偿债基金
由 Network 分享
时间:
偿债基金
偿债基金是指为使年金终值达到既定金额每年末应收付的年金数额。
年金终值是指最后一次支付时的本利和,它是每次支付的复利终值之和。按复利换算到最后一期期末的终值,然后加总,就是该年金终值。
偿债基金系数
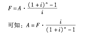
根据普通年金终值计算公式:

上式中的加图是普通年金终值系数的倒数,称为偿债基金系数,记作(A/F,i,n)。它可以把普通年金终值折算为每年需要收付的金额。偿债基金系数可以制成表格备查,亦可根据普通年金终值系数的倒数确定。
偿债基金折旧法
有一种折旧方法,称为偿债基金法,其理论依据是“折旧的目的是保持简单再生产”。为在若干年后购置设备,并不需要每年提存设备原值与使用年限的算术平均数,由于利息不断增加,每年只需提存较少的数额即按偿债基金提取折旧,即可在使用期满时得到设备原值。偿债基金法的年折旧额,就是根据偿债基金系数乘以固定资产原值计算出来的。
