数列的求和方法总结
数列求和的常用方法
永德二中 ##
数列是高中数学的重要内容,又是学习高等数学的基础。在高考和各种数学竞赛中都占有重要的地位。数列求和是数列的重要内容之一,除了等差数列和等比数列有求和公式外,大部分数列的求和都需要一定的技巧。
下面,简单介绍下数列求和的基本方法和技巧。
第一类:公式法
利用下列常用求和公式求和是数列求和的最基本最重要的方法。
1、等差数列的前
项和公式

2、等比数列的前
项和公式

3、常用几个数列的求和公式
(1)、
(2)、
(3)、
第二类:乘公比错项相减(等差
等比)
这种方法是在推导等比数列的前n项和公式时所用的方法,这种方法主要用于求数列
的前n项和,其中
,
分别是等差数列和等比数列。
例1:求数列
(
为常数)的前
项和。
解:Ⅰ、若
=0, 则
=0
Ⅱ、若
=1,则
Ⅲ、若
≠0且
≠1,
则
①
②
①式—②式:






综上所述:
解析:数列
是由数列
与
对应项的积构成的,此类型的才适应错位相减,(课本中的的等比数列前n项和公式就是用这种方法推导出来的),但要注意应按以上三种情况进行分类讨论,最后再综合成三种情况。
第三类:裂项相消法
这是分解与组合思想在数列求和中的具体应用。
裂项法的实质是将数列中的每项(通项)分解,然后重新组合,使之能消去一些项,最终达到求和的目的通项分解(裂项)如:
1、乘积形式,如:
(1)、
(2)、
(3)、
(4)、
2、根式形式,如:
例2:求数列
,
,
,…,
,…的前
项和
解:∵
=


例3:求数列
,
,
,…,
,…的前
项和
解:由于:
=
)
则:


解析:要先观察通项类型,在裂项求和时候,尤其要注意:究竟是像例2一样剩下首尾两项,还是像例3一样剩下四项。
第四类:倒序相加法
这是推导等差数列的前
项和公式时所用的方法,就是将一个数列倒过来排列(反序),再把它与原数列相加,就可以得到
个
。
例4:若函数
对任意
都有
。
(1)
,数列
是等差数列吗?是证明你的结论;
(2)求数列
的的前
项和
。
解:(1)、
(倒序相加)


则,由条件:对任意
都有
。








从而:数列
是
的等差数列。
(2)、

=

=
故:
=
解析:此类型关键是抓住数列中与首末两端等距离的两项之和相等这一特点来进行倒序相加的。
此例题不仅利用了倒序相加法,还利用了裂项相消法。在数列问题中,要学会灵活应用不同的方法加以求解。
第五类:分组求和法
有一类数列,既不是等差数列,也不是等比数列,若将这类数列适当拆开,可分为几个等差、等比或常见的数列,然后分别求和,再将其合并即可。
例5:求数列{
+
}的前
项和
解:令







令
①
②
①式—②式:






故:
例6:求数列{
}的前
项和
分析:将
用完全平方和公式展开,再将其分为几个数列的和进行求解。
解:
=
=
=


Ⅰ、令
①
时,
=
②
时,
=
Ⅱ、令
Ⅲ、令
①
时,
②
时,
=
=
=
=
=
=
综上所述:
①
时,
②
时,
这个题,除了注意分组求和外,还要注意分类讨论思想的应用。
第六类:拆项求和法
在这类方法中,我们先研究通项,通项可以分解成几个等差或等比数列的和或差的形式,再代入公式求和。
例7:求数列9,99,999,… 的前n项和
分析:此数列也既不是等差数列也不是等比数列启发学生先归纳出通项公式
可转化为一个等比数列与一个常数列。分别求和后再相加。
解:由于:
则:








例8:
=
解:由于:
则:
=
(等差+等比,利用公式求和)
=
=
解析:根据通项的特点,通项可以拆成两项或三项的常见数列,然后再分别求和。
这篇文章中,有6类重要方法,8个典型例题,大部分常见数列的前n项和都可以求出来了,由于知识的不完备,在该类知识上还有些缺憾,在此希望这篇文章可以带给学习数列的同学们多一些帮助。
第二篇:数列求和方法总结
数列求和的基本方法和技巧
数列是高中代数的重要内容,又是学习高等数学的基础。 在高考和各种数学竞赛中都占有重要的地位。 数列求和是数列的重要内容之一,除了等差数列和等比数列有求和公式外,大部分数列的求和都需要一定的技巧。 下面,就几个历届高考数学和数学竞赛试题来谈谈数列求和的基本方法和技巧。
一、公式法
利用下列常用求和公式求和是数列求和的最基本最重要的方法。
1、 差数列求和公式:
2、等比数列求和公式:
3、
4、
4、
例 :已知
,求
的前n项和.
解:由
由等比数列求和公式得
=
=
=1-
解析:如果计算过程中出现了这些关于n的多项式的求和形式,可以直接利用公式。
二、错位相减
这种方法是在推导等比数列的前n项和公式时所用的方法,这种方法主要用于求数列{an· bn}的前n项和,其中{ an }、{ bn }分别是等差数列和等比数列。
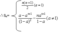
例:求数列a,2a2,3a3,4a4,…,nan, …(a为常数)的前n项和。
解:若a=0, 则Sn=0
若a=1,
则Sn=1+2+3+…+n=
若a≠0且a≠1
则Sn=a+2a2+3a3+4a4+…+ nan
∴aSn= a2+2 a3+3 a4+…+nan+1
∴(1-a) Sn=a+ a2+ a3+…+an- nan+1
=
∴Sn=
当a=0时,此式也成立。

解析:数列
是由数列
与
对应项的积构成的,此类型的才适应错位相减,(课本中的的等比数列前n项和公式就是用这种方法推导出来的),但要注意应按以上三种情况进行讨论,最后再综合成两种情况。
三、倒序求加
这是推导等差数列的前n项和公式时所用的方法,就是将一个数列倒过来排列(反序),再把它与原数列相加,就可以得到n个
。
[例5] 求证:
证明: 设
………………………….. ①
把①式右边倒转过来得
(反序)
又由
可得
…………..…….. ②
①+②得
(反序相加)
∴ 
解析:此类型关键是抓住数列中与首末两端等距离的两项之和相等这一特点来进行倒序相加的。
四、分组求和
有一类数列,既不是等差数列,也不是等比数列,若将这类数列适当拆开,可分为几个等差、等比或常见的数列,然后分别求和,再将其合并即可。
例:Sn=-1+3-5+7-…+(-1)n(2n-1)
解法:按n为奇偶数进行分组,连续两项为一组。
当n为奇数时:
Sn=(-1+3)+(-5+7)+(-9+11)+…+(-2n+1)
=2×
+(-2n+1)
=-n
当n为偶数时:

这是分解与组合思想在数列求和中的具体应用。 裂项法的实质是将数列中的每项(通项)分解,然后重新组合,使之能消去一些项,最终达到求和的目的通项分解(裂项)如:
(1)
(2)
(3)
(4)
(5)
(6) 
例:求数列
,
,
,…,
,…的前n项和S
解:∵
=
)
Sn=
=
=
解析:要先观察通项类型,在裂项求和,而且要注意剩下首尾两项,还是剩下象上例中的四项,后面还很可能和极限、求参数的最大小值联系。
六、合并求和
针对一些特殊的数列,将某些项合并在一起就具有某种特殊的性质,因此,在求数列的和时,可将这些项放在一起先求和,然后再求Sn.
例: 数列{an}:
,求S2002.
解:设S2002=
由
可得


……

∵
(找特殊性质项)
∴ S2002=
(合并求和)
=

=
=
=5
七、拆项求和
先研究通项,通项可以分解成几个等差或等比数列的和或差的形式,再代入公式求和。

解析:根据通项的特点,通项可以拆成两项或三项的常见数列,然后再分别求和。
另外:Sn=
可以拆成:Sn=(1+2+3+…+n)+(
)
八.错位相减
错位相减一般是一项等差数列一项等比数列的相乘,这个时候他的工具就是错位相减法
例:求1/2+3*(1/4)+5*(1/8)+…..+(2n-1)(1/2n)的和
解:设s=1/2+3*(1/4)+5*(1/8)+…..+(2n-1)(1/2n)………………… 1
乘以这个式子的公比(只看分母,简称这个为等差比数列)
1*(1/2)得:(1/2)s=1/4+3*(1/8)+5*(1/16)+……+(2n-1)(1/2n+1)………………………2
1-2可得1/2s=1/2+2*(1/4+1/8+……+1/2n)-(2n-1)(1/2n+1)
解上面式子:右边等比数列,只是多出来两项一项是1/2,一项是 (2n-1)(1/2n+1)
最后求出s即可
解析:此类型的题最主要的是找到等比数列的公比,然后给每一项乘以这个公比:在将得到的式子和原来的式子做减法,即可求出数列和
