经济增加值法
经济增加值法
根据《管理会计应用指引第602号——经济增加值法》,经济增加值法,是指以经济增加值(Economic Value Added,简称EVA)为核心,建立业绩指标体系,引导企业注重价值创造,并据此进行绩效管理的方法。
经济增加值,是指税后净营业利润扣除资本成本后的净值。经济增加值及其改善值是全面评价经营者有效使用资本和为企业创造价值的重要指标。经济增加值为正,表明经营者在为企业创造价值;经济增加值为负,表明经营者在损毁企业价值。
经济增加值法的适用范围
经济增加值法的适用对象为成长期以上企业。初创期企业、人力资本和信息资本等无形资产占主导的企业,以及周期性、波动性较大的企业,应慎重选用经济增加值法。
绩效管理的对象可为企业及其下级单位(部门)(可单独计算经济增加值)和高级管理人员。
经济增加值法较少单独使用,一般与关键业绩指标法、平衡计分卡等其他方法结合使用。
经济增加值法的应用环境
《管理会计应用指引第602号——经济增加值法》对经济增加值法的应用环境的规定:
(一)经济增加值法需要企业树立价值管理理念,明确以价值创造为中心的战略经营目标,建立以经济增加值为核心的价值管理体系,使价值管理成为企业的核心管理制度。
(二)企业应综合考虑宏观环境、行业特点和企业的实际情况,通过价值创造模式的识别,确定关键价值驱动因素,构建以经济增加值为核心的指标体系。
(三)企业应建立清晰的资本资产管理责任体系,确定不同被评价对象的资本资产管理责任。
(四)企业应建立健全会计核算体系,确保财务数据完整、真实、有效,及时准确地获取与经济增加值计算相关的会计数据。
(五)企业应加强融资管理,关注筹资来源与渠道,及时获取债务资本成本、股权资本成本等相关信息,合理确定资本成本率。
(六)企业应加强投资管理,把能否增加价值作为新增投资项目决策的主要评判标准,以保持持续的价值创造能力。
经济增加值法的应用程序
《管理会计应用指引第602号——经济增加值法》对经济增加值法的应用程序的规定:
经济增加值法应用的一般程序包括制定以经济增加值指标为核心的业绩计划、制定激励计划、执行业绩计划与激励计划、实施业绩评价与激励、编制业绩评价与激励管理报告。
(一)业绩计划是企业开展业绩评价工作的行动方案,包括构建指标体系、分配指标权重、确定业绩目标值、选择计分方法和评价周期、签订业绩合同等一系列管理活动。制定业绩计划通常从企业级开始,层层分解到下级单位(部门)或高级管理人员。
(二)构建经济增加值指标体系的一般流程如下:
1、制定企业级经济增加值指标体系。首先应结合行业竞争优势、组织结构、业务特点、会计政策等情况,确定企业级经济增加值指标的计算公式、调整项目、资本成本率等,并围绕经济增加值的关键驱动因素,制定企业的经济增加值指标体系。
2、制定下级单位(部门)级经济增加值指标体系。根据企业级经济增加值指标体系,结合下级单位(部门)所处行业、业务特点、资产规模等因素,在充分沟通的基础上,设定下级单位(部门)级经济增加值指标的计算公式、调整项目、资本成本率等,并围绕下级单位(部门)经济增加值的关键驱动因素,细化制定下级单位(部门)的经济增加值指标体系。
3、制定高级管理人员的经济增加值指标体系。根据企业级、下级单位(部门)级经济增加值指标体系,结合高级管理人员的岗位职责,制定高级管理人员的经济增加值指标体系。
(三)经济增加值等于税后净营业利润减去资本成本后的净额,资本成本为加权平均资本成本率与调整后的平均资本占用的乘积。经济增加值的计算公式为:经济增加值=税后净营业利润-资本成本=税后净营业利润-平均资本占用×加权平均资本成本率其中:税后净营业利润衡量的是企业的经营盈利情况;平均资本占用反映的是企业持续投入的各种债务资本和股权资本;加权平均资本成本率反映的是企业各种资本的平均成本率。
(四)计算经济增加值时,需要进行相应的会计项目调整,以消除财务报表中不能准确反映企业价值创造的部分。会计调整项目的选择应遵循价值导向性、重要性、可控性、可操作性与行业可比性原则,数据来源于财务报表。第十五条税后净营业利润等于会计上的税后净利润加上利息支出等会计调整项目后得到的税后利润。计算税后净营业利润的会计调整项目,应根据不同企业实际情况,以及企业不同时期的价值主张合理确定。常用的调整项目有:
1、一次性支出但收益期较长的费用,予以资本化处理,如研究开发费、大型广告费等。
2、反映付息债务成本的利息支出,不作为期间费用扣除,扣除所得税影响后予以加回。
3、营业外收入、营业外支出具有偶发性,将当期发生的营业外收支从税后净利润中扣除,并与以前年度累计发生的营业外收支合并做资本化处理。
4、将当期减值准备发生额扣除所得税影响后予以加回。
5、递延税金不反映实际支付的税款情况,将递延所得税负债的增加额、递延所得税资产的减少额加回到税后净利润中。
6、其他非经常性损益调整项目,如股权转让收益等。第十六条平均资本占用是所有投资者投入企业经营的全部资本,包括债务资本和股权资本。其中债务资本包括长短期借款、应付债券等有息负债,不包括应付账款、应付票据、其他应付款等不产生利息的无息流动负债。股权资本中包含少数股东权益。计算平均资本占用时选择的会计调整项目,可根据企业实际情况确定,一般计算公式为:
平均资本占用=平均所有者权益+平均负债-平均无息流动负债-平均在建工程+平均减值准备+平均递延所得税负债贷方余额-平均递延所得税资产借方余额+(累计营业外支出-累计营业外收入)×(1-所得税税率)
平均无息流动负债=平均流动负债-平均短期借款-平均一年内到期的长期负债
平均减值准备=平均坏账准备+平均存货跌价准备+平均长期投资减值准备+平均短期投资减值准备+平均固定资产减值准备+平均无形资产减值准备+平均在建工程减值准备+平均商誉减值准备等减值准备
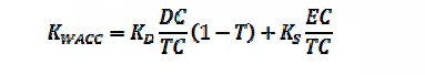
(五)加权平均资本成本率是债务资本和股权资本的加权平均资本成本率,反映了投资者对投入资本的最低回报要求。加权平均资本成本率的计算公式如下:

其中:TC代表资本占用,EC代表股权资本,DC代表债务资本;T代表所得税税率;KWACC代表加权平均资本成本率,KD代表债务资本成本率,KS代表股权资本成本率。
债务资本成本率是企业实际支付给债权人的税前利率,反映的是企业在资本市场中债务融资的边际成本。如果企业存在不同利率的融资来源,债务资本成本率应使用加权平均值。股权资本成本率是在不同风险下,所有者对投资者要求的最低回报。通常根据资本资产定价模型确定,计算公式为:
![]()
其中:Rf为无风险收益率,Rm为市场预期回报率,Rf- Rm为市场风险溢价。β是企业股票相对于整个市场的风险指数。上市企业的β值,可采用最小二乘法、回归分析法等方法测算确定,也可以直接采用投资银行、证券机构等提供或发布的β值。非上市企业的β值,可采用类比法,参考同类上市企业的β值确定。
(六)企业级加权平均资本成本率确定后,应结合行业情况、不同下级单位(部门)的特点,通过计算(能单独计算的)或指定(不能单独计算的)的方式确定下级单位(部门)的资本成本率。通常情况下,企业对下级单位(部门)所投入资本即股权资本的成本率是相同的,为简化资本成本率的计算,下级单位(部门)的加权平均资本成本率一般与企业保持一致。
(七)经济增加值法指标体系通常包括经济增加值、经济增加值改善值、经济增加值回报率、资本周转率、产量、销量、单位生产成本等。
(八)应用经济增加值法建立的业绩评价体系,应赋予经济增加值指标较高的权重。
(九)经济增加值(EVA)目标值根据EVA基准值和期望的EVA改善值(△EVA)确定。
EVA目标值=EVA基准值+期望的△EVA
企业在确定EVA基准值和期望的△EVA值时,要充分考虑企业规模、发展阶段、行业特点等因素。其中,EVA基准值可参照上年实际完成值、上年实际完成值与目标值的平均值、近几年(比如前3年)实际完成值的平均值等确定。期望的△EVA值,根据企业战略目标、年度生产经营计划、年度预算安排、投资者期望等因素,结合价值创造能力改善等要求综合确定。
(十)业绩评价计分方法和周期的选择、业绩合同的签订,参照《管理会计应用指引第600号——绩效管理》,业绩评价周期一般可分为季度、半年度、年度、任期。
(十一)经济增加值法的激励计划按激励形式可分为薪酬激励计划、能力开发激励计划、职业发展激励计划和其他激励计划。应用经济增加值法建立的激励体系,应以经济增加值的改善值为基础。
1、薪酬激励计划主要包括目标奖金、奖金库和基于经济增加值的股票期权。
(1)目标奖金。目标奖金是达到经济增加值目标值所获得的奖金,只对经济增加值增量部分实施奖励。
(2)奖金库。奖金库是基于对企业经济增加值长期增长目标实施的奖励。企业设立专门的账号管理奖金,将以经济增加值为基准计算的奖金额存入专门账户中,以递延奖金形式发放。
(3)股票期权。根据经济增加值确定股票期权的行权价格和数量,行权价格每年以相当于企业资本成本的比例上升,授予数量由当年所获得的奖金确定。
2、能力开发激励计划主要包括对员工知识、技能等方面的提升计划。
3、职业发展激励计划主要是对员工职业发展做出的规划。
4、其他激励计划包括良好的工作环境、晋升与降职、表扬与批评等。
(十二)业绩计划和激励计划制定后,执行、实施及编制报告参照《管理会计应用指引第600号——绩效管理》。
(十三)经济增加值法在应用过程中,应循序渐进,在企业及部分下级单位试点的基础上,总结完善后稳步推开。
经济增加值法的应用评价
经济增加值法的本质是经济利润,考虑了所有资本的成本,其核心是企业的盈利只有高于其资本成本时才会创造价值,更真实地反映了企业的价值创造能力。
以经济增加值改善值为基础的激励体系,实现了企业利益、经营者利益和员工利益的统一,激励经营者和所有员工为企业创造更多的价值。
应用经济增加值法,能有效遏制企业盲目扩张规模以追求利润总量和增长率的倾向,引导企业注重长期价值创造。
经济增加值是对企业当期或未来1-3年价值创造情况的衡量和预判,无法衡量企业长远发展战略的价值创造情况,与企业战略的关联度不高。
经济增加值的计算主要基于财务指标,无法对企业的运营效率与效果进行综合评价,需与其他非财务指标结合使用。
经济增加值及其改善值的计算,涉及大量会计调整项目,并且不同行业、不同规模的企业,其加权平均资本成本率各不相同,计算比较复杂。
