Creditmetrics模型
Creditmetrics模型的提出
Creditmetrics模型(信用计量模型)是J.P.摩根在1997年推出的用于量化信用风险的风险管理产品。与1994年推出的量化市场风险的Riskmetrics一样,该模型引起了金融机构和监管当局的高度重视,是当今风险管理领域在信用风险量化管理方面迈出的重要一步。
Creditmetrics模型的基本思想
1、信用风险取决于债务人的信用状况,而企业的信用状况由被评定的信用等示。因此,信用计量模型认为信用风险可以说直接源自企业信用等级的变化,并假定信用评级体系是有效的,即企业投资失败、利润下降、融资渠道枯竭等信用事件对其还款履约能力的影响都能及时恰当地通过其信用等级的变化而表现出来。信用计量模型的基本方法就是信用等级变化分析。转换矩阵(Transition Matrix一般由信用评级公司提供),即所有不同信用等级的信用工具在一定期限内变化(转换)到其他信用等级或维持原级别的概率矩阵,成为该模型重要的输入数据。
2、信用工具(包括债券和贷款等)的市场价值取决于债务发行企业的信用等级,即不同信用等级的信用工具有不同的市场价值,因此,信用等级的变化会带来信用工具价值的相应变化。根据转换矩阵所提供的信用工具信用等级变化的概率分布,同时根据不同信用等级下给定的贴现率就可以计算出该信用工具在各信用等级上的市场价值(价格),从而得到该信用工具市场价值在不同信用风险状态下的概率分布。这样就达到了用传统的期望和标准差来衡量资产信用风险的目的,也可以在确定的置信水平上找到该信用资产的信用值,从而将Var的方法引入到信用风险管理中来。
3、信用计量模型的一个基本特点就是从资产组合而并不是单一资产的角度来看待信用风险。根据马柯威茨资产组合管理理论,多样化的组合投资具有降低非系统性风险的作用,信用风险很大程度上是一种非系统性风险,因此,在很大程度上能被多样性的组合投资所降低。另一方面,由于经济体系中共同的因素(系统性因素)的作用,不同信用工具的信用状况之间存在相互联系,由此而产生的系统性风险是不能被分散掉的。这种相互联系由其市场价值变化的相关系数(这种相关系数矩阵一般也由信用评级公司提供)表示。由单一的信用工具市场价值的概率分布推导出整个投资组合的市场价值的概率分布可以采取马柯威茨资产组合管理分析法。
4、由于信用计量模型将单一的信用工具放入资产组合中衡量其对整个组合风险状况的作用,而不是孤立地衡量某一信用工具自身的风险,因而,该模型使用了信用工具边际风险贡献这样的概念来反映单一信用工具对整个组合风险状况的作用。边际风险贡献是指在组合中因增加某一信用工具的一定持有量而增加的整个组合的风险(以组合的标准差表示)。通过对比组合中各信用工具的边际风险贡献,进而分析每种信用工具的信用等级、与其他资产的相关系数以及其风险暴露程度等各方面因素,可以很清楚地看出各种信用工具在整个组合的信用风险中的作用,最终为投资者的信贷决策提供科学的量化依据。
Creditmetrics模型分析
(一) 在险价值(VaR)方法:
在险价值模型就是为了度量一项给定的资产或负债在一定时间里和在一定的置信度下其价值最大的损失额。
一支交易股票的在险价值

VaR方法度量非交易性金融资产如贷款的在险价值时则会遇到如下问题:
1.因为绝大多数贷款不能直接交易,所以市值P不能够直接观察到。
2.由于贷款的市值不能够观察,也就无法计算贷款市值的变动率σ。
3.贷款的价值分布离正态分布状偏差较大。
(二)“信用度量制”方法(CreditMetrics)
信用度量制是通过掌握借款企业的资料如:
(1)借款人的信用等级资料
(2)下一年度该信用级别水平转换为其它信用级别的概率
(3)违约贷款的收复率
计算出非交易性的贷款和债券的市值P和市值变动率σ,从而利用在险价值方法对单笔贷款或贷款组合的在险价值量进行度量的方法。
Creditmetrics模型与KMV模型的比较
KMV模型与creditmetrics模型是目前国际金融界最流行的两个信用风险管理模型。两者都为银行和其它金融机构在进行贷款等授信业务时衡量授信对象的信用状况,分析所面临的信用风险,防止集中授信,进而为实现投资分散化和具体的授信决策提供量化的、更加科学的依据,为以主观性和艺术性为特征的传统信用分析方法提供了很好的补偿。然而,从上述的介绍和分析中,我们又可以明显地看到这两个模型在建模的基本思路上又相当大的差异,这些差异还主要表现在以下几个方面。
1、KMV模型对企业信用风险的衡量指标edf主要来自于对该企业股票市场价格变化的有关数据的分析,而creditmetrics模型对企业信用风险的衡量来自于对该企业信用评级变化及其概率的历史数据的分析。这是两者最根本的区别之一。
2、由于KMV模型采用的是企业股票市场价格分析方法,这使得该模型可以随时根据该企业股票市场价格的变化来更新模型的输入数据,得出及时反映市场预期和企业信用状况变化的新的edf值。因此,kmv模型被认为是一种动态模型,可以及时反映信用风险水平的变化。然而,creditmetrics采用的是企业信用评级指标分析法。企业信用评级,无论是内部评级还是外部评级,都不可能象股票市场价格一样是动态变化的,而是在相当长的一段时间内保持静态特征。这有可能使得该模型的分析结果不能及时反映企业信用状况的变化。
3 、同时,也正是因为kmv模型所提供的edf指标来自于对股票市场价格实时行情的分析,而股票市场的实时行情不仅反映了该企业历史的和当前的发展状况,更重要的是反映了市场中的投资者对于该企业未来发展的综合预期,所以,该模型被认为是一种向前看(forward-looking)的方法,edf指标中包含了市场投资者对该企业信用状况未来发展趋势的判断。这与creditmetrics模型采用的主要依赖信用状况变化的历史数据的向后看(backward-looking)的方法有根本性的差别。kmv的这种向前看的分析方法在一定程度上克服了依赖历史数据向后看的数理统计模型的“历来可以在未来复制其自身”的缺陷。
4 、KMV模型所提供的edf指标在本质上是一种对风险的基数衡量法,而creditmetrics所采用的与信用评级分析法则是一种序数衡量法,两者完全不同。以基数法来衡量风险最大的特点在于不仅可以反映不同企业风险水平的高低顺序,而且可以反映风险水平差异的程度,因而更加准确。这也更加有利于对贷款的定价。而序数衡量法只能反映企业间信用风险的高低顺序,如bbb级高于bb级,却不能明确说明高到什么程度。
5、creditmetrics采用的是组合投资的分析方法,注重直接分析企业间信用状况变化的相关关系,因而更加与现代组合投资管理理论相吻合。而kmv则是从单个授信企业在股票市场上的价格变化信息入手,着重分析该企业体现在股价变化信息中的自身信用状况,对企业信用变化的相关性没有给予足够的分析。
Creditmetrics模型案例分析
案例一:基于CreditMetrics模型的商业银行信用风险应用
一、CreditMetrics模型的基本框架
对于CreditMetrics模型而言,影响信贷资产价值的因素即有违约事件,也有信贷资产质量的变化。为获得所有信贷资产的潜在变化信息,CreditMetrics模型采取了盯市(Marked-to-Market)的方法来计算信用风险值。该模型构造了一个模拟信贷资产所有潜在变化以及违约波动的组合计量框架。图2给出了模型的框架,从CreditMetrics模型技术框架看,该模型主要包括三个关键环节:

1.敞口或内部头寸
头寸数据通常都保存在金融机构一系列的系统当中,包括投资组合数据、交易账簿数据以及表外项目数据等。只要头寸数据的基础是一致的,CreditMetrics就能区分出不同投资种类之间的风险差别。
2.信用事件所导致的单个敞口的价值波动
信用事件包括违约事件以及评级变动。在计算整个组合的信用风险之前,需要先计算单个头寸的信用风险。计算的风险应能囊括信贷资产在所有各种可能的评级状态下(包括违约)的价值分布。
3.不同信贷资产彼此变化的相关性
CreditMetrics最终的目的是要计算整个信贷组合的信用风险,为此必须要估计不同资产之间的变化相关性,包括违约的相关性和评级转移的相关性。
在估计组合的信贷资产风险值方面,相关性估计至关重要。
二、CreditMetrics模型信用度量方法
CreditMetrics模型度量是以信用评级转移为基础的,而信用评级并不只是由CreditMetrics集团提供的,可由用户独立开发,也可以从信用评级机构取得。典型的转移计算是:在一年的时间内,以标准普尔的评级AAA、AA、A、BBB、BB、B和CCC为基础,计算从一个评级转移到另一个评级的转移概率。除了以上7个信用评级外,还考虑表示“违约”的吸收状况D,共计8种状态。根据已知历史数据估计的转移概率,用公司的债券市场或股票市场数据替代公司资产价值直接导出评级分类的相关性,CreditMetrics计算贷款的组合的价值远期分布,直接估计一般信用损失分布对应某个置信水平分位数作为资产信用风险值。
1.单一债券或贷款情况
CreditMetrics模型信用度量方法是以信用评级为基础,通过求单项贷款价值概率分布来确定单项贷款的风险。这个概率分布的特点在于它完全基于信用转移分析,即在既定时间内(一般取一年)一种信用质量变为另一种信用质量的概率,用它来度量将来(比如说一年以后)贷款资产组合的价值分布,模型强调资产组合价值变化与信用评级转移相关。假设一笔固定利率、不可提前偿还的中长期贷款。该笔贷款是等额偿还,直到最后一次偿还时结清贷款本息。在不可提前偿还假定条件下,根据普通年金现值一般公式,可推导出偿还贷款额现值计算的基本模型:

其中:V——债券价值;
C——每年的利息;
M——到期的本金;
r——贴现率(报酬率);
n——债券到期前的年数。
CreditMetrics模型的基础是在给定的时间段内估计贷款或债券产品将来价值变化的分布状况,价值变化与债务人信用质量转移(信用评级是上升,是下降,还是违约)相关。设信贷资产或债券价值6的均值为μ,方差为σ,则:


2.组合债券或贷款情况
(1)公司价值模型
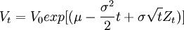
下面介绍信用计量模型所用的公司价值的基本原则——阈值方法。按照默顿模型,公司资产价值遵循标准几何布朗运动,在时刻的公司价值服从对数正态分布,并可表示为:


如果P_{Def}表示债务人违约概率,违约时资产价值为V_{Def},则有:
……式中Zt − N(0,1),t时间预期限值服从对数分布。
E(Vt) = V0exp(ut)
当满足以下条件时,违约就会发生:

其中N(g)是一个标准累积正态分布,设d2为违约距离,则:


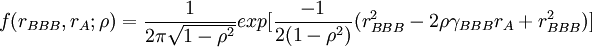
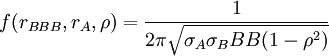
(2)联合评级概率的推导
为了在联合概率中考虑相关性,利用上面计算每笔贷款或新发行债券的阈值,再根据二元正态分布计算出联合概率。我们以初始评级为BBB和A级的公司为例,假设每个公司的资产价值正规化后对数收益rBBB和rA服从标准正态分布,则联合正态分布的密度函数为:

为了推导每对资产最终评级的联合概率,要完成下面双重积分计算:
。
式中,
和
代表开始评级为BBB和A级公司的最终评级,分别为第/与第0级的状态。
(3)联合违约概率的推导
债务人1 和债务人2的违约事件分别为Def1和Def2,资产收益相关性是ρ,考虑两个债务人违约概率分别为P_1(Def_1)和P_2(Def_2),则P1(Def1,Def2)是违约的联合概率。假定资产收益率相关性ρ已知,表示为两种资产标准化的对数收益服从联合正态分布,则

违约相关性表示为

根据莫顿模型,两个债务人违约的联合概率是:

式中V_1和V_2为两个债务人在时间的资产价值,7V_{Def1}是V_{Def2}引发违约的关键值。上式表达式等于:

注:r1和r2表示债务人1和债务人2标准资产收益
和
分别为违约距离,N2(x,y,ρ)表示两变量的标准正态累积函数,ρ是x和y之间的相关系数。
三、基于CreditMetrics模型的信贷资产风险值的计算实例
1.单一贷款或债券情况下的信用风险估值我们运用上述CreditMetrics模型方法计算单一情况下的信贷资产的风险值。下面以一笔年利率为6%,金额为10000元,期限为5年,高级未担保的BBB级不可提前偿还的中长期贷款为例来计算CreditMetrics模型的信贷资产风险值。
第一步,确立转移矩阵。转移矩阵意味着一年内从一个信用等级转变为另一个信用等级的概率,穆迪和标准普尔等级均有这样的数据积累(见表1)。
表1 不同级别客户一年期信用转移矩阵(%)
| 始评级 | 年末评级 | |||||||
| AAA | AA | A | BBB | BB | B | CCC | 违约 | |
| AAA | 90.81 | 8.33 | 0.68 | 0.06 | 0.12 | 0.00 | 0.00 | 0.00 |
| AA | 0.70 | 90.65 | 7.79 | 0.64 | 0.06 | 0.14 | 0.02 | 0.00 |
| A | 0.09 | 2.27 | 91.05 | 5.52 | 0.74 | 0.26 | 0.01 | 0.06 |
| BBB | 0.02 | 0.33 | 5.95 | 86.93 | 5.30 | 1.17 | 0.12 | 0.18 |
| B+ | 0.03 | 0.14 | 0.67 | 7.73 | 80.53 | 8.84 | 1.00 | 1.06 |
| B | 0.00 | 0.11 | 0.24 | 0.43 | 6.48 | 83.46 | 4.07 | 5.20 |
| CCC | 0.22 | 0.00 | 0.22 | 1.30 | 2.38 | 11.24 | 64.86 | 19.79 |
与一年期转移矩阵相对应,还有多年期累计平均违约率统计数据(见表2)
表2 不同级别客户多年累计平均违约率(%)
| 期限 | 1 | 2 | 3 | 4 | 5 | 7 | 10 | 15 |
| AAA | 0.00 | 0.00 | 0.07 | 0.15 | 0.24 | 0.66 | 1.40 | 1.40 |
| AA | 0.00 | 0.02 | 0.12 | 0.25 | 0.43 | 0.89 | 1.29 | 1.48 |
| A | 0.06 | 0.16 | 0.27 | 0.44 | 0.67 | 1.12 | 2.17 | 3.00 |
| BBB | 0.18 | 0.44 | 0.72 | 1.27 | 1.78 | 2.99 | 4.34 | 4.70 |
| BB | 1.06 | 3.48 | 6.12 | 8.68 | 10.97 | 14.46 | 17.73 | 19.91 |
| B | 5.20 | 11.00 | 15.95 | 19.4 | 21.88 | 25.14 | 29.02 | 30.65 |
| CCC | 19.79 | 26.92 | 31.63 | 35.97 | 40.15 | 42.64 | 45.1 | 45.10 |
第二步,确立时间段。CreditMetrics模型中时间选取通常定为一年,这是出于会计数据和财务报告得到的频率而定的。
第三步,确立远期定价模型。信贷资产的估计可以从与贷款发行方评级对应的信贷资产得出。每个信用级别一年远期零曲线见表3。
表3 每个信用等级的一年远期零曲线(%)
| 范畴 | 一年 | 二年 | 三年 | 四年 |
| AAA | 3.6 | 4.17 | 4.73 | 5.12 |
| AA | 6.65 | 4.22 | 4.78 | 5.17 |
| A | 3.72 | 4.32 | 4.93 | 5.32 |
| BBB | 4.1 | 4.67 | 5.25 | 5.63 |
| BB | 5.55 | 6.02 | 6.78 | 7.27 |
| B | 6.05 | 7.02 | 8.03 | 8.52 |
| CCC | 15.03 | 15.05 | 14.03 | 13.52 |
如果一年后借款人仍是BBB级,一年后的信贷资产价格为:
(元)。
如果对每一级别重复同样计算,可以得到一年后不同级别贷款的价值,见表4。
表4 各信用级别的一年远期价值
| 年末评级 | 价值 |
| AAA | 10935.29 |
| AA | 10917.24 |
| A | 10864.3 |
| BBB | 10753.09 |
| BB | 10200.64 |
| B | 9808.59 |
| CCC | 8362.34 |
| 违约 | 5113 |
第四步,得出将来组合价值变化的分布。如果发生违约,根据优先偿还程度,投资者可以得到部分清偿,本例题中,高级末担保贷款的清偿率约为51.13%,10000元的清偿额为5113美元。信贷资产质量变化产生的一年期的债券价值变化的分布(见表5)。
表5 一年后该笔贷款的价值及变化
| 年末评级 | 评级变化的概率p(%) | 贷款价值(元) | 价值变化ΔV |
| AAA | 0.02 | 10935.29 | 182.2 |
| AA | 0.33 | 10917.24 | 164.15 |
| A | 5.95 | 10864.3 | 111.21 |
| BBB | 86.93 | 10753.09 | 0 |
| BB | 5.3 | 10200.64 | -552.45 |
| B | 1.17 | 9808.59 | -944.5 |
| CCC | 0.12 | 8362.34 | -2390.75 |
| 违约 | 0.18 | 5113 | -5640.09 |
假设该笔BBB级贷款价值V服从正态分布,设贷款价值的均值为/mu,标准差为σ,则:
(元)。


μBBB = 299.05
我们可得出888贷款的价值表,见表6。
表6 该笔贷款的信用风险估值计算表
第一年末信用评级 信用评级概率(%) 贷款价值(元) 概率、加权价值(元) 价值与均值的偏离(元) 概率加权的偏离的平方 AAA 0.02 10935.29 2 228.36 10.43 AA 0.33 10917.24 36 210.31 145.6 A 5.95 10864.3 646 157.37 1473.54 BBB 86.93 10753.09 9348 46.16 1852.26 BB 5.3 10200.64 541 -506.29 13585.47 B 1.17 9808.59 115 -898.34 9442.07 CCC 0.12 8362.34 10 -2344.59 6596.52 违约 0.18 5113 9 -5593.93 56325.7
因此,在正态分布下,该笔BBB级贷款的信用风险估值如下:
99%置信度的VaR=2.33/times299=697(元)
95%置信度的VaR=1.65/times299=493(元)
计算结果表明,在贷款价值为正态分布的假设条件下,该笔贷款有1%的可能性在第二年的损失超过697元,有5%的可能性在第二年的损失超过493元。反过来说,该笔贷款在第二年的损失有99%的可能性保证不超过697元,有95%的可能性保证不超过493元。
2.组合贷款或债券情况下的信用风险估值
为简单起见,假设一个银行的企业贷款或债券组合只包含两笔贷款或债券,该组合一笔贷款或债券如上例所示BBB级贷款,第二笔贷款或债券假设为A级的贷款。下面以上述两笔贷款来计算组合情况下的信用风险估值问题。
具体步骤为:
(1)推导每一个评级分类的资产收益的阈值
(2)估计每对债务人资产收益之间的相关性
(3)估算组合价值
(4)确定组合未来价值的置信水平分位数
假设第二笔贷款的最初评级为A级,年利率为5%,金额为10000元,期限为5年高级未担保的不可提前偿还贷款,一年后该贷款价格为:。
(元)。
计算出A级贷款价值分布,计算结果见表7。
表7 第二笔贷款的价值分布
| 年末评级 | 贷款价值(元) | 转移概率 |
| AAA | 10477.66 | 0.09 |
| AA | 10460.02 | 2.27 |
| A | 10408.16 | 91.05 |
| BBB | 10299.66 | 5.52 |
| BB | 9759.27 | 0.74 |
| B | 9375.56 | 0.26 |
| CCC | 7950.18 | 0.01 |
| 违约 | 5113 | 0.06 |
在联合概率中考虑相关性,利用上面方法计算每个贷款或债券的阀值(见表8),然后根据二元正态分布计算出联合概率。同理,假定每个公司的资产价值的正规化对数收益服从正态分布,对于BBB级和A级这样两个债务人来说,假设两笔贷款回报率的相关性已知,记为ρ,收益率为rBBB和rA,考虑它们的联合态分布,其一般密度函数为:

=
表8 BBB级和A级两个债务人的评级转移概率和信贷质量阀值
| 一年内评级 | BBB级债务人 | A级债务人 | ||
| 概率(%) | 阀值(Z) | 概率(%) | 阀值(Z) | |
| AAA | 0.02 | +∞ | 0.09 | +∞ |
| AA | 0.33 | 3.54 | 2.27 | 3.12 |
| A | 5.95 | 2.7 | 91.05 | 1.98 |
| BBB | 86.93 | 1.53 | 5.52 | -1.51 |
| BB | 5.3 | -1.49 | 0.74 | -2.3 |
| B | 1.17 | -2.18 | 0.26 | -2.72 |
| CCC | 0.12 | -2.75 | 0.01 | 13.19 |
| 违约 | 0.18 | -2.91 | 0.06 | -3.24 |
计算两笔贷款(BBB级贷款和A级贷款)组合的年末价值见表9。
表9 二笔贷款组合年末价值
| AAA | AA | A | BBB | BB | B | CCC | D | |
| AAA | 21412.95 | 21395.31 | 21343.45 | 21234.95 | 20694.85 | 20310.85 | 18885.47 | 16048.29 |
| AA | 21394.9 | 21377.26 | 21325.4 | 21216.9 | 20676.8 | 20292.8 | 18867.42 | 16030.24 |
| A | 21341.96 | 21324.32 | 21272.46 | 21163.96 | 20623.86 | 20239.86 | 18814.48 | 15977.3 |
| BBB | 21230.75 | 21213.11 | 21161.25 | 21052.75 | 20512.65 | 20128.65 | 18703.27 | 15866.09 |
| BB | 20678.3 | 20660.66 | 20608.8 | 20500.3 | 19960.2 | 19576.2 | 18150.82 | 15313.64 |
| B | 20286.25 | 20268.61 | 20216.75 | 20108.25 | 19568.15 | 19184.15 | 17758.77 | 14921.59 |
| CCC | 18840 | 18822.36 | 18770.5 | 18662 | 19121.9 | 17737.9 | 16312.52 | 13475.34 |
| 违约 | 15590.66 | 15573.02 | 15521.6 | 15415.66 | 14872.56 | 14488.56 | 13063.18 | 10226 |
联合评级概率的计算。例如,假设资产相关性为20%%,最终评级为BBB_{BBB}和A_A的联合概率,两者都维持现有评级不变的概率为:

运用联合违约概率计算联合违约事件的相关性,我们有:
。
下面我们假设两个债券发行公司的资产收益相关性为ρ = 0.40从表7中可知,BBB级和A级的违约概率分别是P(DBBB = 0.18%和P(DA) = 0.06%和,联合违约概率为:

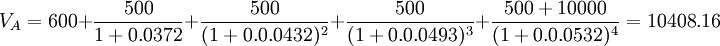
同理,第二笔A级贷款价值的均值为μA标准差σA,则 :

综上,该两笔贷款组合的均值为:
μP = μBBB = 10706.93 + 10848.07 = 21555


因此,在正态分布下,该组合贷款的信用风险估值如下:
99%置信度的
(元)
95%置信度的
(元)
CreditMetrics模型的出现标志着风险估值和管理工作在精确性及主动性方面取得了巨大进展,信贷资产或债券的组合风险估值对信用评级更加敏感。该模型主要应用:
一是该模型以分析性框架为基础,可计算组合价值的波动率和预期损失,也可计算组合内债务人的边际风险贡献及组合的多样化效应。
二是运用蒙特卡罗模拟方法可以进一步估计资产组合的远期价值分布,从而确定信贷资产的信用风险值。
三是CreditMetrics的输出报告在风险管理以及建立对冲策略方面有着非常重要的应用,金融机构能够评估总体的风险规模,针对可能的不利情况设立相应的资本缓冲,以确保自己能够在遭受不利的信贷事件时还能继续生存下去所需的缓冲资本。
上一篇:存货经济批量模型
下一篇:CSFP信用风险附加模型
