普通股资本成本
普通股资本成本
金融术语普通股资本成本指筹集普通股所需的成本。这里的筹资成本,是指面向未来的成本,而不是过去的成本。增加普通股有两种方式:一种是增发新的普通股,另一种是留存收益转增普通股。
普通股资本成本的估计
普通股资本成本估计方法有三种:资本资产定价模型、股利增长模型、债券收益率模型。三种方法各有优点和缺点,不能说哪一种更好。通常三种方法都会使用,究竟选择哪一种,决定于相关数据的可靠性,选择最优把握的一种。其中资本资产定价模型应用最广泛。
不考虑发行费用的普通股资本成本的估计
(一)资本资产定价模型

其中:(rm-rRF)=市场风险溢价β*(rm-rRF)=股票的风险溢价;rm=平均风险股票报酬率;rRF=无风险利率
1.无风险利率的估计:长期政府债券的利率比较适宜;选择到期收益率;选择名义无风险利率。恶性通胀(CPI两位数)和预测周期特别长时才使用真实无风险利率,两者关系1+rRF=(1+r*)(1+CPI)r*=真实无风险利率。
2.股票β值的估计:公司风险特征无重大变化时可以采用5年或更长的预测期长度。收益计量的时间间隔每周或每月,年度报酬率较少采用。
3.市场风险溢价的估计:时间跨度应当尽可能延长。倾向使用几何平均法。
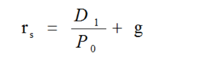
(二)股利增长模型

D1=预期下年现金股利额;P0=普通股当前市价; g=股利增长率
估计长期平均增长率的方法有三种:
1、历史增长率(几何平均数计算)

其中:PV=最早支付的股利 FV=最近支付的股利
2、可持续增长率:不增发新股或回购股票、经营效率与财务政策不变则:
股利增长率=可持续增长率=期初权益预期净利率*预计利润留存率
3、采用证券分析师的预测:
①将不稳定的增长率平均化,几何平均。
②根据不均匀的增长率(不均匀处)直接计算股权成本。
(三)债券收益率风险调整模型

rdt=税后债务成本;RPC=股东比债权人承担更大风险所要求的的风险溢价,一般用3%(风险较低)-5%(风险较高)。估计RPC的里一种方式是比较过去不同年份的权益报酬率和债券收益率。留存收益资本成本的估计与不考虑发行费用的普通股资本成本相同。
考虑发行费用的普通股资本成本的估计

普通股概述
普通股是享有普通权利、承担普通义务的股份,是公司股份的最基本形式。普通股的股东对公司的管理、收益享有平等权利,根据公司经营效益分红,风险较大。它构成公司资本的基础,是股票的一种基本形式,也是发行量最大,最为重要的股票。目前在上海和深圳证券交易所上中交易的股票都是普通股。
主要特点
①持有普通股的股东有权获得股利,但必须是在公司支付了债息和优先股的股息之后才能分得。
②当公司因破产或结业而进行清算时,普通股东有权分得公司剩余资产,但普通股东必须在公司的债权人、优先股股东之后才能分得财产,财产多时多分,少时少分,没有则只能作罢。
③普通股东一般都拥有发言权和表决权,即有权就公司重大问题进行发言和投票表决。
④普通股东一般具有优先认股权,即当公司增发新普通股时,现有股东有权优先(可能还以低价)购买新发行的股票,以保持其对企业所有权的原百分比不变,从而维持其在公司中的权益。
种类
①按股票有无记名,可分为记名股和不记名股
②按股票是否标明金额,可分为面值股票和无面值股票
③按投资主体的不同,可分为国家股、法人股、个人股等等
④按发行对象和上市地区的不同,又可将股票分为A股、B股、H股和N股等等。
