假定产品法
由 Network 分享
时间:
什么是假定产品法
在多品种、中小批量生产的企业里,产品的结构、工艺、劳动量差别很大,难以确定代表产品,这时,可以采用假定产品的产量来表示生产能力。
所谓假定产品法,是指按各种具体产品工作量比重构成的一种实际上不存在的产品,为结构与工艺差异大的产品假定的一个统一的计量单位,来核定企业的生产种具体产品的生产能力能力的方法。
假定产品其实是表示同系列或同类产品产量的一种假定综合产品。
假定产品法的步骤
用假定产品法核定企业的生产种具体产品的生产能力能力,一般来说,要经过三个步骤:
其一,计算假定产品台时定额t,其实质是求全部产品台时定额的加权平均数。
其二,计算设备组假定产品的生产能力,用单一品种生产能力核定方法计算。
其三,计算设备组各具体产品的生产能力。
第i种产品的生产能力=设备组假定产品生产能力×第i种产品占假定产品总量的百分比
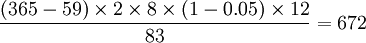
例:某企业生产甲、乙、丙、丁四种产品,其计划产量分别为200、100、300和50台,各种产品在机械加工车间车床组的台时定额分别为50、80、100和120台时,车床组共有车床12台,两班制,每班工作8小时,设备停修率为5%,试求车床组的生产能力。
解:1)假定产品的台时定额=
(台时)
2)设备组假定产品能力=
(台)
3)计算各具体产品生产能力:
甲产品生产能力=
(台)
乙产品生产能力=
(台)
丙产品生产能力=
(台)
丁产品生产能力=
(台)
