经济批量法
什么是经济批量法
经济批量法是指根据单位产品支付费用最小原则确定批量的方法,又称“最小费用法”。生产批量的大小对成本影响较大。批量大,可以减少设备调整费用,而在制品费用却相应增大;批量小,虽可减小在制品费用,但却要增大设备调整费用。
经济批量法是确定批量和生产间隔期时常用的一种以量定期方法。生产费用与批量之间存在着函数关系,批量主要通过两方面因素影响生产费用:一是生产准备费用,这部分费用随生产批次增减而变化;二是保管费用,即在制品在存储保管期间所发生的费用,如仓库管理费用、资金呆滞损失、存货的损耗费用等。这些费用与批量大小和存储时间长短有关。

经济批量法案例分析
案例一:经济批量法在企业短期筹资决策中的应用
一
《中共中央关于国有企业改革和发展若干重大问题的决定》指出“ 狠抓管理薄弱环节。重点搞好成本管理, 资金管理, 质量管理。”也就是说, 资金管理是企业管理薄弱环节之一。而资金的筹集则是资金运动的起点, 是企业资金管理的一项重要内容。因为筹资数量的大小及筹资方式的选择都会直接影响资金的使用效果, 筹资过多增加筹资费用, 如得不充分有效地使用, 将造成资金闲置, 影响资金的利用效果筹资不足又会影响资金供应, 保证不了生产经营和发展资金的合理需要。因此, 加强资金筹集的管理, 提高企业的筹资决策水平, 对于搞好企业的资金管理, 降低资金成本, 提高经济效益, 从而提高企业的市场竞争能力都具有重大的意义。
企业在生产经营过程中, 经常会遇到批量决策间题, 如存货的采购批量, 存货的生产批量, 已销产品的发货批量以及企业的筹资批量数量等。经济批量是既能满足生产经营需要, 又能达成成本最低要求的批量。经济批量分析法是企业常用的决策分析方法之一。它运用于企业的供应过程, 可确定使存货的储存成本与订货成本之和最低的经济订货批量它运用于企业的生产过程, 可确定使存货的储存成本与生产准备成本之和最低的经济生产批量。笔者以为, 在市场经济条件下, 经济批量法同样也可运用于企业资金的筹集决策过程, 尤其是短期资金的筹集决策过程。
二
任何企业在开展生产经营活动时, 都必须拥有足够的资金。在市场经济条件毛企业有更多的渠道和机会筹集大量的资金, 筹资的渠道和方式也灵活多样。比如向商业银行贷款, 经金融主管部门批准发行股票, 发行债券或采用票据贴现方式或采用融资租赁方式或采用自行积累方式等。而任何筹资渠道和方式都要求企业付出一定的代价, 即资金的总成本, 它包括资金筹集成本和资金持有成本。资金的筹集成本是在资金筹措过程中支付的各项费用, 主要包括向银行借款的手续费, 发行股票、债券而支付的各项发行费用如印刷费、手续费、公证费、广告费等。资金的持有成本, 又称资金的使用费, 是指资金使用人在生产经营过程中, 因使用资金而支付给资金所有者的资金使用报酬, 主要包括支付给股东的股利, 支付给债权人的利息费用等。
企业所需要的资金有长期资金和短期资金, 短期资金的筹集方式主要有商业信用应付帐款, 应付票据, 预收货款等, 短期借款周转借款, 临时借款, 结算借款和贴现借款和发行短期债券。短期资金的筹集与企业日常生产经营活动密切相关, 在一个生产经营周期营业周期内往往发生多次, 如短期借款, 发行短期债券等。同时, 企业经营周期内所需短期资金的总量也是可以确定的。因此, 在这一条件下, 企业在一个经营周期内筹资的次数或数量却可具有一定的弹性, 它受制于每次筹资的费用和资金的使用费用。即在一个经营周期内一次筹资数量越大, 筹资次数就越少, 筹资费用就较少, 而资金的使用费则较高反之, 一次筹资数量越小, 筹资次数就越多, 则筹资费用就较高, 而资金使用费则较少。也就是说筹资数量同筹资成本和持有成本使用费之间存在着此增彼减和此消彼长的函数关系。鉴于此, 笔者以为, 在短期资金的筹集决策过程中, 可以运用经济批量法的基本原理来求出使筹资成本和持有成本之和最低的筹资数量, 即经济筹资数量。从而降低资金的成本。
设:Q——为每次筹资数量T——为经营周期内所需的短期资金的总量;
D——为每次筹资发生的筹资费用;
K——为单位货币资金的年使用费可以用利息率表示;
C——为经营周期内所需短期资金的总成本。
一个经营周期内短期资金的持有成本
贝在一个营业周期内短期资金的总成本
用微分求Q的导数并令其结果为零。即求函数C的最小值。

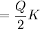
得
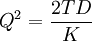
从而得出

上图表示了一次筹资数量和经营周期内的筹资成本及持有成本之间的关系。曲线Ⅰ反映了一个经营周期内的筹资成本随着一资筹数量的加大而减少直线Ⅱ反映了一个经营周期内的资金持有成本随一次筹资数量的加大而增加曲线Ⅲ反映了筹资成本和持有成本之和, 即一个经营周期内短期资金成本。从图中可看到,Ⅰ和Ⅱ的交点所对应的筹资量, 即为在一个经营周期内企业短期资金成本和短期资金的持有成本之和最低的筹资数量, 即经济筹资数量(O * )。
企业在经营周期内每次的筹资数量经济筹资数量确定后, 筹资的次数和相应的时间也就确定了。
三
从以上分析可以看出, 企业在短期资金的筹集决策过程中, 运用经济批量法不但可以降低资金的成本, 为提高资金的使用效率奠定了良好的基础。同时, 还可为企业决策人员进行正确的筹资决策从数量上提供参考依据。但需要指出的是, 经济批量法在筹资决策中实际应用时, 也存在着一定的局限性, 它必须建立在能满足企业生产经营循环中对资金时间与数量需要前提条件的基础上。另外, 在短期筹资中运用经济批量法是在对筹资环境相对乐观估计下所做的静态分析计算, 在环境变化或不确定的情况下, 必须引入适当的敏感性分析及与决策人员的经验结合起来, 这样才更具有实用价值。
