多品种轮番生产的最小生产费用计划方法
由 Network 分享
时间:
多品种轮番生产的最小生产费用计划方法
多品种轮番生产的最小生产费用计划方法是车间制定生产作业计划时常可用到的一种很有用的定量方法。这种方法的思路是将计划期划分为几个长度相等的循环流程,在每个循环流程中实行多品种轮番生产;以循环流程长度作为因变量,列出生产费用函数,求出最小费用循环流程;最后从该流程长度推算出各品种的批量。
多品种轮番生产的最小生产费用计划方法计算公式
设:
Di--第i种产品计划期需求量;
Pi--第i种产品计划期生产能力;
tmi--第i种产品单件加工时间,
;
ti--第i种产品批量生产时间,ti = Qitmi;
tsi--第i种产品准备与结束时间;
Si--第i种产品一次准备、结束单位时间的费用;
Ci--第i种产品单位产品计划期储存费用;
Qi--第i种产品生产批量;
Ii--第i种产品在制品数量;
L--循环流程长度.

生产批量Qi与循环流程有如下关系式:

在计划期T内(T为一个月)的各个品种生产次数N和计划期内的总生产准备费用Cs分别为:


为了计算在制品储存费用,需要知道平均在制品数量。现假定制品是随时生产随时运送,此时制品在生产过程中的库存变化如下图所示:

图:在制品库存变化图
从上图可以看出,ti时间内,在制品存量增加速度是(Pi − Di),到ti结束时,则有品种i最大库存量Iimax
Iimax = ti(Pi − Di) = (Pi − Di)Qitmi

平均库存量Ii为最大库存量的
,因此有公式:

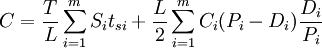
计划期库存总费用Ci计算公式为:

计划期内生产总费用C为两者之和:

上是对L微分,令一阶导数为0,并令T为1(月),可得如下结果:

此方法的循环流程长度是规则的,此外还有其他一些规则循环流程的最小费用批量法。
