OC曲线
什么是OC曲线
当用一个确定的抽检方案对产品批进行检查时,产品批被接收的概率是随产品批的批不合格品率p变化而变化的,它们之间的关系可以用一条曲线来表示,这条曲线称为抽样特性曲线,简称为OC曲线。

OC曲线的性质
(1) 抽样特性曲线和抽样方案是一一对应关系,也就是说有一个抽样方案就有对应的一条OC曲线;相反,有一条抽样特性曲线,就有与之对应的一个抽检方案。
(2) OC曲线是一条通过(0,1)和(1,0)两点的连续曲线。
(3) OC曲线是一条严格单调下降的函数曲线,即对于p1L(p2)。
OC曲线与(n|c)方案中参数的关系
由于OC曲线与抽样方案是一一对应的,故改变方案中的参数必导致OC曲线发生变化。但如何变化呢?它们之间的变化有什么关系呢?下面分三种情况进行讨论。
(1) 保持n固定不变,令c变化,则如果c增大,则曲线向上变化,方案放宽;如果c减小,则曲线向下变形,方案加严。
(2) 保持c不变,令n变化,则如果n增大,则曲线向下变形,方案加严;反之n减小,则曲线向上变形,方案放宽。
(3) n,c同时发生变化,则如果n增大而c减小时,方案加严;若n减小而c增大时,则方案放宽;若n和c 同时增大或减小时,对OC曲线的影响比较复杂,要看n和c的变化幅度各有多大,不能一概而论。如果n和c尽量减少时,则方案加严;对于n和c不同量变化的情况,只要适当选取它们各自的变化幅度,就能使方案在(0,pt)和(pt,1)这两个区间的一个区间上加严,而另一个区间上放宽,这一点对我们是很有用的。
百分比抽样的不合理性
我国不少企业在抽样检查时仍沿用百分比抽检法,所谓百分比抽检法,就是不论产品的批量大小,都规定相同的判定数,而样本也是按照相同的比例从产品批中抽取。即如果仍用c表示判定数,用k表示抽样比例系数,则抽样方案随交检批的批量变化而变化,可以表示为(kN|c)。通过OC曲线与抽样方案变化的关系很容易弄清楚百分比抽检的不合理性。因为,对一种产品进行质量检查,不论交检产品批的批量大小,都应采取宽严程度基本相同的方案。但是采用百分比抽检时,不改变判定数c,只根据批量不同改变样本容量n,因而对批量不同的产品批采用的方案的宽严程度明显不同,批量大则严,批量小则宽,故很不合理。百分比抽检实际是一种直觉的经验做法,没有科学依据,因此应注意纠正这种不合理的做法。
抽检方案优劣的判别
既然改变参数,方案对应的OC曲线就随之改变,其检查效果也就不同,那么什么样的方案检查效果好,其OC曲线应具有什么形状呢?下面就来讨论这一问题。
(1)理想方案的特性曲线
在进行产品质量检查时,总是首先对产品批不合格品率规定一个值p0来作为判断标准,即当批不合格品率p≤p0时,产品批为合格,而当p>p0时,产品批为不合格。因此,理想的抽样方案应当满足:当p≤p0时,接收概率L(p)=1,当p>p0时,L(p)=0。其抽样特性曲线为两段水平线,如下图所示:

理想方案实际是不存在的,因为,只有进行全数检查且准确无误才能达到这种境界,但检查难以做到没有错检或漏检的,所以,理想方案只是理论上存在的。
(2)线性抽检方案的OC曲线
所谓线性方案就是(1|0)方案,因为OC曲线是一条直线而得名的,如下图所示,

由上图可见,线性抽检方案是从产品批中随机地抽取1个产品进行检查,若这个产品不合格,则判产品为批不合格品,若这个产品不合格,则判产品批不合格。这个方案的抽样特性函数为:
因为它和理想方案的差距太大,所以,这种方案的检查效果是很差的。
理想方案虽然不存在,但这并不妨碍把它作为评价抽检方案优劣的依据,一个抽检方案的OC曲线和理想方案的OC曲线接近程度就是评价方案检查效果的准则。为了衡量这种接近程度,通常是首先规定两个参数p0和p1(p0<p1),p0是接收上限,即希望对p≤p0的产品批以尽可能高的概率接收;p1是拒收下限,即希望对 p≥p1的产品批以尽可能高的概率拒收。若记α=1-L(p0),β=L(p1),则可以通过这四个参数反映一个抽检方案和理想方案的接近程度,当固定 p0,p1时,α、β越小的方案就越好;同理若对固定的α、β值,则p0和p1越接近越好;当α和β→0,p0→p1时,则抽检方案就趋于理想方案。
OC曲线案例分析
案例一:用OC曲线对抽样方案的评价
抽样检验是质量管理的工作之一,也是检验产品质量的一种十分重要、经济的手段。在对某型产品进行装箱检验时感到检验规范中的抽样方案一样本量过大,检验成本过高,经与顾客代表协商,增大AQL值,减少样本量,采用抽样方案二,降低了检验成本。产品批量N=125,方案一为(n=20|Ac = 0,Re = 1),方案二为(n=5|Ac = 0,Re = 1),下面oc曲线对两方案进行比较和评价。
一、接收概率与OC曲线
(1)接收概率
抽样方案是实施抽样检验的主要依据,计数抽样方案包括样本量力和判定数组Ac和Re,Ac是样本中发现的不合格品数的上限值,Re是下限值。设采用一次抽样方案(n|Ac,Re)进行抽样检验,从批中抽取包含力个单位产品的样本,在这个样本中包含的不合格品数实际上是一个随机变量,用』表示这个随机变量。由于“X=1”、“X=2”、…直到“X = Ac”都可以判断出接收,而这些事件是互不相容的。用Pa(P)表示当批不合格品率为p时抽样方案的接收概率,则有:
(1)
根据概率论知识可知,样本中不合格品数唯一服从超几何分布,接收概率可由下式给出:
(2)
式中:Np——批中总的不合格品数。
公式(2)计算起来较复杂,常采用二项分布和泊松分布近似计算法以简化运算。实际上当Ⅳ相对于力较大(如N≥10n)时,这三种公式的计算结果比较接近。国家标准GB/T 2828.1-2003《技术抽样检验程序第1部分:按接受质量限(AQL)检索的逐批检验抽样计划》标准中对方案接收概率的计算,均采用泊松分布或二项分布计算公式计算。当AQL>10.O时,按泊松分布计算,适用于每百单位产品不合格数的检验,其公式为:
(3)
当AQL≤10.0时,按二项分布计算,适用于不合格品百分数检验,其公式为:
(4)
(2)OC曲线
通常称式(1)所给定的函数P_a(P)为抽样方案(n|Ac,Re))的抽检特性函数,简称Oc函数。如果以p为横坐标,以Pa(P)为纵坐标,则P和Pa(P)构成的一系列点所连成的曲线就是抽样检验特性曲线(The Operating Characteristic Curve),简称OC曲线。每个抽样方案,都有它特定的OC曲线,在实际检验中,提交批的质量水平是不知道的,0C曲线形象地显示了在任一假定的质量水平(即不合格品百分数)下批被接收的概率。OC曲线对于正确选取、使用抽样方案及评价抽样方案都有很重要的作用。
二、OC曲线影响因素分析
根据(2)式,一次抽样方案的OC曲线与参数N、n、Ac有关,这些参数的不同组合,就得到不同形状的OC曲线。下面分析N、n、Ac对OC曲线的影响。
(1)批量N对OC曲线的影响

从上图中A、B、C三种抽样方案的OC曲线可以看出,N的变化对OC曲线的影响很小。当Ⅳ相对力很大时(n/N≤0.1)时,不考虑N的影响所以,通常把一次抽样检验方案只写出(n,Ac)就可以了。
(2)接收判定数Ac对OC曲线的影响

从上图可以看出,当抽样方案中的Ⅳ和刀确定,Ac由大变小时,0C曲线由右向左移动,而且倾斜度变大,说明方案的检验特性也在变化。当处于同样的P值时,Ac值减少使接收概率P_a(p)降低,这就意味着方案变严。反之若Ac值增加,接收概率Pa(p)也在增加,则抽样检验方案放宽。
另外,曲线由右向左移动并非是平行移动,曲线越向左移就变得更陡,使接收概率的变化率增大,也就使灵敏度增加。
(3)样本量n对OC曲线的影响

从上图可以看出,当方案的N和Ac确定,n增加使OC曲线由右向左移动,意味着方案变严。反之n减小,则曲线向上变形,方案放宽。
(4)样本量力和接收数A,同时发生变化时对OC曲线的影响。
N、Ac,同时发生变化,则如果n增大而Ac。减小时,方案加严;若n减小而Ac,增大时,则方案放宽;若n和Ac,同时增大或减小时,对OC曲线的影响比较复杂,要看n和Ac的变化幅度各有多大,不能一概而论。如果n和Ac,尽量减少时,则方案加严;对于n和Ac不同量变化的情况,只要适当选取它们各自的变化幅度,就能使方案在(0,Pt)和(Pt,1)这两个区间的一个区间上加严,而另一个区问上放宽,这一点对我们是很有用的。
三、抽样方案优劣的判别
既然改变参数,方案对应的OC曲线就随之改变,其检查效果也就不同,那么什么样的方案检查效果好,其OC曲线应具有什么形状呢?下面就来讨论这一问题。
(1)理想方案的OC曲线
在进行产品质量检查时,总是首先对产品批不合格品率规定一个值P0(即AQL)来作为判断标准,即当批不合格品率p≤P0时,产品批为合格,而当p>P_0时,产品批为不合格。因此,理想的抽样方案应当满足:当p≤P0时,接收概率Pa(p) = 1,当p > P0时,Pa(p) = 0。其抽样特性曲线为两段水平线,见下图。

理想方案实际是不存在的,因为,只有进行全数检查且准确无误才能达到这种境界,但检查难以做到没有错检或漏检的,所以,理想方案只是理论上存在的。
(2)抽样方案的辨别率
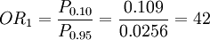
我们希望实际的OC曲线应尽可能接近于理想的OC曲线,才具有相当好的辨别力,使质量好的批能以高概率接收,对质量差的批应以高概率拒收。一个抽检方案的OC曲线和理想方案的OC曲线接近程度就是评价方案检查效果的准则。为了衡量这种接近程度,通常是首先规定两个参数P0和P1(P0 < P1),P0是接收上限,即希望对p≤P_0的产品批以尽可能高的概率(一般认为大于95%)接收;P1是拒收下限,即希望对p≥P0的产品批以尽可能低的概率(一般认为小于10%)接收。常用辨别率伽定量地衡量某个抽样方案的即抽样方案区分好批与坏批的综合能力,p足值越小,方案的鉴别力越高,说明不合格品率一旦增高,接收概率将迅速降低。OR表达式如下:
(5)
式中:P0.10——接收概率为0.10时对应的质量水平;
P0.95——接收概率为0.95时对应的质量水平。
(3)抽样检验的两类风险
抽样检验是一个通过部分(样本)去判断总体(批)的统计推断过程,因此就可能出现两类错误判断,即可能把合格的产品批错判为不合格的产品批,这种错判称为第一类错误;还有可能把不合格的产品批判为合格品,后一类错误称为第二类错误。
若规定p≤P0的产品批为质量好的产品批,p≥P_1的产品批为质量很差的产品批。由于存在着两类错判,所以p≤P0的产品批不能排除拒收的可能性,这一可能性的大小用α = 1 − Pa(P0)来表示,称为第一类错判率,因这类错判会给生产方带来损失,口又称为生产方风险。同样p≥P_1的产品批不能排除接收的可能性,这种可能性的大小用β = 1 − Pa(P1)表示,称为第二类错判率,由于第二类错判率表示给使用方带来的损失的大小,β又称为使用方风险。两种误判的可能性可以从抽查特性曲线上看出来,如下图所示。

P0、P1、α和β都是抽样检查的重要参数,对一个确定方案,可以通过这几个参数去进行分析评价。若记α = 1 − Pa(P0),β = 1 − Pa(P1),则可以通过这四个参数反映一个抽检方案和理想方案的接近程度,当固定P0、P1时,α、β越小的方案就越好;同理若对固定的α、β值,则P0和P1越接近越好,即P1 / P0越小越好;当α和
,
,则抽检方案就趋于理想方案。
四、用0C曲线对两抽样方案的评价
(1)OC曲线的比较
某型产品包装检验两抽样方案中产品批量N=125,检验水平为S-3,方案一AQL=0.65,方案二AQL=2.5。利用公式(4)的OC函数,分别绘制两方案的OC曲线,见下图。

方案一:n=20;Ac = O,Re = l。
方案二:n=5;Ac = O,Re = 1。
从图6两条曲线可以看出,在同一质量水平p值下,方案一对应的接收概率要小于方案二对应的接收概率,可以说方案一比方案二严格。这与前面提到的样本量对OC曲线的影响分析是一致的,即接收数Ac不变,样本量力增加,曲线变陡,方案变严格。这里所说的严是对生产方而言,但对使用方是有利的。
(2)辨别力的比较从OC曲线上还可以求得接收概率为0.1和0.95时,分别对应的质量水平P0.10和P0.95,根据公式(5)计算出两方案的OR值,结果如下:


由于OR1 > OR2,因此可以说方案二的鉴别力高于方案一。
(3)两种风险的比较设P0 = 0.0l,P1 = 0.1,两方案的双方风险分别见表l。
两方案α与β的比较
| 方案 | n | PaP0α | β | |
| 1 | 20 | 0.82 | α1=0.18 | β1=0.12 |
| 2 | 5 | 0.95 | α2=0.05 | β2 = 0.59 |
从理论上讲,当固定P0、P1时,α、β越小的方案就越好。但从数理统计角度看,β很小时,样本量n将非常大。因此,使用方不能强求α=β或β≤α。使用方承担的真实风险完全依赖于提供产品的质量,当有足够理由证明产品质量很好时,使用方承担的风险是很小的。因此,使用方应把注意力放在生产方的质量管理体系的功能上,以减小使用方风险。
对于逐批连续生产,是在生产方已具备了成批生产合格产品的情况下投产的,所以制定抽样方案时优先考虑保护生产方。
根据以上原则,α2 < α1,因此,应选择方案二。
