特征寿命
由 Network 分享
时间:
什么是特征寿命
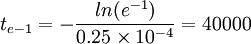
特征寿命是指可靠度为e − 1时的可靠寿命,记作te − 1。
特征寿命的计算
若已知某产品的失效率为常数,r(t)=r=0.25×10 − 4/h,可靠度函数R(t)=e − rt,试求可靠度R=99%的中位寿命t0.5。
解:已知R(t) = e − rt,两边取对数,即
lnR(t) = − rt
得

特征寿命
h
特征寿命是指可靠度为e − 1时的可靠寿命,记作te − 1。
若已知某产品的失效率为常数,r(t)=r=0.25×10 − 4/h,可靠度函数R(t)=e − rt,试求可靠度R=99%的中位寿命t0.5。
解:已知R(t) = e − rt,两边取对数,即
lnR(t) = − rt
得

特征寿命
h
LINKS