时间研究
时间研究(Time Study)
什么是时间研究
时间研究是指以设计最佳工作方法为目的对作业动作和时间进行的测定和研究。时间研究的创始人是F.W.泰勒。他测定了各种工作所需要的时间,并训练工人用规定的速度工作。
时间研究的目的
1.作业改善:透过时间的研究来改善工作。
2.标准时间制订: 对已较完善的作业,进行标准时间制订。
时间研究的准备
时间研究的作用
时间研究的主要技术
时间研究的主要技术有:
1.秒表计时研究:即用计时装置或用电影、录象实测作业中各动作元素所用的时间,根据测量数据计算该项工作所需的标准时间。
2.工作取样:即按随机的时距对作业者进行观察,记录各种特殊作业或空闲的次数,计算其占全部观察次数的百分比,以这个百分比来表示整个工作时间中该项作业或空闲时间所占的百分比,进而计算出该项工作的标准时间。
3.预定时间系统:即做各种作业动作所需的时间,将作业活动分解为基本动作,并确定每个动作所需的标准时间。
4.标准数据系统:即更大工作单元的作业时间数据库,这些工作单元是一些基本作业动作的组块,并与特定的机器或作业相联系。用标准数据系统计算工作的标准时间比预定时间系统使用起来更方便。
时间研究的主要用途
时间研究这种方法的主要用途是建立工作的时间标准,即上述的工作标准。一项工作(通常是一人完成的)可以分解成多个工作单元(或动作单元)。在时间研究中,研究人员用秒表观察和测量一个训练有素的人员,在正常发挥的条件下各个工作单元所花费的时间,这通常需要对一个动作观察多次,然后取其平均值。从观察、测量所得到的数据中,可以计算为了达到所需要的时间精度,样本数需要有多大。如果观察数目还不够,则需进一步补充观察和测量。最后,再考虑到正常发挥的程度和允许变动的幅度,以决定标准时间。
时间研究案例分析
案例一:时间研究实例分析
结合一个茶杯包装的例子(将一套6个茶杯装入纸盒,封口,码放)来具体说明时间研究的基本方法、步骤和要注意的事项。 一、 时间研究的基本方法和步骤 1、 步骤1:将工作分解成单元。例如,在茶杯包装事例中,可将这一工作分解成4个工作单元:
①取两个纸盒;
②将衬垫放入纸盒;
③将茶杯放入纸盒;
④?縁盒封口、码放。
将相关的数据纪录到数据纪录表中。
分解工作单元时要注意的几个问题是:第一,为了测量工作单元所花费的时间,每一工作单元都应该有明确的开始和结束标志第二,工作单元的划分不应是不到三秒就可完成的动作,因这种动作难以用秒表测量。例如,上述事例中的动作单元②如果再细分,还可分成三个单元:
①左手拿起衬垫;
②将衬垫打开(将放每个茶杯的网眼撑开);
③将衬垫放入纸盒。因为这几个动作的每一个都非常快,所以难以精确测量各自所需的时间。最后,如果这项工作已经进行了一段时间,已经有约定俗成的工作方法,那么动作单元的划分应与这样的工作方法保持一致。有些非正常的,偶然发生的动作(如:衬垫失手掉在地上)不应计算在工作时间内。
2、步骤2:测量各工作单元的时间。时间记录表的形式如下表所示。
表时间研究中的数据记录表(分钟)
| 工作单元 | 观测记录 | /overline{t} | F | RF | ||||||||||
| 1 | 2 | 3 | 4 | 5 | 6 | 7 | 8 | 9 | 10 | |||||
| 取两个纸盒 | t | |||||||||||||
| r | ||||||||||||||
| 将衬垫放入纸盒 | t | |||||||||||||
| r | ||||||||||||||
| 将茶杯放入纸盒 | t | |||||||||||||
| r | ||||||||||||||
| 纸盒码好、封口 | t | |||||||||||||
| r | ||||||||||||||
选择一名训练有素的人员作为研究对象,测量其每个工作单元所需的时间。常用的测量方法是连续测量法,即研究人员在每个工作单元的动作结束时,记下该时刻,列在表中的r行中,然后根据两个工作单元结束时刻的差即可得出第一个单元所花费的时间。 第2个工作循环中无第一个工作单元,因为第一个循环中一下取了两个,所以每两次循环中发生一次这个动作。假设这项试验共观察了10个工作循环,全部记录数据的表格如上表1所示。还应当注意的是,如果所观察测量的数值中有明显偏离于大多数其它数值的,就应分析它是不是由偶然因素引起的,例如工具失手,机器故障等。如果是的话,应将这样的数据排除在外。 将这样观察得到的数据取其平均,记在上表中的t列内。
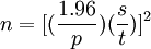
2、步骤3:决定样本的大小。上面表1的观察数是10个工作循环,这么多数是否够?通常,时间研究得出的工作时间估计值如果能达到实际工作平均时间的95%左右,就基本上满意(可定出更高的要求,但样本数会急剧变大)。可以按以下一个根据正态分布推出来的公式来决定样本数n:

式中,n——所需样本数;
p——估计精度,以真正时间值(未知)的偏离程度(%)来表示;
t——某单元测量时间平均值;
s——某单元样本标准差。
在上述事例,社估计偏离真正时间值的程度不超过4%,即估计精度为4%,可按下述方法决定该事例中所需的样本数。
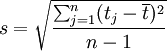
由于各单元的样本标准差和测量时间平均值不同,样本数有可能不同,因此为了到所希望的精度,应当选用最大的样本数。首先需要要求出样本标准差,它可以按下式计算:

其中,tj是第j个工作循环的测量时间值。n是测量次数。计算出来的n通常不是整数,取与之最接近的整数即可
4、步骤4:决定时间标准。在这一步骤中。首先要决定一个“正常时间”NT(Normal Time)这需要通过对被观察者的工作速度进行判断和评价来决定,即必须判断,该被观察者的工作速度是离子还是低于一般速度,高多少或低多少,这种评价用一个“绩效评价因子”(Perfomance Rating Factor,简称RF)来裴示这是研究人员的种主观评价,主要依据其经验。
决定正常时间时,另一个需要考虑的因素是,在一个工作循环内工作单元动作平均发生的频数F。
将测量值的平均值发生频数以及绩效评价因子三相乘,转即可得出一个单元i的正常时间NTi和个工依俑环所需的正常时间NTC , 用式子可表示如下:

| NTX = | ∑ | NTi |
| i |
但是,NTC还不能作为标准时间。因为,这样的时间值并采考虑人的疲劳。人需要休息时间有时会有不可避免的延误(由于偶然性事件所引起) 等等。因此,还需要在正常时回上再加上部分宽放时回(Allowance Time)来庆映这些因素这样才能得出切合实际的标准工作时间这样,标准工作时间ST(Standard Time)可表示为
其中A 是宽放时间因子,通常取值为10%-20%
二、时间研究中的主观判断和评价
对于一个研究人员来说,几方面的原因要求他必须在时间研究中进行主观判断和评价。首先,在定义所要研究的工作单元时必须十分谨慎。一个工作单元的动作时间不能太短,应该有明确的开始和结束标志。此外,有一些动作,发生频率低,但是是规则的,这些动作也必须计算在内。
其次,在某些工作单元的测量中可能会测到一些偶然性的、不规则的动作他们实际上不反映真正的操作要求,例如,失手掉工具、机器失灵等,这些动作和所花费的时间有可能使测出的时间不正确,因此必须在时间研究中排除这样的动作时间。但哪些动作是规则的,哪些是不规则的,需要研究人员主观判断。
再次,宽放时间应该多大,也需要进行主观判断。通常宽放时间的范围是正常时间的10%-20%,给出这样的宽放时间主要是考虑到人员的疲劳、动作迟缓等不易测量的因素。
最后,需要通过主观判断决定的一个最大问题是绩效评价因子的确定。在时间研究中,通常只是选择几名人员来进行观察和测量,他们的工作速度不一定正好代表大多数人的正常工作速度。这时,研究人员必须判断,通过对他们的观测所获得的数据是否代表正常速度;如果不是,应在多大程度上予以纠正(即因子数值的确定)。因为如果被观察者的平均速度高于正常水平,那么根据他们的工作速度制定出来的时间标准对于其它大多数人来说就是不公平的,实际上也是无法达到的。反过来,如果他们的速度低于正常水平,那么根据这样的结果制定出来的工作标准对于企业也是不公平的,企业会遭受一定的损失。尤其是在工作标准与工作报酬挂钩的情况下,工作标准过高或过低不是使员工,就是使企业遭到损失。常常有这种可能性,即员工一但看到他们被观察,就会有意放慢工作速度,因此,研究人员在研究过程中,还需判断有无这样的情况发生。如果有,则需进一步判断其程度,并将其反映在绩效评价因子中。
三、时间研究方法的优劣分析
时间研究方法是制定工作标准中使用最多的一种方法。训练有素并具有一定经验的研究人员使用这种方法可以制定出切合实际的工作标准。但是,这种方法也具有局限性。首先,这种方法主要适用于工作周期较短、重复性很强、动作比较规律的工作,对于某些主要是思考性质的工作就不太适用,例如,数学家求解问题,大学教授准备讲义,或寻找汽车故障的原因等。对于某些非重复性的工作也是不适用的。例如,非常规设备检修。其次,秒表的使用有一定的技巧性,一个没有任何使用经验的人测出的时间值有时误差可能很大,基于这样的数据很可能会制定出不正确的时间标准。再次,时间研究中所包含的一些主观判断因素有时会遭到被观测者的反对。
