过程决策程序图法
过程决策程序图法(PDPC法,Process Decision Program Chart),也称流程决策程序图(Process Decision Program Diagrams)
过程决策程序图法概述
过程决策程序图法(PDPC)是在制定计划阶段或进行系统设计时,事先预测可能发生的障碍(不理想事态或结果),从而设计出一系列对策措施以最大的可能引向最终目标(达到理想结果)。该法可用于防止重大事故的发生,因此也称之为重大事故预测图法。
由于一些突发性的原因,可能会导致工作出现障碍和停顿,对此需要用过程决策程序图法进行解决。
过程决策图法的优点
过程决策图法具有很多优点,具体来说主要有以下四点:
1、能从整体上掌握系统的动态并依此判断全局
据说象棋大师可以一个人同时和20个人下象棋,20个人可能还下不过他一个人。这就在于象棋大师胸有全局,因此能够有条不紊,即使面对20个对手,也能有把握战而胜之。
2、具有动态管理的特点
PDPC法具有动态管理的特征,它是在运动的,而不像系统图是静止的。
3、具有可追踪性
PDPC法很灵活,它既可以从出发点追踪到最后的结果,也可以从最后的结果追踪中间发生的原因。
4、能预测那些通常很少发生的重大事故,并在设计阶段预先考虑应付事故的措施
PDPC法可以预测那些通常很少发生的重大事故,并且在设计阶段,预先就制定出应付事故的一系列措施和办法。
换句话说,掌握了这些思考方法以后,所有的人都可以成为一个诸葛亮,做到运筹帷幄,料事于先。
PDPC法的分类
PDPC法可分为两种,一种是顺向思维法;一种是逆向思维法。
顺向思维法
顺向思维法是定好一个理想的目标,然后按顺序考虑实现目标的手段和方法。这个目标可以是任何的东西,比如大的工程、一项具体的革新、一个技术改造方案等。为了能够稳步达到目标,需要设想很多条路线。

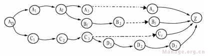
顺向进行的PDPC法示意图
总而言之,无论怎样走,一定要走到目的地。但行走的方案,并不需要真正等到碰得头破血流以后才去解决,而应该事先就已经讨论过了,所有的问题应该预先都预测到了。这样的话,在计划的实施过程中,就不会害怕突发性的事故了。
逆向思维法
当Z为理想状态(或非理想状态)时,从Z出发,逆向而上,从大量的观点中展开构思,使其和初始状态A0连接起来,详细研究其过程做出决策,这就是逆向思维法。如图所示:

逆向进行的PDPC法示意图
逆向思维应该考虑从理想状态开始,考虑实现这个目标的前提是什么,为了满足这个前提又应该具备什么条件。一步一步退回来,一直退到出发点。
通过正反两个方面的连接,倒着走得通,顺着也可以走得通,这就是PDPC法一个正确的思考办法。
PDPC法的运用及实例
PDPC法有五大方面的用处,它们分别是:
1、制定目标管理中间的实施计划,怎样在实施过程中解决各种困难和问题;
2、制定科研项目的实施计划;
3、对整个系统的重大事故进行预测;
4、制定工序控制的一些措施;
5、义务选择处理纠纷的各种方案。
实际上PDPC法在哪里都可以应用,远远不止这五个。只要做事情,就可能有失败,如果能把可能失败的因素提前都找出来,制定出一系列的对策措施,就能够稳步地、轻松地到达目的地。
任何一件事情的调整都是很不容易的,整个生产系统就像一张巨大的网,要动一个地方跟着就要动一片。
所以说,PDPC法是一个系统思考问题的方法,而生产、生活的复杂性,也要求人们在办事情、做计划、干事业的时候要深思熟虑,不能马虎大意、随随便便,否则的话就会一招不慎,满盘皆输。这也是“成于思,毁于随”的真正意义所在。
PDPC法应用于质量管理
PDPC法是动态的手法,应用于质量管理时,可分两个阶段进行。
1.问题的计划程序阶段。
根据以往的分析、经验以及固有的技术等,提出用语言资料表示的各种存在问题,注意不要遗漏,还需注意解决措施的提出。
2.问题过程中修订计划程序阶段
根据计划程序执行过程中不断出现的情况迅速处理使目标难以实现的事态。
PDPC法案例分析
案例一:浅淡PDPC法在运输质量管理中的应用
PDPC方法体现了全面质量管理“全过程管理”的思想,它以系统的动向为中心,掌握系统的输入和输出间的相互关系,能从某一输入出发,依次追踪系统的运转,找出“非理想状态”,追求全过程的、整体的效应。铁路运输系统点多、线长、面广、生产环节多、连续性、整体性强,其生产由“技术准备、基本生产、辅助生产、生产服务”等过程构成了客货在空间位置上位移的全过程。
铁路运输生产构成了一个复杂的系统。就是说从制订运输计划开始,到货物承运、装车、运输、卸货、交付是一个综合体系。如果按照货物运输做到“门到门”,服务还要加上汽车运输才能构成完整的运输系统。因而,研究货运质量至少必须考虑承运车站和到达车站货运质量的规律。也就是说运输质量管理的研究对象,应取动态的全过程的系统。
PDPC方法体现了全面质量管理变事后把关为事先预防、变管结果为管因素,实行质量控制的思想。运输业的产品是非实物形态的,它和工业产品不同,它的质量问题可出现在运输过程从开始到结束每一个环节,且都能够造成运输终结时的质量事故。
比如货主托运一批箱装玻璃,在办理托运手续后,可能因入库(场)保管或堆码不当造成玻璃损坏,此时,尽管还没有发生位置移动,可是就造成了与运输终结时同样效果的质量事故。加之,运输生产环节诸多,作业场地变化大,受自然条件限制等多种因素的影响,保证运输生产的“产品质量”相对于其它生产部门难度更大。在组织运输生产时,事先对生产过程中可能发生的问题采取防范措施显的尤为重要。
PDPC法在运输质量管理中具有运用灵活、方便的特点。如车站(货场)要解决货物货运质量差减少货赔问题可运用PDPC法,首先,作出两站问货物运输全过程的质量事故决策程序图,对从起运车站(货场)将受托运货物开始,到装车运输直到到达交付给收货人这中间可能出现的问题无遗漏的设想,并提出相应的对策减少货物运输事故。
对策1:收货承运车站(货场)严把入库验收关,对进货包装不合格、标示不清、标签不牢的货物不予受理,不入库。重要物品要开箱检查、过磅、清点、计量准确,防止票货不符。同时要派人员深入货主单位,宣传“包装标准与要求”。
对策2:货场(仓库)堆码标准化,按照装卸堆码“32字”标准堆码,票货相符、保管妥善,交接班清楚防潮、防鼠、防盗、防火。
对策3:出仓上车、装卸操作按标准化作业,搬运轻拿轻放。
对策4:装车作业,工具使用恰当、件数准确、配装规范。
对策5:交付货运员与装车货运员要交接清楚,防止漏装,作好运输途中的防雨、防盗、防火安全措施。
对策6:到达卸货,操作标准化,防止野蛮装卸。
对策7:理货交接清楚,货主提货时,尽量提供方便,并开展跟踪服务活动。
作出对策后,再按全面质量管理PDCA循环的工作程序,把对策措施落实到各个环节、各工序,重点工序建立质量管理点,重点控制。除此之外,PDPC方法还可以用于制定运输生产,经营目标管理的实施计划。
