附息债券
附息债券
附息债券是指按照债券票面载明的利率及支付方式支付利息的债券。债券的票面利率为年化收益率。附息债券按照票面利率在偿还期内是否变化,分为固定利率债券和浮动利率债券。
债券是一种有价证券,是社会各类经济主体为筹集资金而向债券投资者出具的、承诺定期支付利息并到期偿还本金的债权债务凭证。债券的发行主体可以是政府(或政府机构)、非金融企业、金融机构,还可以是国际组织。
附息债券的主要内容
附息债券分为固定利率债券和浮动利率债券。
固定利率债券是指在发行时规定债券利率在偿还期内保持不变的债券。示例:2014年5月发行的国家开发银行2014年第十二期金融债券为固定利率债券,简称14国开12,债券代码为140212,债券于2014年5月9日起息,2015年5月9日到期,期限1年,票面利率为4.5%,到期一次还本付息。
浮动利率债券是指债券发行时规定债券利率在偿还期内随市场利率定期浮动的债券。浮动利率定价通常为某一参考基准利率加减固定利差,债券利率在存续期内随着基准利率的变化而调整。目前,人民币浮动利率债券的基准利率主要包括Shibor利率、一年定存利率和回购利率三种定价基准。
(1)3个月Shibor利率浮动债券
示例:2013年4月发行的进出口银行2013年第六期金融债券为3个月Shibor利率浮动债券,简称13进出06,债券代码为130306,债券于2013年4月19日起息,2016年4月19日到期,期限3年,票面利率为3个月Shibor利率5日均值-0.2%,每季度调整一次,每年付息4次。其中,3个月Shibor利率是指中国外汇交易中心暨全国银行间同业拆借中心在http://www.shibor.org网页发布的期限为3个月的上海银行间同业拆放利率。
(2)一年定存利率浮动债券
示例:2013年4月发行的国家开发银行2013年第二十六期金融债券为一年定存利率浮动债券,简称13国开26,债券代码为130226,债券于2013年4月18日起息,2023年4月18日到期,期限10年,票面利率为一年定存利率+1.15%,每半年调整一次,每年付息2次。其中,一年定存利率是指人民银行在http://www.pbc.gov.cn网页公布的人民币一年期定期存款利率。
(3)7天回购利率浮动债券
示例:2005年12月发行的2005年中信集团公司企业债券为7天回购利率浮动债券,简称05中信债1,债券代码为058031,债券于2005年12月9日起息,2015年12月9日到期,期限10年,票面利率为7天回购利率平均值+1.48%,每半年调整一次,每年付息2次。其中,7天回购利率是指中国外汇交易中心暨全国银行间同业拆借中心在 http://www.chinamoney.org 网页发布的标识为FR007的7天回购定盘利率。
附息债券的定价
附息债券是指债券发行人承诺按照债券的票面利率定期向投资者支付利息,(定期支付的利息凭证称为息票)并在债券到期时,即最后一次付息时必须偿还债券的面值。
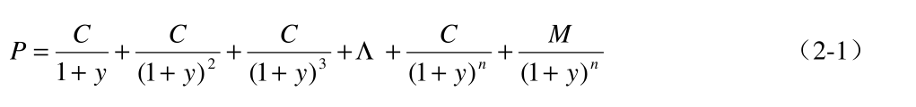
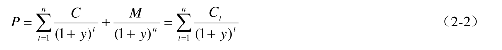
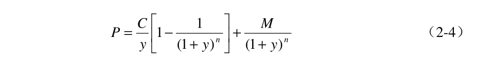
一般的,在离散时间下按复利计算,附息债券的价格公式如下:

或者:

其中:
P=债券的价格
n=期间数
C=每期利息值
y=每一期的利率,或称为折现率,也叫做投资者要求的回报率
M=票面值
t=收到支付的次数
Ct=第t次收到的款项
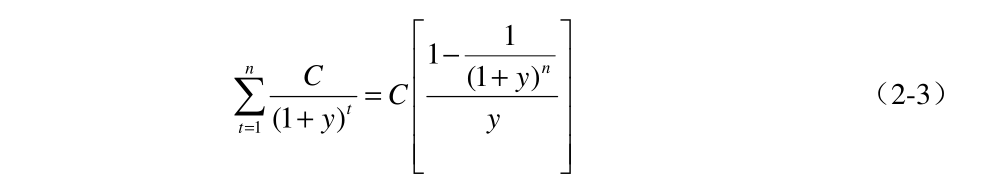
债券在到期前的所有利息收入的现值是:
C/1+y,C/(1+y)^2,......,C/(1+y)^n
我们组成一个等比数列,运用等比数列的求和公式可以得到:

这样公式(2-2)可以表示为:

附息债券应计利息的计算
附息债券是指本付息期起息日至交割日所含利息金额;贴现债券没有票面利率,其应计利息额为零或按发行收益率计算。
附息债券应计利息的计算公式如下(以每百元债券所含利息额列示):
应计利息额=票面利率÷365×(买卖结算日-上一利息支付日)×100
拟于今年下半年实行净价交易的短期贴现国债的应计利息计算公式如下(以每百元债券所含利息额列示):
应计利息额=(到期兑付额-发行价格)÷起息日至到期日的实际天数×起息日至交割日的实际天数。
付息债权登记日
附息债券每次付息时需要进行债权登记,一般每次付息日的前一个交易日为债权登记日,债权登记日日终前卖出的债券持有者不享有本期利息。
