过程能力指数
过程能力指数(Process capability index,CP或CPK),也译为工序能力指数、工艺能力指数、制程能力指数
什么是过程能力指数
过程能力指数也称工序能力指数,是指工序在一定时间里,处于控制状态(稳定状态)下的实际加工能力。它是工序固有的能力,或者说它是工序保证质量的能力。这里所指的工序,是指操作者、机器、原材料、工艺方法和生产环境等五个基本质量因素综合作用的过程,也就是产品质量的生产过程。产品质量就是工序中的各个质量因素所起作用的综合表现。对于任何生产过程,产品质量总是分散地存在着。若工序能力越高,则产品质量特性值的分散就会越小;若工序能力越低,则产品质量特性值的分散就会越大。那么,应当用一个什么样的量,来描述生产过程所造成的总分散呢?通常,都用6σ(即μ+3σ)来表示工序能力:
工序能力=6σ若用符号P来表示工序能力,则:P=6σ式中:σ是处于稳定状态下的工序的标准偏差
工序能力是表示生产过程客观存在着分散的一个参数。但是这个参数能否满足产品的技术要求,仅从它本身还难以看出。因此,还需要另一个参数来反映工序能力满足产品技术要求(公差、规格等质量标准)的程度。这个参数就叫做工序能力指数。它是技术要求和工序能力的比值,即
工序能力指数=技术要求/工序能力Cp=T/6σT——公差σ——](或用样本标准差S)
当分布中心与公差中心重合时,工序能力指数记为Cp。当分布中心与公差中心有偏离时,工序能力指数记为Cpk。运用工序能力指数,可以帮助我们掌握生产过程的质量水平。
过程能力指数的意义
制程能力是过程性能的允许最大变化范围与过程的正常偏差的比值。
制程能力研究在於确认这些特性符合规格的程度,以保证制程成品不符规格的不良率在要求的水准之上,作为制程持续改善的依据。
当我们的产品通过了GageR&R的测试之后,我们即可开始Cpk值的测试。
CPK值越大表示品质越佳。
CPK=min((X-LSL/3s),(USL-X/3s))
过程能力指数的计算公式
CPK= Min
过程能力指数运算方法
过程能力指数运算有5种计算方法:
过程能力指数的指标
1.过程能力指数Cp、Cpk
我们常常提到的过程能力指数Cp、Cpk是指过程的短期能力。
Cp是指过程满足技术要求的能力,常用客户满意的偏差范围除以六倍的西格玛的结果来表示。
Cp=(允许最大值-允许最小值)/(6*σ)
所以σ越小,其Cp值越大,则过程技术能力越好。
Cpk是指过程平均值与产品标准规格发生偏移的大小,常用客户满意的上限偏差值减去平均值和平均值减去下限偏差值中数值小的一个,再除以三倍的西格玛的结果来表示。
Cpk=MIN(允许最大值-过程平均值,过程平均值-允许最小值)/(3*σ)
2.过程能力指数Pp、Ppk
与Cp、Cpk不同的是, 过程能力指数Pp、Ppk是相对长期的过程能力,要求其样本容量大,
其公式同Cp、Cpk一样,但σ是全部样本的标准偏差,即等于所有样本的标准差S。
同Cpk息息相关的两个参数
同Cpk息息相关的两个参数:Ca , Cp.
Ca: 制程准确度。 Cp: 制程精密度。
过程能力指数, 制程准确度, 制程精密度三者的关系
Cpk = Cp * ( 1 - |Ca|)
Cpk是Ca及Cp两者的中和反应,Ca反应的是位置关系(集中趋势),Cp反应的是散布关系(离散趋势)
过程能力指数的应用
1 当选择制程站别Cpk来作管控时,应以成本做考量的首要因素,还有是其品质特性对后制程的影响度。
2. 计算取样数据至少应有20~25组数据,方具有一定代表性。
3. 计算Cpk除收集取样数据外,还应知晓该品质特性的规格上下限(USL,LSL),才可顺利计算其值。
4. 首先可用Excel的“STDEV”函数自动计算所取样数据的标准差(σ),再计算出规格公差(T),及规格中心值(u). 规格公差=规格上限-规格下限;规格中心值=(规格上限+规格下限)/2;
5. 依据公式:Ca=(X-U)/(T/2) , 计算出制程准确度:Ca值 (x为所有取样数据的平均值)
6. 依据公式:Cp =T/6σ , 计算出制程精密度:Cp值
7. 依据公式:Cpk=Cp(1-|Ca|) , 计算出制程能力指数:Cpk值
8. Cpk的评级标准:(可据此标准对计算出之制程能力指数做相应对策)
A++级 Cpk≥2.0 特优 可考虑成本的降低
A+ 级 2.0 > Cpk ≥ 1.67 优 应当保持之
A 级 1.67 > Cpk ≥ 1.33 良 能力良好,状态稳定,但应尽力提升为A+级
B 级 1.33 > Cpk ≥ 1.0 一般 状态一般,制程因素稍有变异即有产生不良的危险,应利用各种资源及方法将其提升为 A级
C 级 1.0 > Cpk ≥ 0.67 差 制程不良较多,必须提升其能力
D 级 0.67 > Cpk 不可接受 其能力太差,应考虑重新整改设计制程。
过程能力判断
过程能力指数的值越大,表明产品的离散程度相对于技术标准的公差范围越小,因而过程能力就越高;过程能力指数的值越小,表明产品的离散程度相对公差范围越大,因而过程能力就越低。因此,可以从过程能力指数的数值大小来判断能力的高低。从经济和质量两方面的要求来看,过程能力指数值并非越大越好,而应在一个适当的范围内取值。

过程能力指数案例分析
服务是一种无形的产品,对其如何进行质量控制呢?在工业质量管理的方法里,有一种指标叫做过程能力指标Cpk,表示生产的部件与设计界限规定的范围的吻合程度,我们发现,把它应用在服务业上,也是一种很好的控制方法。下面就以某银行为例子,来说明它的应用。
某银行在营业高峰期时,顾客的等待时间最少是4分钟,银行承诺最多11分钟要办理完其全部业务,这是银行对过去的业务经验的总结,同时认为,一般的平均等待时间是8分钟,这反映了其职员处理业务的平均速度和平均熟练程度。在某个高峰时段银行办理了50位客户业务,每位客户的等待时间如下(为了便于计算0.5表示半分钟):
9.5,6.0,8.0,8.5,10.5,8.5,10.0,9.0,6.0,9.5,8.0,8.5,7.5
9.0,8.5,10.0,7.5,9.0,6.5,9.5,8.0,8.5,10.0,7.0,7.0,9.5,8.5,9.0,8.0,8.0,11.0,7.5,8.5,6.5,10.5,8.0,7.0,9.0,8.5
9.0,8.0,8.0,6.5,7.5,8.5,8.5,7.0,7.5,9.0,9.0
从这些数据可以看出银行实现了对顾客的承诺,每位顾客的等待时间都不超过11分钟,是否可以说该银行的服务质量达到了标准?部门经理应该如何评价本银行的的业务处理能力呢?

首先,我们要对这些数据作分析处理,如上图。从图中我们可以得到,直方图表示数据的频度,数据的分布大体上是服从正态分布的,且曲线中值偏向右侧。
USL和LSL分别表示的是服务要求范围的上限和下限,在本案例中就是11分钟和4分钟,即落在这个界限内的顾客等待时间都是合适的。一般对于USL和LSL的获得,可以有两种方法。一是固有的标准,例如,某钢板厚度控制在6.4到5.6毫米为合格品,这就是标准;另外一个是以往的经验的总结,例如根据某种经验,处理某些业务,根据正常的程序,一般要3到8天等等。
使用统计软件可以计算出样本数据的平均值和标准差分别是8.36和1.165,我们用与S来表示,在数学上它们分别是与a的无偏估计值。接下来让我们看一下它们的现实意义。
平均值=8.36分,反映了曲线的位置,是位置参数。这个数字对于顾客来说,它反映了在该银行办理业务的平均等待时间;对该银行来说,他反映了该部门的平均效率;而对于其职员来说,它反映了职员办理业务的平均熟练程度。
而标准差S反映了顾客等待时间,即银行服务速度的波动性,波动造成差异,这是服务质量变异的属性。差异的扩大会造成失控,在失控状态下,可能会造成业务的阻碍和客户的不满与抱怨。因此,对于S当然是越小越好,因为它越小表示数据越集中,越靠近平均值,也就是时间长度的差异不大;如果S越大,就表示变化范围越大,也就是差异很大,很可能会造成服务质量变异。
顾客等待的标准差S=1.165分,它的意义就是:在平均值的正负三个S的分钟里,即从4.5分钟到12分钟,大约有99.73%顾客等待的时间在这个界限范围内。
有了这些数据,我们可以用过程能力指数Cpk进行评价。
过程能力指数Cpk原来指企业生产合格品能力的大小,在本案例中Cpk指银行对顾客履行承诺的能力大小。通常将Cpk分为五个等级,以便针对不同的情况采取不同的措施来改进质量。特级:Cpk > 1.67,这时服务能力过高,企业可以考虑放宽质量要求;一级:1.33 < Cpk < 1.67,那就是服务能很好地满足标准,是一种理想的状态;二级:1.00 < Cpk < 1.33,可以认为服务质量是正常的,企业应该加强服务质量的控制和提高,以达到理想的状态;三级:0.67 < Cpk < 1.00,服务质量较差,企业应该采取措施,加强对服务提供质量的控制与管理;四级:Cpk < 0.67,企业服务质量严重不足,需要改进,如果Cpk越小,那么服务很可能已经严重失控。
Cpk的计算公式如下:

带入本案例数据计算出Cpk为0.76,该企业服务质量处于第三级,从管理层面来讲,表示服务质量不足,应立即采取措施改善。如果遇到这种情况,我们应该如何解决呢?管理者可以把曲线尽量向规定的中心位置移动。本案例中,一般顾客的平均等待时间是8分钟,可以说这是根据以往经验得到的平均效率,是正常的程序运作可以达到的,而顾客实际上平均的等待时间是8.36分,偏离了0.36。因而质量曲线表现出向右偏移的现象,这样就会导致偏移出规定的范围。所以,我们应该尽量把平均时间向中心位置(8分)靠近,即缩短顾客等待时间。产生顾客等待现象的根本原因是服务现场的抵达者数量超过系统的处理能力,因此,减少等待时间的最好方案是消除根本原因,这通常需要对现有的生产和人力资源策略进行重新考察。由于这样的改变可能需要花钱,所以商业银行管理人员必须高度重视服务质量和顾客满意度,把费用与提供给顾客更快服务的竞争优势联系起来。
- 鉴于此,我们拟将对减少顾客等待时间的策略浅述如下
- (一)加强员工培训,规范工作程序
管理者可以通过加强对员工的培训与监督,特别是效绩较差的员工,来改进服务质量,同时管理者应该建立一套规范的工作程序,使服务过程标准化,并且制定遇到特殊情况时的处理方式,以免顾客流失。此外,银行可向顾客提供“如何减少等待时间”宣传手册,提醒顾客高峰期的时间,并鼓励他们在不拥挤的非高峰时间寻求服务,那个时候服务会更快、更舒适。
- (二)切实推行随机动态服务系统,实现服务时间的最优配置
一般情形下,商业银行提高服务水平自然就会降低顾客等待费用,但却常常增加了服务机构的成本。为解决这个问题,有必要切实推行随机动态服务系统,最大限度缩短顾客等待时间,使商业银行的服务时间达到最优配置。其中要重点考虑和解决以下两个方面的内容:(1)性态问题。指各种顾客排队系统的概率规律性,研究队伍长度分布、等待时间分布和高峰期顾客分布等;(2)服务系统的统计推算。即判断一个给定的排队系统符合哪种模型,服从于哪种统计分布规律。
- (三)改进窗口设置方式和采取叫号方法
银行营业厅需要改进服务窗口设置方式,即不应全部设置为综合窗口和让顾客不加区别地排队,而是应根据顾客类别(如根据顾客办理业务种类不同分为现金业务、非现金业务、理财业务等,根据顾客办理业务额大小分为大额业务和小额业务等)分设不同服务窗口和让不同顾客分别排在不同价置。其次,采取号码排队结构,即顾客到达银行营业厅后,通过号票打印机获得号码,当叫到自己所持号码时即到服务台接受服务。此种排队结构有效地减少了顾客的体力成本和精神成本,能够保证“先到先服务”,顾客隐私和安全得到最大程度保障,从而受到顾客极大欢迎。
- (四)创新服务手段,提高服务效率
信息技术的飞速发展使银行逐渐改变了以柜面服务为主的营业方式,而侧重于服务体系的建设,以低成木高效率的“机构+鼠标”的方式发展,以实体银行的信誉、信用和基本功能为平台,延伸虚拟网点,从而收到“1+1>2”的效果。例如扩展自助设备功能,方便服务一般客户。自助设备相对于柜面服务来说,操作简单快捷,是服务一般客户口常存取款、代缴费等业务的主要手段,并且能有效减轻柜面的人流压力,使需要办理复杂业务的客户能更快地得到服务。利用互联网技术开通网上银行服务,不仅降低了的运营成本,还克服了时间和空间上的障碍,使顾客金融交易和服务可在任何时间、任何地点进行。
管理者结合上述手段,通过具体的措施实现改进,缩短顾客的等待时间,提高服务效率。当部门可以稳定达到指标时,管理者可以调节LSL与USL的值或中心值,例如,管理者可以把USL的值调到10分钟,计算得Cpk为0.47,显然降低,管理者需要进一步加强措施来提高效率。通过这样不断的调节,可以使服务标准得到不断改进与提高,并且在实际操作上加以配合,才可以达到顾客所意想不到的高效率与满意度。同时这是一种以数据和现实分析驱动的管理方法,它可以应用到很多地方,例如,餐饮、物流、零售等服务业,帮助我们改进和提高服务质量。
测量误差对过程能力指数的影响
任一制造过程的输出值(零件的特性值)都要通过一个测量系统获得测量数据,很多统计学家与质量管理专家长期的实践与研究得出,测量数据X是由零件的基准值Xp和测量误差ε两部分叠加而成的,即:
X = Xp + ε (1)
这就是测量数据的结构式。对式(1)两边求方差,可得:
(2)
式中,
为测量数据的总方差;
为零件间的方差;
为测量系统的方差。
真实的过程能力指数应该是
,但在存在测量误差时计算的过程能力指数为
,两者存在如下关系式:
(3)
在测量系统经过标定,其分辨力、稳定性和线性已经达到可接受水平时,测量系统的方差
只由重复性方差
和再现性方差
两部分组成,这样,测量系统的总方差由3部分组成,即:
(4)
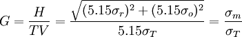
令TV = 5.15σT,PV = 5.15σp,EV = 5.15σr,AV = 5.15σo则由式(4)得到:
(TV)2 = (PV)2 + (EV)2 + (AV)2 (5)
TV为总变差,式(5)称为总变差平方的分解式,其中后两项的平方和(EV)2 + (AV)2称为量具重复性和再现性(记为R&R)的平方,R&R是表征测量系统好坏的特征数,它越小越好,它在总变差中所占百分比记为%R&R ,即:
(6)
- 注:G为%R&R,H为R&R
将式(6)代人式(3) ,可得:
(7)
- 注:G为%R&R
因此在存在测量误差时,过程能力指数
较之真实的过程能力指数Cp偏低,从而会低估过程能力。
为了减少测量误差对过程能力指数的影响,必须对测量系统的能力进行评价。当测量过程处于稳定状态时,在一定时间内选定标准件反复测量其标准样品,以测量值做控制图,考察其稳定性。若测量过程处于稳态,可以利用极差法估计重复性标准差σr和再现性标准差σo,进而计算评价标准R&R来评价测量系统的能力是否满足要求。
