田口方法
田口方法(Taguchi Methods)
什么是田口方法
田口方法是一种低成本、高效益的质量工程方法,它强调产品质量的提高不是通过检验,而是通过设计。田口方法是日本田口玄一博士创立的,其核心内容被日本视为“国宝”。日本和欧美等发达国家和地区,尽管拥有先进的设备和优质原材料,仍然严把质量关,应用田口方法创造出了许多世界知名品牌。
随着市场竞争的日趋激烈,企业只有牢牢把握市场需求,用较短的时间开发出低成本、高质量的产品,才能在竞争中立于不败之地。在众多的产品开发方法中,田口方法不失为提高产品质量,促进技术创新,增强企业竞争力的理想方法。
田口方法的目的
田口方法的目的在于,使所设计的产品质量稳定、波动性小,使生产过程对各种噪声不敏感。在产品设计过程中,利用质量、成本、效益的函数关系,在低成本的条件下开发出高质量的产品。田口方法认为,产品开发的效益可用企业内部效益和社会损失来衡量.企业内部效益体现在功能相同条件下的低成本,社会效益则以产品进人消费领域后给人们带来的影响作为衡量指标。假如,由于一个产品功能波动偏离了理想目标,给社会带来了损失,我们就认为它的稳健性设计不好,而田口式的稳健性设计恰能在降低成本、减少产品波动上发挥作用。
田口方法的基本思想
田口方法的基本思想是把产品的稳健性设计到产品和制造过程中,通过控制源头质量来抵御大量的下游生产或顾客使用中的噪声或不可控因素的干扰,这些因素包括环境湿度、材料老化、制造误差、零件间的波动等等。田口方法不仅提倡充分利用廉价的元件来设计和制造出高品质的产品,而且使用先进的试验技术来降低设计试验费用,这也正是田口方法对传统思想的革命性改变.为企业增加效益指出了一个新方向。
与传统的质量定义不同,田口玄一博士将产品的质量定义为:产品出厂后避免对社会造成损失的特性,可用“质量损失”来对产品质量进行定量描述。质量损失是指产品出厂后“给社会带来的损失”,包括直接损失(如空气污染、噪声污染等)和间接损失(如顾客对产品的不满意以及由此导致的市场损失、销售损失等)。质量特性值偏离目标值越大,损失越大,即质量越差,反之,质量就越好。对待偏差问题,传统的方法是通过产品检测剔除超差部分或严格控制材料、工艺以缩小偏差。这些方法一方面很不经济,另一方面在技术上也难以实现。田口方法通过调整设计参数,使产品的功能、性能对偏差的起因不敏感,以提高产品自身的抗干扰能力。为了定量描述产品质量损失,田口提出了“质量损失函数”的概念,并以信噪比来衡量设计参数的稳健程度。
由此可见,田口方法是一种聚焦于最小化过程变异或使产品、过程对环境变异最不敏感的实验设计方法,是一种能设计出环境多变条件下能够稳健和优化操作的高效方法。
田口方法的特点
田口方法的特色主要体现在以下几个方面:
(1)“源流”管理理论。田口方法认为,开发设计阶段是保证产品质量的源流,是上游,制造和检验阶段是下游。在质量管理中,“抓好上游管理,下游管理就很容易”,若设计质量水平上不去,生产制造中就很难造出高质量的产品。
(2)产品开发的三次设计法。产品开发设计(包括生产工艺设计)可以分为三个阶段进行,即系统设计、参数设计、容差设计。参数设计是核心,传统的多数设计是先追求目标值,通过筛选元器件来减少波动,这样做的结果是,尽管都是一级品的器件,但整机由于参数搭配不佳而性能不稳定。田口方法则先追求产品的稳定性,强调为了使产品对各种非控制因素不敏感可以使用低级品元件.通过分析质量特性与元部件之间的非线性关系(交互作用).找出使稳定性达到最佳水平的组合。产品的三次设计方法能从根本上解决内外干扰引起的质量波动问题,利用三次设计这一有效工具,设计出的产品质量好、价格便宜、性能稳定。
(3)质量与成本的平衡性。引入质量损失函数这个工具使工程技术人员可以从技术和经济两个方面分析产品的设计、制造、使用、报废等过程,使产品在整个寿命周期内社会总损失最小。在产品设计中,采用容差设计技术,使得质量和成本达到平衡,设计和生产出价廉物美的产品,提高产品的竞争力。
(4)新颖、实用的正交试验设计技术。使用综合误差因素法、动态特性设计等先进技术,用误差因素模拟各种干扰(如噪声),使得试验设计更具有工程特色,大大提高试验效率,增加试验设计的科学性,其试验设计出的最优结果在加工过程和顾客环境下都达到最优。采用这种技术可大大节约试验费用。
田口方法的功效
田口方法是一门实用性很强的技术,在生产实践中特别是产品开发设计中显示出强大的生命力,其魅力主要表现为:
(1)提高产品科技含量,促进技术创新。通过采用田口方法可改变企业一味引进先进设备的状况,增强二次创新能力,进而提高产品开发能力。
(2)可缩短产品开发周期,加速产品更新换代。应用田口方法可在质量管理中提高生产率,收到事半功倍的效果。
(3)应用田口方法创名牌。使用田口方法的三次设计技术设计出来的产品稳健性好,抵御外界干扰的能力强,波动小,质量可靠,易于创出知名产品,占领市场,打出自己的品牌。
(4)应用田口方法创效益。田口方法用廉价的三等品零件组装一等品整机,真正做到了价廉物美,使企业的经济效益更上一个台阶。
现今在发达国家田口方法已运用得相当广泛,并且为它们创造了不斐的收益。中国的一些企业也引进了这种先进方法并取得了良好的收效。深圳建裕电子公司就是应用田口方法走产品开发和技术创新之路的成功范例。建裕从日本、台湾等比较先进、发达的地区引进国内外先进的电路,进行吸收、提高和创新,在市场调查的基础上开发出性能更可靠、功能更齐全、价格更合理的电话机。使用田口方法后,他们每两个月就推出一部新款的电话机,产品物美价廉,很受用户的青睐,市场份额不断扩大,知名度不断提高,多次被用户评为“消整者信得过产品”,在激烈竞争的电话市场中牢牢地站稳脚跟。
田口方法的实施步骤
- 田口方法的实施步骤可分为下列十项:
1.选定品质特性
2.判定品质特性之理想机能
3.列出所有影响此品质特性的因子
4.定出信号因子的水准
5.定出控制因们的水准
6.定出干扰因子的水准,必要的话,进行干扰实验
7.选定适当的直交表,并安排完整的实验计划
8.执行实验,记录实验数据
9.资料分析
10.确认实验
SPC与田口方法
SPC与田口方法同属质量控制领域改进质量的方法,田口方法属于产品设计阶段的设计质量方法,而SPC 是在产品制造阶段的监控质量方法。 产品质量首先是设计出来的,其次才是制造出来的,田口方法保证了设计产品质量的稳健性,在制造过程中SPC使产品保持在设计水平上,同时,通过控制图监测波动的大小,提供进一步改进设计质量的信息。 因此,二者配合在产品的不同阶段改进质量,以增强企业的质量竞争力。
田口方法与EPC
田口方法和EPC 同属于质量优化方法,EPC 通过反馈补偿原理最小化过程的波动,而田口方法通过利用正交实验进行稳健的参数设计, 以最小化产品设计参数的波动。
传统上, 田口方法大多应用在产品设计阶段,但在现代复杂&动态的过程状态下,如果要用EPC 对过程进行调整,就要在众多的变量中选择关键变量作为控制变量来设计调整控制器,而田口方法可以作为选择关键变量的有效工具应用于制造阶段,因此,为了有效地调整过程,可以首先应用田口方法选择影响输出的关键过程变量,然后,基于所选择的关键变量设计调整控制器,二者整合同样具有互补的作用。
田口方法案例分析
案例一:基于田口方法的小批量生产过程控制
一、引言
将田口方法引入军工生产小批量生产过程控制与过程能力分析中,探讨其可行性、优越性,以期提高兵器工业军工生产的质量稳定性,过程控制方法的经济性和有效性,为国防科技工业武器装备的研制生产提供一种行之有效的过程控制方法。
二、田口式过程输出的反馈控制理论
1.田口质量损失函数——经济性评价基础
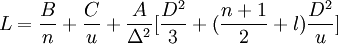
田口式过程输出的反馈控制是田口式线内质量工程技术中针对计量型过程输出特性的一个分支,对应于休哈特计量值控制图。它基于田口的波动质量观和质量损失函数,是一种从经济性角度考察质量水平的方法。在这里,质量特性本身的波动损失和与其有关的质量管理、调整、检测费用等被统一纳入质量损失函数进行量化计算,使得质量水平及质量控制经济性的改进效果一目了然(见式1)。
(1)
田口损失函数中各参数意义如下:产品的规格限m±Δ,单位产品不合格的损失A,对产品质量特性每次测量的费用B,测量间隔n,时滞(从取样到完成检测时间间隔内生产产品的个数)l,管理界限D,过程调整费用C,平均调整间隔u(注:各参数加下标0时表示现行水平)。
这样,损失函数四部分的含义为:L=检测费用+调整费用+规格限内波动损失+规格限外波动损失。前两部分之和是管理成本,后两部分之和为质量损失。这里为了工程应用方便,认为控制限内的质量特性值大致为均匀分布。
以损失函数为工具,谋求管理成本和产品质量损失的最佳平衡,从而使总损失(管理成本+质量损失)为最小,进行过程的反馈控制。这里用简单的微分求偏导即得到针对该过程的最佳控制方案(n,D),见式(2)。
(2)
平均调整间隔的预测值为。
(3)
管理界限D即用于绘制田口式反馈控制图(见下图)

最后可以分别计算出当前及改进控制方案后的损失函数值,即可直观地看到质量控制的改进收益。
2.相关假设
田口式过程输出反馈控制主要有以下一些假设。
假设1 质量特性值为随机变量,呈随机徘徊或布朗分子运动的情形,由此可以推出平均调整间隔的预测值
;
假设2 工序进程有一定的前因后果的随机步游关系,质量特性值将随时间而飘移(见上图),由此当以测量间隔n检查时发现前面的点在管理界限内,而这次的点在限外,认为其间的点是逐步偏出界限,且为均匀分布,因而平均超出个数为(n+1)/2个;
假设3 从过程出现异常到被调整前持续生产不合格品,这一假设的直接体现是认为时滞1在调整界限外生产;
假设4 特性值在管理界限内大致呈均匀分布,因而得到损失函数L中这部分的波动为D2 / 3。
3.田口式过程能力指数———有效性评价指标。
田口方法有其专门的过程能力指数,其理论形式如下。
(4)
其中,
,T为质量特性的目标值。
机械加工中,为了便于上下工序衔接或装配关系的要求,经常出现目标值不在规格中心的情况,而传统的过程能力指数Cpk只考虑工序平均对规格中心的偏移,没有考虑工序平均与目标值的偏移。田口式过程能力指数Cpm恰好弥补了这一点。实地调研中发现大多数工序的目标值都是有偏的,因此采用Cpm更符合实际。它完整地解释了质量特性偏离目标值的原因:一是质量特性的波动σ,二是工序平均的偏移
。
在实际应用中,Cpm的估计式为。
(5)
式(5)为通用式,可以独立于田口式过程控制使用。
三、小批量生产过程控制实证
1.现状分析及优化效果预测
赴军工企业实地调研时,选择了某关键件06212/WS205B的生产工序作为试点工序收集数据,进行过程控制实验。该产品该月共加工126件(质量特性的原始数据略),规格为
。该工序的过程控制目前使用休哈特控制图。
从minitab软件输出的休哈特控制图(略)上看,过程处于稳定受控状态,无需进行调整。过程能力分析结果(下图)显示理论正态曲线基本覆盖了直方图,数据基本服从正态分布。Cpk = 0.69,过程能力很低。因该工序质量特性为加工孔径,故出现很明显的下偏现象。

于该工序试点采用田口式反馈控制技术,在生产现场收集到以下数据资料。不合格品损失A为31.38元;单位产品测量费用B为1元;时滞l为1件;过程调整费用C为100元;现行测量间隔n0为1件;现行管理界限
。
由于实验工序批量小,生产周期较长,无法取得现行平均调整间隔统计值u0的准确数值。故采用平均不合格品率的倒数1/p0来估计,p0由不合格品率与过程能力指数的关系求得。
件。
将以上参数代入式(2),得最佳反馈控制方案(n,D)为。
件。
件。
过程增益为
优化后预计的损失函数值为
(元)
损失函数值的现行水平为
(元)
增益ΔL = L0 − L = 14.7152 − 11.2371 = 3.48(元),若每月加工量与本月大致相当,均为120件左右,则全年该工序增益总额为3.48×120×12=5011.2元。
由于田口式反馈控制要求边调整工序状态边画图,因此对成批收集到的以往数据只能作事后分析(见下图)。

上图可以称作田口式的分析用控制图,显示了较多的需调整次数,与预测的平均调整间隔20差距很大。这主要是因为该图为事后画出,并未按照田口式控制图的操作要求绘制。
2.后续实验
在后续实验中,边调整工序边画田口式反馈控制图,出现越界则暂停生产调整工序,使之由异常回复到初始状态。同时,要求生产线忽略加工习惯,完全按规格要求加工,并提高了测量精度。收集到的数据大致服从N:(51.9905,0.00412),获得40个左右计量点。
由于其它过程参数不变,根据田口式反馈控制计算的最佳测量间隔为n=2,上下管理界限为(51.9845,51.9965)。
第一批数据从第1个数据51.9922开始计量描点,在第11个描点处出现越界值51.9817,停止生产调整工序到初始状态,然后重新收集数据。
第二批数据从第1个数据51.9867开始计量描点,到第8个描点处出现越界值51.9770,停止生产调整工序到初始状态,然后重新收集数据。
第三批数据从第1个数据51.9864开始计量描点,到第3个描点处出现越界值51.9825,停止生产调整工序到初始状态,然后重新收集数据。
……(依次类推,下略)
最后画出的田口式反馈控制图如下图。该图为边调整边绘制,故可称为控制用反馈控制图。

后续实验分批数据
| 第一批 | 第二批 | 第三批 | 第四批 | 第五批 |
| 51.9922 | 51.9867 | 51.9864 | 51.9904 | 51.9908 |
| 51.9903 | 51.9903 | 51.9888 | 51.9932 | 51.9851 |
| 51.9902 | 51.9926 | 51.9825 | 51.9933 | 51.9906 |
| 51.9944 | 51.9903 | 51.9900 | 51.9948 | |
| 51.9930 | 51.9965 | 51.9890 | 51.9916 | |
| 51.9914 | 51.9943 | 51.9946 | 51.9949 | |
| 51.9899 | 51.9950 | 51.9903 | 51.9941 | |
| 51.9850 | 51.9770 | 51.9830 | ||
| 51.9946 | ||||
| 51.9884 | ||||
| 51.9817 |
前面计算出的最佳调整间隔预测值u=20件,即在75件产品中大约会出现4次调整,图4显示的情况与理论计算基本吻合。Cpm=1.67,单件产品质量损失=11.24元,过程控制的有效性和经济性都得到了明显改善。
应用田口方法对军工生产中小批量生产过程进行了试点实验数据收集、处理,通过改换过程控制方式,提高了小批量生产过程控制方法的经济性和有效性,并制订了田口式反馈控制图的标准作业指导书(限于篇幅未附)。其操作方法简单,评价结果直观,更易为现代企业所接受。
