转移定价
转移定价(transfer pricing)
转移定价的概念
转移定价一般指大企业集团尤其是跨国公司,利用不同企业不同地区税率以及免税条件的差异,将利润转移到税率低或可以免税的分公司,实现整个集团的税收最小化。具体的说,该企业集团倾向于在税率高的地方定价偏低,而在税率较低的地方定价偏高。
跨国公司内部,在母公司与子公司、子公司与子公司之间销代产品,提供商务、转让技术和资金借贷等活动所确定的企业集团内部价格。这种价格不由交易双方按市场供求关系变化和独立竞争原则确定,而是根据跨国公司或集团公司的战略目标和整体利益最大化的原则由总公司上层决策者人为确定的。
由于跨国公司内部企业之间的关系不同于一般的独立企业之间的关系,其内部价格也不是在公平的市场竞争中形成的,我们称之为转移定价。
转移定价的两种方法
转移定价的方法有两种:一是按“成本加价”基础确定;一是购销双方按“谈判价格”来确定。前者价格同内部成本有着密切的关系;后者则是广泛的战略性限制占统治地位。在国际交易中究竟决定使用何种定价,关键因素在于买方能否从外部得到该产品。如果外部市场不存在,则流行“成本加价”公式。谈判价格或高于市场价格,或低于市场价格,在最高供应价和最低购买价之间徘徊。实际使用的转移定价制度,必须与具体子公司的预算或利润目标相联系,从而保持管理的动力。如果转移定价方法影响了一家特定分公司的利润,那么,必须把利润以外的其它标准作为其经营目标。实行以成本加价的方法定价十分复杂,一般采用内部成本或外部市场价格作为基础。前一种情况下,如果生产从上一个阶段转移到下一个阶段时,转移的单位是一个成本中心,则按成本为基础确定转移价格;如果单位是利润中心,则成本加一定百分比的毛利作为定价基础;从事同一类产品生产的单位间横向转移,通常采用成本加管理费作为定价基础。在后一种情况下,一般采用从国际市场取得实际市场价格作为定价基础。同样,谈判价格的确定也十分复杂。例如,技术转让价格的确定有很大的随意性,但最终取决于讨价还价的能力。
转移定价的形式及支付方式
国际企业内部的转移定价从形式上不仅包括有形资产的转移,还包括无形资产的转移;从支付方式上不仅包括贸易性支付,还包括非贸易性支付。下面介绍一些国际企业常用的转移定价方式:
①货物价格。在国际企业的转移定价中,货物价格的使用占了很大比重。所谓货物,包括了生产过程中的原材料、零部件、中间产品、制成品和机器设备等。企业通过使货物价格高于或低于正常交易原则下的市场价格,实现利润的转移、资金的流动。
②劳务费用。在国际企业体系中,各子公司之间可以通过提供服务,收取高额或低额服务费用来实现转移定价。如通过收取劳务费用,由子公司替母公司分摊管理成本。劳务费用有技术性劳务费和管理性的劳务费。
③ 专利和专有知识。对技术特许权使用的支付,可以用单纯的形式或隐藏在其它价格中,由于专利和专有知识具有独此一家的特点,其有价格不可比性,所以国际企业可以在这方面大作文章,达到各种目的。其它专利化的专有知识和技术、商业秘密、商业信誉等,也具有这样的性质。这也是国际企业经常使用的转移定价方式。
④贷款。在母公司对子公司进行投资的过程中,贷款较之参股具有更大的灵活性。因为子公司用股息形式偿还母公司的投资,在纳税时不能作为费用扣除,但支付的利息则可以作为费用扣除,而且母公司还可以根据整个公司情况制定利息率的大小。比如,为了增加子公司产品的竞争能力,可以不收或少收利息,使子公司减少产品的费用;相反,为了造成子公司亏损的局面,达到在东道国少交税的目的,则按较高的利率收取利息。当然母公司对子公司的放款不是无限制的,它要受到各国规定的公司债务产权比的制约。
⑤租赁。租赁是一项相对较新的经济活动形式,近年来,获得了迅速的发展。由于某些企业的工业、商业或科学设备在一定时期内可能出现闲置,而另外一些企业又急需这些设备,就使得租赁可以临时性的非正式方式满足双方的要求。随着租赁活动的发展,某些长期需要工业、商业或科学设备的企业发现利用租赁而不是购买这些设备具有财务上的好处,因为这样免去了筹资的负担,且风险小。
租赁可以作为转移定价的一种方式,在国际企业内部将一个公司的资产堂堂皇皇地转移给另一个公司,从而达到减轻税负的目的。比如,位于高所得税国的子公司A借入资金购买一项资产,并以最低的价格租赁给低税国或无税国的另一个子公司B,该子公司B再将此资产以尽可能高的价格租给另一个子公司 C,从而达到整个企业减少纳税的目的。另外,也可以将设备租赁给一个位于难得获得贷款的东道国的子公司。
我国外商投资企业转移定价的动机
1、利用转移定价,逃避我国税收管辖,最大限度的获取利润。跨国公司在国际激烈的竞争环境中,为了获取最大限度的利润,满足其专业分工和协作的要求,通常从世界市场的大范围出发,规划其生产和销售,使之更有效地组织经济要素的投入,往往利用转移定价这种手段。
| 战略管理工具 | ||||||||||||||||||||||||||||||||||||||||||||||||||||||||||||||||||||||||||||||||||||||||||||||
|---|---|---|---|---|---|---|---|---|---|---|---|---|---|---|---|---|---|---|---|---|---|---|---|---|---|---|---|---|---|---|---|---|---|---|---|---|---|---|---|---|---|---|---|---|---|---|---|---|---|---|---|---|---|---|---|---|---|---|---|---|---|---|---|---|---|---|---|---|---|---|---|---|---|---|---|---|---|---|---|---|---|---|---|---|---|---|---|---|---|---|---|---|---|---|
| ||||||||||||||||||||||||||||||||||||||||||||||||||||||||||||||||||||||||||||||||||||||||||||||
2、利用转移定价,实现跨国公司内部管理的需要。我国境内的外商投资企业,其领导层机构大都设在境外,为了实现跨国公司内部经营管理的需要,不惜牺牲中方合资者的利益。
3、利用转移定价,规避各类风险。跨国投资时时刻刻都面临着各类政治或经济风险,如战争、政局动荡、政府征用、没收、外汇管制、通货膨胀、银根紧缩等。
转移定价的具体手段
1、转移定价的手段
1)通过关联企业之间的购销业务转移定价。
2)通过关联企业之间的劳务提供转移定价。外资企业与境外的关联企业之间发生的劳务服务业务多种多样,转移定价很容易实现。
3)通过关联企业之间的资金往来转移定价。主要是通过外资企业与境外关联企业之间的资金融通业务。
4)通过关联企业设备的提供转移定价。
2、转移定价的方法
1)按“成本加价”基础确定。这种方法的价格同内部成本有着密切的关系,在国际交易中究竟决定使用何种定价,关键因素在于买方能否从外部得到该产品。
如果外部市场不存在,则流行“成本加价”公式。谈判价格或高于市场价格,或低于市场价格,在最高供应价和最低购买价之间徘徊。实际使用的转移定价制度,必须与具体子公司的预算或利润目标相联系,从而保持管理的动力。如果转移定价方法影响了一家特定分公司的利润,那么,必须把利润以外的其它标准作为其经营目标。实行以成本加价的方法定价十分复杂,一般采用内部成本或外部市场价格作为基础。这种情况下,如果生产从上一个阶段转移到下一个阶段时,转移的单位是一个成本中心,则按成本为基础确定转移价格;如果单位是利润中心,则成本加一定百分比的毛利作为定价基础;从事同一类产品生产的单位间横向转移,通常采用成本加管理费作为定价基础。
2)购销双方按“谈判价格”来确定。这是广泛的战略性限制占统治地位。在这种情况下,一般采用从国际市场取得实际市场价格作为定价基础。
转移定价的管理功能
从管理学的角度看,转移定价是跨国公司手中的一个重要的经营管理工具,离开了转移定价,跨国公司的发展乃至生存就会受到极大的限制。转移定价在公司管理中的功能和作用可以从以下几个方面来说明。
(1)转移定价是跨国公司内部资源配置的“指示器”。解释跨国公司发展的一个重要观点是所谓的内部化理论。该理论认为,跨国公司通过内部交易,可以用内部市场替代外部市场,这种替代既可以降低外部市场的不确定性、减少交易成本、维持公司的垄断优势,同时也能够提高资源在公司集团内部的配置效率。而要做到这一点,必须要有一个能替代外部市场定价机制的内部转移定价,这种转移定价就像一个“指示器”,可以反映跨国公司内部资源配置的状况。
(2)转移定价是跨国公司组织形式向分权化发展的重要保障。跨国公司组织形式的分权化是指跨国公司集团内部的各关联方(企业或分支机构)在集团内部均为相对独立的责任中心(成本中心、利润中心和投资中心),具有自己独立的利益。为了保证这种分权化的实施,跨国公司必须能够考核各关联方的业绩,而转移定价可以提供对各责任中心经营业绩进行评价的机制。通过转移定价,各关联方企业可以确定和反映自己在经营活动中的努力情况和工作业绩,母公司则可以根据各关联方的经营业绩对其进行适当的奖励和激励。总之,跨国公司在分权化管理的同时可以利用转移定价协调各关联方的利益,避免内部利益冲突。
(3)转移定价是跨国公司实现其全球发展战略、谋求利润最大化的便利工具。转移定价与市场定价的最大不同在于,它可以不受市场供求的影响,跨国公司母公司通过人为操纵转移定价可以达到多种管理目标。这种管理目标既有占领市场、规避货币风险等非税收方面的目标,也有减轻公司集团全球总税负的税务目标。
(4)转移定价是跨国公司实现知识产品内部化的重要手段。跨国公司一般都拥有技术和管理经验等知识产品,这种知识产品是其在市场上保持竞争优势的有力武器。为了防止技术外溢和降低交易成本,跨国公司往往通过直接投资的方式将知识产品在公司内部进行交易,知识产品内部化是战后跨国公司迅速发展的重要动因。而知识产品的内部交易也要求有一套灵活的、不同于外部市场的定价方式。
转移定价对我国经济的影响
虽然外资企业在我国的转移定价并不完全是为了减轻我国的纳税义务,更不是为了减轻其全球的纳税义务,而是为了谋求一定的经营管理策略和利益,但转移定价给我国经济带来的问题却不容忽视。许多外商投资企业一方面连年亏损,一方面却不断追加投资,扩大经营规模,属于"常亏不倒户"。这种情况显然不符合市场经济和企业经营的常规,对我国经济发展的正常秩序造成了严重危害:其一,转移定价背离了我国税收激励政策,对引进外资造成了负面影响。外商为了使自身利益的最大化,将利润转移到境外,造成了资本外流,影响再投资的效率,导致短期投资行为增加;外资企业的帐面亏损,给其他潜在的外国投资者造成投资环境不良的印象,打击了这些投资者进入中国市场投资的决心,从而与我国采用税收激励政策吸引投资的意图相违背。其二,转移定价侵害了我国的税收管辖权,导致政府财政收入减少的同时,给外商投资企业的中方造成了巨大的损失。跨国公司每年避税给我国造成的损失在300亿元以上,合资企业的中方更因企业亏损而不堪重负,其利益受到了严重的侵害。最后,转移定价扰乱了我国正常的经济秩序,破坏了公平竞争的经济环境,毕竟不是全部的外资企业都从事转移定价,它显然不利于那些诚实纳税企业在市场经济条件下的公平竞争。
"九五"期间我国加快了反避税工作的基础建设,于1998年5月颁布了《关联企业间业务往来税务管理规程》,但效果与西方国家(如美、日)比较完善的转移定价对策税制相差甚远。因此,为体现WTO"自由、公平、公正"的竞争精神,在保障企业获得应有的基本权利的同时,首先必须完善我国外商投资企业的税收法律,针对逆向避税这一特殊问题,制定对策税制,严格区分合法避税与逃税,将利用转移定价转移利润出境界定为逃税,对此行为给予严厉的制裁;其次,设立外商投资企业时,应注意在各个方面保护中方投资者的利益。中外合资或合作合同要从保护投资双方的利益出发,不能因吸引外资而放弃中方应得的利益;在外资企业的经营管理上,中方应引进高素质的管理人才,充分了解市场信息,以掌握经营管理和利益分配的主动权;最后,改善我国的投资环境,在运用财政激励政策吸引外资的同时,不断提高我国法制化程度。大力发展基础设施建设,逐步用良好的投资环境代替税收利益的牺牲;加强对外资企业的管理和稽查,使用先进的税收征管手段,维护我国的经济权益。
转移定价案例分析
案例一:多产品企业集团的中间产品转移定价策略分析
一、关于中间产品的转移定价问题,在国内外的会计和管理文献中进行过大量的研究。Hirshleifer(1956)最早运用微观经济学的原理,建立了确定性环境下企业集团的转移定价模型,推导出当中间产品存在不完全竞争的外部市场时,转移价格等于边际成本,能够使集团公司达到整体利润最大化。这一观点被随后的一些学者所支持(Solomons(1965),Horngren & Foster(1987),Thomas(1980))。唐小我(2002),将研究扩展到由个子企业组成的垂直一体化企业集团内部,假设存在一般成本函数和需求函数以及成本函数和需求函数未知的条件下,得出最优转移定价等于中间产品的边际成本。关于基于成本的转移定价方法,其它学者也提出了不同的观点。Arrow(1964),Dopuch & Drake(1964),Samuels(1965)等在考虑企业自主权、产品多样性等特征的基础上,提出以机会成本为基础的转移定价策略。Benke & Edwards(1980)提出了实际总成本定价、标准总成本定价、标准总成本加成定价、实际成本加成定价。Harris,Kribel,Raviv(1982)通过引入信息不对称,建立了由一个委托人(集团总部),一个上游子企业,个下游子企业组成的企业集团的转移定价模型.研究发现各个子企业经理都试图夸大前一阶段资源提供的好处以减少自己的努力程度.他们对前一阶段资源的索取量超过了他们的实际需求.因此为了避免下游子企业对资源的索取量超过实际需求量,中间产品的转移价格应高于中间产品的实际成本[10].Amershi(1990)和Vaysman(1996)提出信息不对称条件下最优转移定价为成本加成法,即由标准成本加上信息价值和代理人的报酬(2000)分别就完全信息、纯逆向选择、逆向选择与道德风险建立了三个转移定价模型,得出最优的转移定价方法应是标准平均成本加成法。
然而,上述结论大都是在一个集团公司生产一种最终产品的假设前提下得出的,虽然这种假定简化了研究过程,但与现实市场上大多数企业集团生产多种最终产品的实际情况不相符合,因此,使这些研究结论的实际应用范围受到了一定的限制本文在现有研究结论的基础上,放松了集团只生产一种产品的假设条件,研究了一集团生产多种产品的情况,在充分考虑多种最终产品之间的不同关系对转移定价决策影响的基础上,得出了生产多种最终产品的企业集团,最优转移定价策略应随着最终产品之间关系的不同而有所差异,当多种最终产品之间为互补关系时,转移价格应小于中间产品的边际成本;当多种最终产品之间完全独立时,转移价格应等于中间产品的边际成本;当多种最终产品之间为替代关系时,转移价格应大于中间产品的边际成本。
二、模型建立
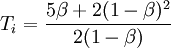
为了简化分析过程, 本文仅限于分析生产两种产品的情况, 对于多于两种产品的企业集团转移定价问题将另撰文讨论 假设企业集团由生产总部和两下游子公司组成 总部生产一种中间产品, 提供给子公司i(i=1,2)。子公司i将总部提供的中间产品进一步加工成为最终产品, 销往外部市场, 假定每个子公司只加工生产一种最终产品 由于两下游子公司生产的最终产品之间具有三种可能的类型: 独立型、 替代型和互补型, 本文将分析在不同类型的最终产品条件下, 集团应如何进行中间产品的转移定价决策设集团总部生产中间产品的成本为单位成本 ,C下游子公司i加工中间产品成为最终产品的成本为单位成本ci。假设最终产品的市场需求函数为线性函数Qi = α − Pi + βPi,其中
,i,
(下文提到的i,j约束条件与此相同)。β的取值区间为开区间, 表明最终产品的价格与需求量之间的间接效应小于直接效应, 即其它产品价格对需求的影响小于自身产品价格对需求的影响.当β在 (0, 1) 区间取值时, 表明下游各子公司的最终产品之间是替代关系, 当β在 (- 1, 0) 区间取值时, 表明下游各子公司的最终产品之间是互补关系, 当β= 0时, 表明下游各子公司的最终产品之间是完全独立的.下面着重分析不同的最终产品类型下集团总部的转移定价决策方法。
三、转移定价决策分析
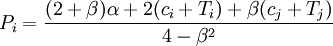
假定集团公司为非中心化结构,各子公司具有价格决策权 集团公司的价格决策过程可描述为:首先集团总部决定中间产品的转移定价,然后两下游子公司根据总部转移价格的高低同时决定最终产品的价格和产量 决策过程相当于一两阶段完美信息动态博弈,可以采用逆推归纳法求解均衡结果假定生产总部的生产能力完全可以满足下游子公司的需求首先,从博弈的第二阶段开始, 下游子公司在给定转移价格的条件下,根据各自的利润最大化,同时确定最优的最终产品价格 为分析方便, 假设下游子公司生产一单位最终产品刚好需要上游子公司提供一单位中间产品。
(1)
假设下游子公司的利润函数πi是关于最终产品价格Pi的严格凹函数,对(1)式求偏导,得下游子公司的反应函数为:
(2)
求解上式方程组,得最终产品价格与转移价格之间的关系式,
(3)
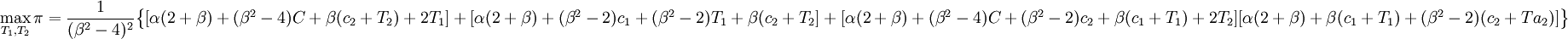
然后进入博弈的第一阶段,集团总部根据第二阶段得到的结果,确定达到集团利润最大化的转移价格Ti。
maxπ = (p1 − c1 − C)(α − Pi + βP2) + (p2 − c2 − C)(α − P2 + βP1) (4)
将(3)式代入(4)式,得

对(5)式针对T1,T2求极值得,
(6)
求解方程组(6)得均衡转移价格为,
(7)
由(7)式可以看出,中间产品的均衡转移价格除了与中间产品的生产成本C有关外, 还与下游子公司加工中间产品为最终产品的成本cj ,以及最终产品之间的关系系数β有关并且针对各下游子公司的加工成本不同,集团总部对中间产品采用了差别定价[16](假设集团总部可以限制下游子公司之间的套利行为)。
由(7)式可得,
(8)
(9)
由(8)式可以看出,当cj,β给定时,转移价格Ti与中间产品的生产成本C成正相关关系,随着中间产品生产成本的增大,转移价格将不断增加由(9)式可以看出,当cj,β给定时,转移价格Ti和下游子公司的中间产品加工成本cj之间的相关关系与最终产品之间的关系系数β密切相关。随着下游子公司加工中间产品成本的变化,集团总部的转移定价策略表现出不同的形式:。
当各下游子公司生产的最终产品之间为替代关系,即
时, 随着子公司j的加工成本cj的增大,集团总部供给子公司i的转移价格Ti将不断减小 可以解释为集团总部通过转移定价策略促使下游子公司相互竞争, 不断降低成本,从而达到集团的总体利润最优;当各下游子公司生产的最终产品之间为互补关系,即
时, 随着子公司j的加工成本cj的增大,集团总部提供给子公司i的转移价格Ti也将不断增大 可以解释为当下游子公司生产的最终产品为互补关系时,它们之间具有正的外部效应,从而集团总部通过转移定价策略调整下游子公司的成本,以使各下游子公司的产品价格尽量保持一致,以达到集团的总体利润最优当下游子公司生产的最终产品之间相互独立,即β=0时,转移价格不受下游子公司加工成本的影响接下来分析当C,cj给定时,β和转移价格之间的关系。
将(7)式代入(3)式, 计算得最终产品的市场价格为,
(10)
由于最终产品市场为不完全竞争市场, 因此,Pi > C + ci。即,
α > (1 − β)(C + ci) (11)
同理,可得,
α > (1 − β)(C + cj) (12)
令γ = α − (1 − β)(C + cj),,将(7)式进一步化简的,
(13)
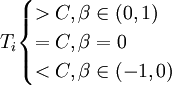
由(13)式可以得出如下结论:
![]() | 即最终产品之间为替代关系时,转移价格大于边际成本; |
| 即最终产品之间相互独立时,转移价格等于边际成本; | |
| 即最终产品之间为互补关系时,转移价格小于边际成本。 |
引理1 下游子企业的市场均衡价格,随着转移价格的增加而严格递增。即
,
(15)
引理的第一个条件表示转移价格对自己企业最终产品价格的直接影响.直观上很容易理解,当转移价格增加时,下游子公司的边际成本将随之增加,边际成本曲线将向上移动,边际收益曲线保持不变,根据边际收益等于边际成本的均衡条件,均衡点将向上移动,给定竞争对手的价格,下游子公司将减少产量,提高价格.第二个条件表示转移价格对对方企业最终产品价格的间接影响.可以由 Bulow,Ceanakoplos & Klemperer的研究结果来证明,他们发现,寡头竞争市场条件下,一家企业提高价格会导致对方企业的边际利润增加,即
(16)
(16)式的条件表明,寡头垄断的市场条件下,企业提高价格,对竞争双方都有利,因此,当一方提高价格时,另一方的最优反应也是提高价格,引理1的第二个条件得证.
(14)式的第一个结论,
时Ti > C,表明当最终产品之间为替代关系时,最优转移价格为中间产品的边际成本加成.根据Bulow,Ceanakoplos & Klemperer的研究结论,寡头竞争的企业,一方提高产品价格会导致对方企业的边际利润增加,均衡结果是双方同时提高价格.因此由第一个结论可以看出,若集团总部提高中间产品的转移价格,可以促使两下游子公司同时提高最终产品的市场价格,进而增加集团的整体利润;第二个结论,β = 0时Ti = C,与Hirshleifer的研究结论相符,表明当最终产品之间相互独立时,最优转移价格应等于中间产品的边际成本;第三个结论,
时Ti < C,表明由于最终产品之间为互补关系,因而最终产品市场具有正的外部性.由引理1可知,集团总部通过降低转移价格,使下游子公司降低最终产品市场价格,从而使最终产品的销量增加.由于下游子公司的最终产品之间具有正的外部性,一种最终产品的销量增加必然会带动另一种最终产品的销量上升,最终达到集团的整体利润增加。
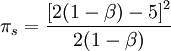
(2)企业集团利润状况分析
下面将根据前文得到的转移价格结果分析集团的利润状况。
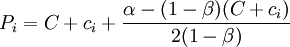
将(10)式代入(4)式,得集团的总利润为πs,
(17)
为了判断文中得到的转移定价策略的优劣,本文将该定价策略下的集团利润与Hirshleifer最早提出的边际成本转移定价策略下的集团利润进行了比较分析.
假设集团总部以边际成本的价格为各下游子公司提供中间产品,则各下游子公司根据自己子公司的利润最大化确定最优的最终产品市场价格.即
(18)
对(18)式求偏导,得下游子公司的反应函数为,
(19)
求解上述方程组,得,
(20)
将(20)式代入(4)式,得边际成本转移价格条件下集团的总利润为πc,
(21)
比较两种定价策略下集团公司的总利润状况,(17)-(21)得,
(22)
表示考虑最终产品相互关系的转移定价策略下集团总利润与边际成本转移定价策略下集团总利润之差。
对(22)式进一步分析得,
(23)
由(23)式分析结果可以看出,只有当β = 0,即最终产品之间完全独立时,考虑最终产品相互关系的转移定价策略与边际成本定价策略形成的集团利润是相等的.其它任何条件下,考虑最终产品相互关系的转移定价策略较边际成本转移定价策略为优.
3.数字算例
下面将对前面提出的结论进行数字模拟分析。
设中间产品的生产成本C=1,下游子公司加工中间产品成为最终产品的成本c1 = c2 = 1.最终产品的市场需求函数为Qi = 5 − Pi + βPj.
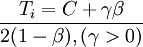
将C=1,c1 = c2 = 1,α = 5代入(7)式得,
(7)
上式表示在图形上,如下图所示。

上图表明当最终产品为互补关系时,最优转移价格应该小于边际成本;当最终产品之间相互独立时,最优转移价格应等于边际成本;当最终产品为替代关系时,最优转移价格应大于边际成本,并且随着替代 关系的不断增强,转移价格应不断增大.。
将C=1,c1 = c2 = 1,α = 5分别代入(17)、(21)两式得,
(17)
(21)
将上两式绘制在同一坐标系上,如下图所示。

上图表明,无论最终产品之间是何种类型,考虑最终产品相互关系的转移定价策略产生的集团利润始终大于等于边际成本定价策略产生的集团利润.并且随着最终产品之间相互替代程度的不断增强,两种定价策略形成的集团利润的差距也越来越明显。
将C=1,c1 = c2 = 1,α = 5代入(22)式得,
(22)
将上式绘制在图形上如下图所示.

上图表明,两种定价策略形成的集团利润差距在β = 0时为零,其它任何条件下均大于零.当最终产品之间为替代关系时,随着最终产品之间替代程度的不断增强,利润差距逐渐增大。
上述分析了多产品生产集团的转移定价策略问题,得出最优转移定价策略应随着下游子公司生产的最终产品之间关系的不同而不断变化。当最终产品之间为互补关系时,转移价格应小于中间产品的边际成本;当最终产品之间完全独立时,转移价格应等于中间产品的边际成本;当最终产品之间为替代关系时,转移价格应大于中间产品的边际成本,并且随着替代关系的不断增强,转移价格应不断提高.文章最后比较了本文提出的考虑最终产品相互关系的转移定价策略与Hirshleifer的边际成本转移定价策略产生的集团利润,发现只有当最终产品之间完全独立时,两种定价策略产生的集团利润相等,其它任何条件下,最终产品相互关系的转移定价策略都优于边际成本转移定价策略。

