成本性态
成本性态
成本性态,是指成本总额与特定业务量之间在数量方面的依存关系,这种关系是客观存在的,又称为成本习性。
成本按其性态分类可以避免成本按经济职能分类的缺陷,将成本同企业的生产能力联系起来,便于事前控制成本并进一步挖掘企业的内部潜力,以达到增收节支的目的。
这里的成本总额主要是指为取得营业收入而发生的营业成本费用,包括全部生产成本和销售费用、管理费用及财务费用等非生产成本。这里的业务量是指企业在一定的生产经营期内投入或完成的经营成果量的统称。
成本性态的特点
由于相关范围的存在,使得各类成本的性态具有相对性、暂时性和可能转化性的特点。
(一)成本性态的相对性,是指在同一时期内,同一成本项目在不同企业之间可能具有不同的性态。
(二)成本性态的暂时性,是指就同一企业而言,同一成本项目在不同时期可能有不同的性态。
(三)成本性态的可能转化性,是指在同一时空条件下,某些成本项目可以在固定成本和变动成本之间实现相互转化。
成本性态的分类
按照成本性态,成本可划分为固定成本、变动成本和混合成本。
固定成本,是指在一定范围内,其总额不随业务量变动而增减变动,但单位成本随业务量增加而相对减少的成本。
变动成本,是指在一定范围内,其总额随业务量变动发生相应的正比例变动,而单位成本保持不变的成本。
混合成本,是指总额随业务量变动但不成正比例变动的成本。
成本性态分析
成本性态分析,是指企业基于成本与业务量之间的关系,运用技术方法,将业务范围内发生的成本分解为固定成本和变动成本的过程。
混合成本的分解方法主要包括:高低点法、回归分析法、账户分析法(也称会计分析法)、技术测定法(也称工业工程法)、合同确认法,前两种方法需要借助数学方法进行分解,后三种方法可通过直接分析认定。
(一)高低点法:企业以过去某一会计期间的总成本和业务量资料为依据,从中选取业务量最高点和业务量最低点,将总成本进行分解,得出成本模型。
计算公式如下:
单位变动成本=(最高点业务量-最低点业务量)/最高点业务量的成本-最低点业务量的成本
固定成本总额=最高点业务量的成本-单位变动成本×最高点业务量
或:=最低点业务量的成本-单位变动成本×最低点业务量
高低点法计算较为简单,但结果代表性较差。
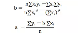
(二)回归分析法:企业根据过去一定期间的业务量和混合成本的历史资料,应用最小二乘法原理,计算最能代表业务量与混合成本关系的回归直线,借以确定混合成本中固定成本和变动成本的方法。
计算公式如下:
假设混合成本符合总成本模型,即:Y=a+bX式中:a为固定成本-23-部分;b为单位变动成本。

回归分析法的结果较为精确,但计算较为复杂。
(三)账户分析法:企业根据有关成本账户及其明细账的内容,结合其与产量的依存关系,判断其比较接近的成本类别,将其视为该类成本。
账户分析法较为简便易行,但比较粗糙且带有主观判断。
(四)技术测定法:企业根据生产过程中各种材料和人工成本消耗量的技术测定来划分固定成本和变动成本。
技术测定法仅适用于投入成本和产出数量之间有规律性联系的成本分解。
(五)合同确认法:企业根据订立的经济合同或协议中关于支付费用的规定,来确认并估算哪些项目属于变动成本,哪些项目属于固定成本。
合同确认法一般要配合账户分析法使用。
