财务杠杆系数
由 Network 分享
时间:
财务杠杆系数
财务管理术语财务杠杆系数(Degree Of Financial Leverage,简称DFL)是衡量这种财务杠杆效应的指标,是普通股收益变动率与息税前利润变动率的比值。
财务杠杆DFL概述
财务杠杆DFL,是由债务利息等固定性融资成本所引起的
财务杠杆效应是影响财务风险的一种测度,大小一般由财务杠杆系数DFL表示,其公式为:DFL=每股收益变化的百分比/息税前利润变化的百分比=EBIT/(EBIT-I)
财务杠杆系数越大,表明财务杠杆作用越大,财务风险越大;反之财务杠杆系数越小,财务杠杆作用越小,财务风险越小
财务杠杆系数的公式
(1)定义公式

其中:EPS=[(EBIT-I)(1-T)-DP]÷N
式中,EPS为每股收益;I为债务资金利息;T为所得税税率;N为普通股股数;DP为优先股股利。
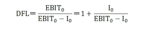
(2)计算公式
没有优先股的财务杠杆系数计算公式:

有优先股的财务杠杆系数计算公式:

提示:
使用计算公式计算经营杠杆系数或财务杠杆系数时,公式中使用的是基期数据(一般为上年)。
财务杠杆系数的实际应用
一、比较不同行业或公司
财务杠杆系数可以用来比较不同行业或公司使用财务杠杆的效果。
例如,资本密集型行业(如制造业、公用事业)可能自然具有更高的财务杠杆系数。
二、时间序列分析
通过观察公司财务杠杆系数随时间的变化,可以评估公司财务策略的变化趋势,以及这些变化对股东权益回报率的影响。
三、绩效评估
管理层可以使用财务杠杆系数来评估其财务策略的绩效,特别是如何平衡债务和股本以最大化股东价值。
