商誉审计
商誉审计
审计术语商誉审计是指对商誉进行的审计。审计目标为证实企业报表中商誉账面价值是否完整、是否由被审计单位拥有或控制、是否存在、计价与分摊是否正确、是否恰当列报。
商誉审计要点
一、获取商誉明细(一般采集企业账套都可以获取)。
二、获取合并协议、双方董事会决议等文件以判断购买日、合并类型、合并目的。
三、获取与合并有关的审计报告、资产评估报告(确定净资产价值、是否评估增值或减值)。
四、对商誉进行减值测试,《企业会计准则第8号——资产减值》规定“企业合并所形成的商誉,至少应当在每年年度终了进行减值测试。商誉应当结合与其相关的资产组或者资产组组合进行减值测试。”一般企业的商誉不存在减值的情况。
五、对商誉的审计应结合长期股权投资的审计(注:同一控制下的企业合并不产生新的商誉,非同一控制下的企业合并产生的商誉为购买日支付的价款大于应享有被投资单位净资产的份额)。
六、部分会计处理参考
| 项目 | 会计处理 |
| 计算商誉减值: 控股合并下:非全资子公司需要还原完全商誉=母公司商誉/母公司持股比例 子公司可辨认净资产账面价值=购买日子公司可辨认净资产的公允价值+持有期间实现的净利润-分配的现金股利+其他导致所有者权益增加的事项 吸收合并下:不需要还原完全商誉 | 子公司净资产的账面价值(含完全商誉)>可收回金额 母公司计提减值金额=子公司计提的分配给商誉减值金额*母公司持股比例 借:资产减值损失 贷:商誉减值准备 |
商誉审计需要关注的事项
商誉是监管机构、审计机构、报告使用者非常关注的一个事项,主要原因是其金额的重大性、假设因素的不稳定性。
下面从审计的角度来谈商誉审计需要关注的事项。我们审计人员不能像评估人员那样,用各项参数、假设、方法等将评估工作从头到尾来一遍,但是总体的方向、主要的一些方法、参数我们是需要关注的。
一、商誉减值总体原则:
根据准则规定因企业合并所形成的商誉和使用寿命不确定的无形资产,无论是否存在减值迹象,每年都应当进行减值测试。
商誉难以独立产生现金流量,因此需要将商誉分摊至相关的资产组或资产组组合进行减值测试。
在合并财务报表中反映的商誉,不包括子公司归属于少数股东权益的商誉。但对相关的资产组(或者资产组组合,下同)进行减值测试时,应当将归属于少数股东权益的商誉包括在内,调整资产组的账面价值,然后根据调整后的资产组账面价值与其可收回金额进行比较,以确定资产组(包括商誉)是否发生了减值。
二、评估师的评估过程
评估师在评估时一般有两种方法:资产基础法和收益法。
我们无需深入了解两者的具体含义,只需要了解两者最大的区别,既资产基础法仅对各单项有形资产和可确指的无形资产进行了评估,但不能完全体现各个单项资产组合对整个公司的贡献,也不能完全衡量各单项资产间的互相匹配和有机组合因素可能产生出来的整合效应。而公司整体收益能力是企业所有环境因素和内部条件共同作用的结果。换言之,一个企业并购另一个企业,看准的是“整合效应”“共同作用的结果”,不是简单的资产或负债的相加减,也不是像存货一样今天买明天卖。
所以评估值一般采用的都是收益法评估出来的结果。同时两种方法本质的差异,也说明了采用两种方法评估出来的结果会大相径庭,且收益法评估结果高于资产基础法。
收益法常用的具体方法,见下表:
| 折现方法 | 具体类别 | 折现率 | 备注 |
| 股利折现法 | 将预期股利进行折现 | 不适用 | 通常应用于缺乏控制权的股东部分权益价值评估、评估股票价值的工具 |
| 现金流量折现法 | 股权自由现金流折现模 | 权益资本成本 | 评估值内涵为股东全部权益价值 |
| 企业自由现金流折现模型 | 加权平均资本成本 | 评估值内涵为企业整体价值 |
股利折现法学过财管的小伙伴肯定不陌生,他是评估股票价值的主要工具,这种题应该没少做。
基于并购的目的,评估师一般选择“企业自由现金流折现模型”,通过对企业整体价值的评估来间接获得股东全部权益的可收回金额。
评估师的评估逻辑如下:
1.股东全部权益价值=企业整体价值-付息债务价值
2.企业整体价值=经营性资产价值+溢余及非经营性资产价值
溢余资产是指与企业主营业务收益无直接关系的,超过企业经营所需的多余资产,主要包括溢余现金、闲置的资产。
非经营性资产、负债是指与企业经营业务收益无直接关系的,未纳入收益预测范围的资产及相关负债,常见的如:没有控股权的长期投资、递延所得税资产负债、企业为离退休职工计提的养老金等对该类资产单独评估后加回。
有息债务主要是指被评估单位向金融机构或其他单位、个人等借入款项如:短期借款、长期借款、应付债券,本次采用成本法评估。
经营性资产价值的收益期限分为有限期限和无限期限。换言之,合并一家企业是准备持有几年还是永久经营下去,一般来讲合并的目的是无限期正常持有经营下去。
所以按照无限期限来评估。无限期现续年期又分为两阶段,详细预测期(5年)和稳定预测期。
3.经营性资产价值=详细预测期的自由现金流量现值+稳定预测期的自由现金流量现值
4.自由现金流量=净利润+折旧及摊销+税后利息支出-营运资金增加-资本性支出
5.折现率
折现率是我们关注的一个重点,不同的评估方式要选择对应的折现率。如果被评估企业不是上市公司,其折现率不能直接计算获得。一般会选取对比公司进行分析计算来估算被评估企业的期望投资回报率。第一步,首先在上市公司中选取对比公司,然后估算对比公司的系统性风险系数β,第二步,根据对比公司平均资本结构、对比公司β以及被评估公司资本结构估算被评估企业的期望投资回报率,并以此作为折现率。
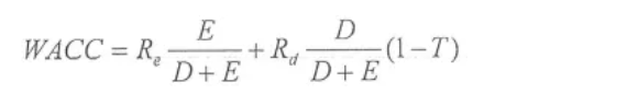
5-1.加权平均资本成本
企业自由现金流折现模型对应的是加权平均资本成本。计算方式如下:

Re为权益资本成本
Rd为付息负债资本成本
T为所得税税率
5-2.权益资本成本Re
采用资本资产定价模型(CAPM),其计算公式为:
Re=Rf+β*(Rm-Rf)+Rc
Rf为无风险收益率
β为被评估企业的预期市场风险系数
(Rm-Rf)为市场平均风险溢价
Rc为被评估企业特有风险调整系数
非上市企业的β需要通过对比公司推算得出。学过财管的小伙伴同样不陌生,那就是通过加减杠杆来计算出目标公司的β。评估机构一般会通过同花顺资讯公司、Wind证券资讯终端系统选取同行业可比上市公司基准日β值。
被评估企业特有风险调整系数。评估师一般会从行业竞争激烈程度、资产规模、公司治理结构、公司资本结构等方面对企业个别风险进行分析,并根据各因素对个别风险的影响综合判断后得出企业个别风险取值。
以上便是整个评估工作的流程及涉及的主要参数,有些参数我们不做详述,实务中通过阅读评估报告及将各期数据进行对比也便于我们发现其中的异常。
三、审计关注重点
评估师是将企业盈利预测的净利润调整为自由现金流量,然后将其折现得到经营性资产价值,再加上溢余及非经营性资产价值减去付息债务价值得到股东全部权益价值。基于这样的思路我们在每年对企业的商誉审计时要关注:
关注点一:商誉资产组的认定
资产组的认定是第一步,如果资产组认定不恰当后续的测试都是徒劳。所以首先要关注资产组认定的合理性。根据《会计风险提示第8号-商誉减值》及中国注册会计师协会关于印发《中国注册会计师审计准则问题解答第17号——商誉减值的审计》的通知公司应在购买日将商誉分摊至相关资产组或资产组组合,并在后续会计期间保持一致。当形成商誉时收购的子公司后续存在再并购、再投资、处置重要资产等情形时,除符合上述一定条件外,不应随意扩大或缩小商誉所在资产组或资产组组合。
X公司于2X23年8月份收购甲公司80%股权,对甲公司进行控制,形成商誉6000万元。在取得控制权之后X公司将自身一部分业务通过内部转移的方式注入至甲公司,甲公司由此2X23年度收入及利润均有大幅增加。收购日甲公司的盈利预测中收入结构仅包含自身原有业务,未包含该部分转移而来的业务,亦未提及有相关协同效应。则2X23年末商誉减值测试中对于商誉相关资产组的认定不应包含该部分转移而来的业务。
关注点二:企业盈利预测的净利润
1.净利润来源于被评估单位管理层提供的盈利预测报告,主要影响因素有预测期的年限(1-5年)及预测期内的收入增长率(g)、利润率等参数及其确定依据,以及稳定期(永续期)增长率、利润率等参数及其确定依据。
每年我们对企业的预测数据审核时,首先要关注往期预测的数据与实际是否存在较大差异,然后关注未来期的数据是否合理,是否具有强有力的证明文件,如收入合同市场需求趋势等。
2.资产组现金流量特征假设要一致
某上市公司2X19年、2X20年假设商誉相关资产组在每个预测年度的中期产生现金流并能获得稳定收益,折现年限取值为0.5年、1.5年等。2X21年2X22年是假设商誉相关资产组在每个预测年度的年末产生现金流,折现年限取的是1年、2年等。明显各期口径不一致。
关注点三:加权平均资本成本
1.企业自由现金流折现模型对应的是加权平均资本成本,不要选错。
2.加权平均资本成本源于企业的目标资本结构,因此企业的目标资本结构要合理且在整个预测期基本一致,也就是说我们每年在对评估报告审核时,要关注企业的资本结构是否发生了较大变化。
3.各期β取值是否存在较大差异
某上市公司2x19年、2x20年折现率预测中的可比公司“含资本结构因素的β”是按照基准日近3年的期间数据进行取值计算。2x21年、2x22年却按照基准日前100周、2年取值计算。明显前后期口径不一致。
4.每年评估选取可比公司时,口径是否一致
某上市公司2X19年、2X20年折现率预测中的可比公司“股权公平市场价值”包含了可比公司少数股东权益的账面价值。2X21年、2X22年折现率预测中的可比公司“股权公平市场价值”未包含可比公司少数股东权益的账面价值。明显前后期口径不一致。
5.被评估单位的税率T
税率是被评估企业未来有效的所得税税率,某些高新技术企业适用优惠税率且有年限,我们需要关注未来企业是否还能适用优惠税率。
商誉审计注意事项
1、商誉及商誉减值内控审计程序不到位,如未设计专门程序对相关内部控制进行了解,也未对相关预算管理设计并执行内控审计程序;未发现被审计单位的商誉减值测试程序不到位,如未执行减值测试程序、资产组划分不符合准则规定、折现率等关键参数选择不合理等;未关注商誉资产组中其他资产减值情况。
2、未能识别商誉初始计量时存在的错误,如购买外资或境外子公司确认商誉时使用的汇率有误,导致多计商誉和其他综合收益的情况。
3、商誉减值测试程序不充分。无商誉减值测试过程中所使用方法的记录,底稿中无公司未来经营计划,且对管理层编制的现金流量预测和经董事会批准的财务预算、预测期的收入增长率和历史收入增长率、预测期毛利率和历史毛利率进行比较的记录不完善,也无年度预计销售毛利率与预测期后面年度相差较大的相关说明。未见对使用参数的检查说明,无折现系数得出依据及说明。
4、商誉减值测试程序不完善。一是在被投资公司收入呈持续下滑趋势且未能完成业绩承诺的情况下,商誉减值测算时仍对营业收入预测采用往年的增长率。会计师未获取经营预测所依据的合同、协议等资料,未获取被投资公司年度经营计划、季度财务报表等资料以分析预测经营数据的可实现性,未能有效应对商誉减值存在的重大错报风险。二是根据资产评估报告的评估结果,被审计单位的商誉存在减值迹象,但未见会计师予以关注并执行进一步审计程序。
5、商誉减值测试中存在资产组认定与未来现金流预测口径不一致、协同效应的考虑不符合准则要求等问题。在复核时未取得部分商誉相关资产组未来收入、成本、销售费用、管理费用等关键参数的具体依据,未取得充分、适当的审计证据。
6、专家工作利用不当。项目组在利用管理层专家或内部专家工作的过程中,普遍存在复核不到位,甚至直接使用专家工作成果的情况。未评价分析商誉所在资产组的未来盈利能力,仅获取了咨询报告,未评价外部专家工作,也未执行内部专家复核。子公司年末净资产为负,会计师未对与该子公司相关的商誉进行减值测试。未对减值评估中采用的折现率等执行敏感性分析等。
7、利用专家工作时,未询问可能对外部专家客观性产生不利影响的利益和关系。未充分关注和复核专家的独立性和胜任能力。
8、对商誉减值迹象的复核不到位。一是个别项目存在当年收购并确认商誉,当年便全额计提减值准备的情况,会计师未对商誉减值迹象的判断进行充分复核和记录。二是管理层判断部分商誉未发生减值,会计师未在底稿中记录分析复核过程。三是并购标的业绩未达预期,商誉未计提减值合理性存疑。
9、对资产组划分的复核不到位。一是个别项目将若干报告分部包含在子公司中作为一个资产组进行减值测试,导致资产组大于报告分部,违反会计准则要求。二是部分项目的资产组中包含了与商誉无关的资产。三是部分项目中审计机构与评估机构认定的资产组不一致,审计报告披露的资产组与审计底稿的不一致。
10、有的被审计单位未合理认定资产组,直接将子公司的全部资产与负债整体划分为一个资产组,未将非经营性资产、负债剔除;未合理考虑管理层对商誉的管理方式和监控水平,认定的资产组组合大于报告分部;有的被审计单位未根据子公司业务变更的实际情况,合理调整资产组或资产组组合范围。会计师未结合具体业务情况充分分析被审计单位认定的商誉所在资产组或资产组组合的合理性。
11、对减值测试方法与模型的复核不到位。一是未对评估方法的适用性进行充分关注。个别项目对轻资产公司仅使用成本法进行商誉减值测试,会计师未对此进行充分分析。二是未发现现金流和折现率模型使用方面存在的问题。个别项目使用的现金流模型计算公式存在错误,未考虑财务费用的加回;折现率选用权益资本成本,与企业自由现金流不匹配。
12、有的被审计单位未按照预计未来现金流量现值和公允价值减去处置费用后的净额二者孰高,而是简单直接采用一种方法估计资产组的可收回金额,可能导致高估商誉减值金额。会计师未充分关注前述问题并复核被审计单位管理层的工作,未合理评价减值测试方法的恰当性。
13、对基础数据和关键参数的复核不到位。一是对折现率相关取值复核不到位。部分项目特定风险调整系数取值为零,未见充分分析;在选取重要参数时,被审计单位未充分关注报告期已经发生的行业变化趋势或本企业生产经营的实际情况,有意采用较为乐观或悲观的估计,会计师未关注其合理性。个别项目近几年商誉减值测试中使用的折现率均相同,未根据市场情况调整,会计师未就其合理性进行分析。二是对营运资金计算复核不到位。个别项目周转次数计算有误或取值不合理,营运资金计算与资产组范围不一致,会计师未发现相关计算错误,也未对相关取值的合理性进行充分分析。三是对盈利预测复核不到位。部分项目预测数据和历史数据差异较大,甚至只有预测数据,没有历史数据,未见会计师对其合理性进行充分分析。四是未执行敏感性分析程序。个别项目中,会计师认为商誉存在特别风险,但未采用敏感性分析等方法评价管理层所作判断的合理性。
14、对减值分摊与会计处理的复核不到位。一是对减值分摊复核不到位。个别项目在全额计提商誉减值损失后,剩余损失未按比例抵减资产组中除商誉之外的其他各项资产的账面价值。二是商誉减值计提依据不充分。个别项目测算的减值金额小于商誉账面价值,但仍全额计提商誉减值,减值计提依据不充分。三是对减值金额测算复核不到位。个别项目按照权益法持续计算的长期股权投资测算商誉减值金额,不符合准则规定。
15、对管理层及其聘请的专家的工作复核不到位,未对减值测试模型、相关参数的恰当性,预测数据和历史数据的差异,以及计算过程的准确性保持职业谨慎态度,导致未能发现相关错误。部分项目仍以全部股东权益价值作为商誉所在资产组,且部分项目未关注公司使用收购时出具的评估报告数据进行商誉减值测试的情况。对同一资产组前后两次评估所使用的重要参数贝塔值不一致,未获取充分证据并说明理由。
16、在年报信息披露和底稿记录方面存在的问题,如商誉资产组的账面价值披露有误、商誉减值相关披露缺乏实质性内容、商誉及商誉减值相关信息未进行充分披露,与商誉有关的资产组组成与前期相比发生了较大变化,但被审计单位未在财务报表附注中披露资产组变化的原因以及前期和当期资产组组成情况等信息,会计师未做合理评价。关键审计事项中披露的部分审计程序未见相关底稿等。
