无税MM理论
无税MM理论
无税MM理论是指在不考虑公司所得税,且企业经营风险相同而只有资本结构不同时,公司的资本结构与公司的市场价值无关。或者说,当公司的债务比率由零增加到100%时,企业的资本总成本及总价值不会发生任何变动,即企业价值与企业是否负债无关,不存在最佳资本结构问题。
无税MM理论的两个命题
在不考虑企业所得税的情况下,MM理论研究了两个命题:
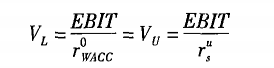
命题Ⅰ:在没有企业所得税的情况下,有负债企业的价值与无负债企业的价值相等,即无论企业是否有负债,企业的资本结构与企业价值无关。其表达式如下:

其中,VL表示有负债企业的价值,VU表示无负债企业的价值,EBIT表示企业全部资产的预期收益(永续);r0 WACC表示有负债企业的加权资本成本;ru S表示既定风险等级的无负债企业的权益资本成本。
命题Ⅰ的表达式说明了无论企业是否有负债,加权平均资本成本将保持不变,企业价值仅由预期收益厅决定,即全部预期收益(永续)按照与企业风险等级相同的必要报酬率所计算的现值;如果有负债企业的价值等于无负债企业的价值,就说明了有负债企业的加权平均资本成本,无论债务多少,都与风险等级相同的无负债企业的权益资本成本相等;企业加权资本成本与其资本结构无关,仅取决于企业的经营风险。
命题Ⅱ:有负债企业的权益资本成本随着财务杠杆的提高而增加。有负债企业权益资本成本等于无负债企业的权益资本成本加上风险溢价,而风险溢价与以市值计算的财务杠杆(债务/股东权益)成正比。其表达式如下:

其中,rL S表示有负债企业的权益资本成本,ru S表示无负债企业的权益资本成本,D表示有负债企业的债务市场价值,E表示其权益的市场价值,rd表示税前债务资本成本。风险报酬是对有负债企业财务风险的补偿,其大小由无负债企业的股权资本成本与债务资本成本之差以及债务权益价值比决定。
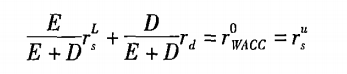
在不考虑所得税的情形下,命题Ⅰ的一个推论是有负债企业的加权平均资本成本与无负债企业的资本成本相同,即:

企业加权平均资本成本的表达式为:

上式变形后可以得出:

亦即MM命题Ⅱ。命题Ⅱ的表达式说明:有负债企业的股权成本随着负债程度增大而增加。
有税MM理论与无税MM理论的关系
区别:
1、有税MM理论认为负债比重越大,企业价值越大;无税MM理论认为不影响。
2、有税MM理论认为负债比重越大,加权平均资本成本越低;无税MM理论认为不影响、
联系:
1、有税MM理论和无税MM理论均认为负债比重越大,权益资本成本越高。二者的差异是由(1-T)引起的。有负债企业在有税时的权益资本成本比无税时的要小。
2、有税MM理论和无税MM理论均认为资本结构对负债资本成本不影响。二者的差异是由(1-T)引起的,有税时的负债资本成本比无税时的要小。
