内部经营行为进行有效的决策。在过去,各级经营者的经营行为,对于最高决策层来说是不知道的或者知道得不完整,信息不对称严重。
所以经常出现与决策层要求不相符的经营行为。这样的情况在股改以前是对国有资产的侵蚀,股改后,是对股东、员工和存款人等相关利益者的侵害。一旦管理层的经营行为受到有力约束,就可以通过在董事会的“用手投票”和在资本市场上的“用脚投票”以及严格的信息披露,制约经营者的行为,以保证股东的利益。这样,通过公司和资本约束的机制设计,能有效解决内部控制问题。
(二)适应国际国内经济金融形势,着力推进经营战略转型
经营战略转型是国有商业银行根据内外部环境变化和股改后资本约束的要求而必须做出的战略选择,其根本要求是,在业务发展方式上要从外延粗放型增长向内涵集约型增长转变,在经营结构上由传统的存贷业务结构向资本节约型的综合金融服务转变,从单一利差收入向收入多元化转变,不断调整客户结构和业务结构,按照经济资本的原则,优化全行资源配置。
1.调整资产结构,提高资产业务的赢利水平。
改善信贷的行业结构,探索对现代制造业、现代物流业、环保业和新型服务业、文化产业等新兴行业的信贷投放,积极介入基金管理、金融租赁、保险、信托等行业构建综合经营平台,在公司银行业务领域,逐渐将国有商业银行从单纯的资金投资者和风险承担者,打造成为集贷款人、财务顾问、风险代理者、市场中介于一体的综合金融服务提供商。
2.紧紧围绕网点转型,做大做强零售业务。
零售银行业务要逐步向理财业务和资产管理业务延伸,满足不同客户的金融服务需求。今后我行要发挥好机构网点多、员工规模大、客户群体广的独特优势,尽快建立起综合服务型的新型零售银行业务发展模式。要调整网点布局,推动分层次网络建设。提高网点综合服务水平。要更好发挥国有商业银行大中城市网点功能的建设,大力推动网上银行、电话银行、手机银行和自助四大银行的全面发展。
3.实施盈利模式战略转型,实行收益多元化战略。
低风险、高收益的中间业务收入占比不断提高,是国际先进银行的一个共同特征。目前国有商业银行以银行卡收费和代理费用为支柱的局面还没有根本改观,如何保持中间业务收入增长的持续性、稳定性,是摆在我们面前的一大课题。我们要大力开发高附加值的新产品和创新服务手段,改善中间业务结构,为客户提供增值业务,提升层次,形成多元化收入稳定增长的格局。
