网络图
什么是网络图 (Network planning)
网络图(Network planning)是一种图解模型,形状如同网络,故称为网络图。网络图是由作业、事件和路线三个因素组成的。

网络图的组成内容
一、作业 (Activity)
作业,是指一项工作或一道工序,需要消耗人力、物力和时间的具体活动过程。在网络图中作业用箭线表示,箭尾i表示作业开始,箭头j表示作业结束。
作业的名称标注在箭线的上面,该作业的持续时间(或工时)Tij标注在箭线的下面。有些作业或工序不消耗资源也不占用时间,称为虚作业,用虚箭线()表示。在网络图中设立虚作业主要是表明一项事件与另一项事件之间的相互依存相互依赖的关系,是属于逻辑性的联系。

二、事件 (Event)
事件,是指某项作业的开始或结束,它不消耗任何资源和时间,在网络图中用 “○”表示,“○”是两条或两条以上箭线的交结点,又称为结点。网络图中第一个事件(即○)称网络的起始事件,表示一项计划或工程的开始;网络图中最后一个事件称网络的终点事件,表示一项计划或工程的完成;介于始点与终点之间的事件叫做中间事件,它既表示前一项作业的完成,又表示后一项作业的开始。为了便于识别、检查和计算,在网络图中往往对事件编号,编号应标在“○”内,由小到大,可连续或间断数字编号。编号原则是:每一项事件都有固定编号,号码不能重复,箭尾的号码小于箭头号码(即i<j,编号从左到右,从上到下进行)。
三、路线 (Path)
路线,是指自网络始点开始,顺着箭线的方向,经过一系列连续不断的作业和事件直至网络终点的通道。一条路线上各项作业的时间之和是该路线的总长度(路长)。在一个网络图中有很多条路线,其中总长度最长的路线称为“关键路线”(Critical path),关键路线上的各事件为关键事件,关键时间的周期等于整个工程的总工期。有时一个网络图中的关键路线不止一条,即若干条路线长度相等。除关键路线外,其它的路线统称为非关键路线。关键路线并不是一成不变的,在一定的条件下,关键路线与非关键路线可以相互转化。例如,当采取一定的技术组织措施,缩短了关键路线上的作业时间,就有可能使关键路线发生转移,即原来的关键路线变成非关键路线,与此同时,原来的非关键路线却变成关键路线。
绘制网络图的基本规则
绘制网络图必须严格遵循下列基本规则:
1、网络图中不能出现循环路线,否则将使组成回路的工序永远不能结束,工程永远不能完工。
2、进入一个结点的箭线可以有多条,但相邻两个结点之间只能有一条箭线。当需表示多活动之间的关系时,需增加节点(Node)和虚拟作业(Dummy activity)来表示。如下图1所示:

3、 在网络图中,除网络结点、终点外,其它各结点的前后都有箭线连接,即图中不能有缺口,使自网络始点起经由任何箭线都可以达到网络终点。否则,将使某些作业失去与其紧后(或紧前)作业应有的联系。
4、箭线的首尾必须有事件,不允许从一条箭线的中间引出另一条箭线。
5、为表示工程的开始和结束,在网络图中只能有一个始点和一个终点。当工程开始时有几个工序平行作业,或在几个工序结束后完工,用一个网络始点、一个网络终点表示。若这些工序不能用一个始点或一个终点表示时,可用需工序把它们与始点或终点连接起来。
6、网络图绘制力求简单明了,箭线最好画成水平线或具有一段水平线的折线;箭线尽量避免交叉;尽可能将关键路线布置在中心位置。
网络图作业之间的逻辑关系
根据网络图中有关作业之间的相互关系,可以将作业划分为:紧前作业、紧后作业和交叉作业。
1、紧前作业,是指紧接在该作业之前的作业。紧前作业不结束,则该作业不能开始。
2、紧后作业,是指紧接在该作业之后的作业。该作业不结束,紧后作业不能开始。
3、平等作业,是指能与该作业同时开始的作业。
4、交叉作业,是指能与该作业相互交替进行的作业。
下图1反映了网络图中各作业之间的关系。假定C作业为该作业。

其中,A作业为C作业的紧前作业。
B、C、D三作业同时开始,B、D作业为C作业的平行作业。
E作业在C作业完成之后才能开始,E作业为C作业的紧后作业。
F、G作业为C作业的交叉作业,G交叉作业必须在紧后作业E与交叉作业F完成后才能开始。
网络图中作业之间的逻辑关系是相对的,不是一成不变的。只有指定了某一确定作业,考察它的与之有关各项作业的逻辑联系,才是有意义的。
网络图的绘制
一、网络图的元素
任何一项任务或工程都是由一些基本活动或工作组成的,它们之间有一定的先后顺序和逻辑。用带箭头的线段“→”来表示工作,用节点“○”来表示2项工作的分界点。按工作的先后顺序和逻辑关系画成的工作关系图就是一张网络图。每一个节点称为“事项”,它表示一项工作的结束和另一项工作的开始,除了一个总开始事项和总结束事项。在节点中可标上数字,以便于注明哪项工作的结束和哪一项工作的开始。图1表示某一项工程由10项工作组成,共有10个结点,第①节点表示项目开始,第⑩节点表示结束。

二、作业所需的时间
网络图中必须要注明时间。网络图中有不同的时间参数,其确定的方法如下:
(1)凭经验能明确知道时,可用其经验值。
(2)在没有经验的作业或包含不确定因素的作业中,应把它看成统计值。用三点时间估计法。
如可能遇到意外的问题,从而相应的活动周期比预想的要长,也有可能事情进展得比预期要顺利,相应的活动提前完成了。将这类不确定性加入我们的分析是有实际意义的,这就是项目评审技术(PERT)所要做的。
经验表明,一项作业的周期往往可以用β分布来描述。这种分布看上去是一个倾斜的正态分布,具备一种很有用的特性——其均值和方差可以通过估算3种时间而求得:To——乐观判断所需时间;Tm——大概估计的时间;Tρ——悲观估计所需时间。
作业期望的时间和方差可根据六分之一原则(rule of sixths)来计算:
期望时间E = (To + 4Tm + Tp) / 6
方差=(Tp − To)2 / 36
假设某作业所需的时间是概率变量,概率密度如图2所示β分布,概率密度ρ(To) = ρ(Tρ) = 0,ρ(Tm)为最大值。则均值E与方差σ2由下式计算:
E = (To + 4Tm + Tρ) / 6
σ2 = (Tρ − To)2 / 36
就被取为作业所需的时间。
为简便起见,在以后的阐述中只处理平均所需日数,而不考虑方差。
在以下分析中,设i和j为两个相邻节点,则作业(i,j)所需的时间记作T(i,j)。

三、网络中的要径确定
在网络图中,从入口到出口的最长路径,就称作要径。全部工程所需时间不可能比它更短。也就是说,要径上的各作业所需时间的总和为该工作的最短工期。要径以外的作业由于日程有富裕,即使前后稍微移动时间,整个工期也不会改变。因此,可以进行调整以满足劳力和设备的制约条件。
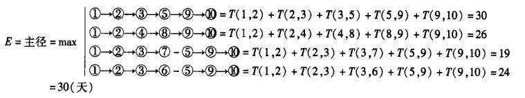
对图1中所示的网络图中,关键路线为:

主径为①→②→③→⑤→⑨→⑩。对于连续进行的作业,并且每一项作业的时间与其他作业的时间不相关,则整个工程的时间服从正态分布。全部工程所需的日数期望值E和方差σ2可根据中心极值定理由下式决定:
均值为关键路径上所有作业的期望值之和
。
方差为关键路径上所有作业的方差之和
;
所以,主径上的所有作业时间之和30天就是图1所示的工程的最短工期。
网络图案例分析
案例一:网络图在施工中的应用
随着现代科学技术的迅猛发展、管理水平不断提高.建设规模的日益扩大.要求计划、生产管理的方法也必须科学化和现代化。施工企业要想对~个复杂的工程项目进行有效的管理,必须依赖于进度计划网络计划技术符合统筹兼顾、适合安排现代化大生产的组织管理和科学研究的需要,因此,在现代化大生产的组织管理中该方法正在逐步替代传统的横道图计划管理方法。
长期以来,都认为计划工作是为安排施工进度和组织流水作业服务的,与成本控制的要求和管理方法截然不同。其实,成本控制与计划管理、成本与进度之间则有着必然的同步关系。即施工到什么阶段就应该发生相应的成本费用。为了便于在分部分项工程的施工中同时进行进度与费用的控制掌握进度与费用的变化过程。
1.详细计算工程量并作预算
以某高速公路特大桥为例,中标以后.施工单位要成立专门的项目小组,详细的划分施工前的准备工作。首先应该组合2~3人(根据工程量大小决定人数)进行施工图纸工程量的核实,认真计算出相应招标图纸和施工图纸的对比表,施工图纸总工程量表和施工图细目表的对比统计表以便在施工过程中进行变更有资料依据。
等工程量核实后.应安排专业预算人员根据企业内部生产率的情况和施工方法编制预算,施工预算是施工单位进行成本控制与成本核算的依据也是施工单位进行劳动组织与安排,以及进行材料和机械管理的依据,对施工组织和施工生产有着极为重要的作用。施工单位根据施工图计算的分项工程量、施工定额、施工组织设计或分部分项工程施工过程的设计及其他有关技术资料,通过工料分析,计算和确定完成一个工程项目或一个单位工程或其中的分部分项工程所需的人工、材料、机械台班消耗量,为施工组织设计提供必要的经济文件。
2.确定各单位工程的相互搭接关系和开、竣工时间
(1)详细划分施工工序
根据各施工单位的具体条件参考有关定额确定分部分项工程的施工时间。施工工程生产既有其本身的客观规律,也有施工工艺及其技术方面的规律,遵循施工过程的连续性、协调性、均衡性和经济性的原则组织施工.能保证各项施工活动的紧密衔接和相互促进,确保工程质量加快施工速度,与此同时也应考虑到施工预算对分部分项工程的划分的同步,原则上应与施工工序相吻合,以便与今后的生产班组的任务安排和施工任务单的签发取得一致。
(2)确定施工方案详细安排各建筑物和结构物的搭接施工时间
根据总工程量和施工开工、竣工时间简单计算各项工序所需要的时间,并用横道图表示出来,计算出平均日产量,在保证施工进度顺利完成的前提下进行施工方案的选择。施工方案的选择是施工组织设计中最重要的环节之一.是决定整个工程全局的关键.因此在选择施工方案时.应综合考虑整个工程施工的进程、人力和机械的需要和布置、工程质量及施工安全、工程成本、现场的状况等因素。
二、熟悉网络图的规则利用软件绘制网络图
以上前期工作已做完,下面应利用综合知识绘制施工进度图,施工进度图示意图表表示的主要形式有:横道图法、垂直图法和网络图法三种.网络图比前两种方法比较,不但能反映施工进度,而且能清楚的反映出各个工序、各施工项目之间锚综复杂的相互联系、相互制约的生产和协作关系能进行各种时间参数的计算:在名目繁多、错综复杂的计划中找出决定工程进度的关键工作.选出最优方案,因此.这是一种比较先进的工程进度图的表示形式,下面简单介绍网络图中单代号网络的画法。
1.网络图要素
2.网络计划图的绘制规则
3.网络时间的计算
计算各工序的ES、EF(自起点向终点计算)。
ES(最早开始时间)=各紧前工序EF的最大值(默认:首道工序的ES=O)。
EF(最早完成时间)=当前工序的ES+T(当前工序的工作时间)。
计算各工序的LS、LF(自终点向起点计算)。
LF(最迟完成时间)=各紧后工序LS的最小值(默认:尾道工序的LF=尾道工序的EF)。
LS(最迟开始时间)=当前工序的LF-T(当前工序的工作时间)。
FF=当前工序的LS·当前工序的ES=当前工序的LF一当前工序的EF。
所有TF=O的工序均为关键工序,用双箭线表示。
FF=各紧后工序ES的最小值·当前工序的EF(默认:尾道工序的FF=O)
三、网络计划调整(工期-成本优化)
整个网络图绘制完成后应根据工期、成本对其调整.使其达到优化。
成本就是确定最优组合方式的一个重要技术经济指标。
工期一成本优化就是应用前述的网络计划方法,在一定约束条件下综合考虑成本与工期两者的相互关系,以期达到成本低,工期短这样的结合点。通常用间接费曲线(间接费用和时间成正比关系的曲线,通常用直线表示)和直接费曲线(表示直接费用在一定范围内和时间成反比关系的曲线)表示。根据优化循环的结果和间接费用率绘制直接费、间接费曲线。并由直接费和间接费曲线迭加确定工程成本曲线,曲线上的最低点就是工程计划的最优方案之一,求出其最佳工期最优成本。间接费曲线根据已给的费用变化率(曲线斜率)和在极限工期时的值即可确定。将直接费曲线和间接费曲线对应点相加.即可得出工程成本曲线上的对应点。将这些点连接起来就得到工程成本曲线。从曲线上可以确定最佳工期。
网络图计划的进度与成本的同步控制,在施工进度的安排上更具逻辑性,而且可在破网后随时进行优化和调整,因而对每道工序的成本控制也更为有效。同时在网络图中看到每道工序的计划进度与实际进度、计划成本与实际成本的对比情况.同时也可清楚地看出今后控制进度、控制成本的方向。因此,这是一种比较先进的工程进度图的表示形式,在现代施工中应普遍使用。
